Suppr超能文献

查尔酮类支架,类黄酮的生物前体:化学、生物活性和药代动力学。

Chalcone Scaffolds, Bioprecursors of Flavonoids: Chemistry, Bioactivities, and Pharmacokinetics.

机构信息

Department of Pharmaceutical Chemistry, Rasiklal M. Dhariwal Institute of Pharmaceutical Education & Research, Pune 411019, India.

Department of Medical Laboratory Sciences, College of Applied Medical Sciences, Majmaah University, Al Majmaah 11952, Saudi Arabia.

出版信息

Molecules. 2021 Nov 26;26(23):7177. doi: 10.3390/molecules26237177.

Abstract

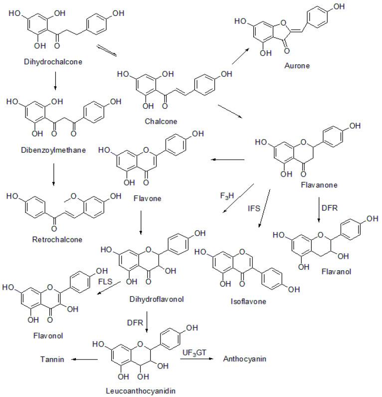
Chalcones are secondary metabolites belonging to the flavonoid (C-C-C system) family that are ubiquitous in edible and medicinal plants, and they are bioprecursors of plant flavonoids. Chalcones and their natural derivatives are important intermediates of the flavonoid biosynthetic pathway. Plants containing chalcones have been used in traditional medicines since antiquity. Chalcones are basically α,β-unsaturated ketones that exert great diversity in pharmacological activities such as antioxidant, anticancer, antimicrobial, antiviral, antitubercular, antiplasmodial, antileishmanial, immunosuppressive, anti-inflammatory, and so on. This review provides an insight into the chemistry, biosynthesis, and occurrence of chalcones from natural sources, particularly dietary and medicinal plants. Furthermore, the pharmacological, pharmacokinetics, and toxicological aspects of naturally occurring chalcone derivatives are also discussed herein. In view of having tremendous pharmacological potential, chalcone scaffolds/chalcone derivatives and bioflavonoids after subtle chemical modification could serve as a reliable platform for natural products-based drug discovery toward promising drug lead molecules/drug candidates.

摘要

查耳酮是黄酮类(C-C-C 体系)的次生代谢物,广泛存在于食用和药用植物中,是植物类黄酮的生物前体。查耳酮及其天然衍生物是类黄酮生物合成途径的重要中间体。自古以来,含有查耳酮的植物就被用于传统药物中。查耳酮本质上是α,β-不饱和酮,在药理学活性方面表现出极大的多样性,如抗氧化、抗癌、抗菌、抗病毒、抗结核、抗疟原虫、抗利什曼原虫、免疫抑制、抗炎等。本综述提供了对天然来源,特别是饮食和药用植物中查耳酮的化学、生物合成和存在的深入了解。此外,本文还讨论了天然存在的查尔酮衍生物的药理学、药代动力学和毒理学方面。鉴于具有巨大的药理学潜力,查耳酮骨架/查耳酮衍生物和经过细微化学修饰的生物类黄酮可以作为基于天然产物的药物发现的可靠平台,以获得有前途的药物先导分子/候选药物。

https://cdn.ncbi.nlm.nih.gov/pmc/blobs/a696/8659147/b93e19699e6d/molecules-26-07177-g001.jpg

文献AI研究员

20分钟写一篇综述,助力文献阅读效率提升50倍。

立即体验

用中文搜PubMed

大模型驱动的PubMed中文搜索引擎

马上搜索

文档翻译

学术文献翻译模型,支持多种主流文档格式。

立即体验