Suppr超能文献

皮肌炎患者血液中Lenabasum通路的多样化激活

Diverse Lenabasum pathway activation in dermatomyositis patients' blood.

作者信息

Kodali Nilesh, Diaz DeAnna, Dhiman Rohan, Vazquez Thomas, Feng Rui, Patel Jay, Dan Joshua, Sprow Grant, Kleitsch Julianne, Sharma Meena, Bashir Muhammad, Werth Victoria P

机构信息

Department of Dermatology, University of Pennsylvania Perelman School of Medicine, Philadelphia, PA, USA.

Corporal Michael J. Crescenz VA Medical Center, Philadelphia, PA, USA.

出版信息

Sci Rep. 2025 May 18;15(1):17232. doi: 10.1038/s41598-025-92001-z.

Abstract

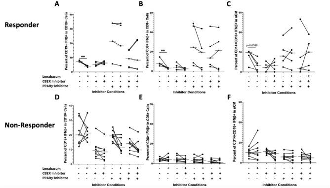
Lenabasum, a non-psychoactive cannabinoid type-2 receptor (CB2R) agonist, has shown promise in reducing cutaneous disease in Dermatomyositis (DM) patients. Lenabasum activates two distinct receptors: CB2R and the nuclear peroxisome proliferator-activated receptor-γ (PPARγ). Our goal was to investigate the dominant mechanism of action leading to pathogenic IFNβ reduction by lenabasum (through CB2R or PPARγ) across leukocytes. We utilized whole blood leukocytes from 14 DM patients and grouped patients as in vitro responders or non-responders. We stimulated leukocytes in vitro in the presence of CB2R and PPARγ inhibitors and lenabasum. Intracellular and extracellular marker expression was analyzed by flow cytometry. CD4 T (p < 0.05), monocyte-derived dendritic cells (p = 0.06), and intermediate monocytes (iMs) (p < 0.05) activate a CB2R-mediated lenabasum pathway in responders. Responder B cells (p < 0.01), CD8 T cells (p < 0.01), and non-classical monocytes (p = 0.06) activate a co-dependent CB2R/PPARγ-mediated lenabasum pathway. Lenabasum can independently activate CB2R or PPARγ in myeloid dendritic cells (p < 0.05). Responder plasmacytoid dendritic cells (p < 0.05) and classical monocytes (p < 0.01) activate a PPARγ-mediated lenabasum pathway. CB2R was increased in certain responder CB2R-mediated cell populations compared to non-responders. Lenabasum elevated cyclooxygenase-2 or 15-lipoxygenase-1 levels in all responder CB2R-mediated cell populations except iMs. Baseline cell-to-cell CB2R/PPARγ testing could be useful to select ideal lenabasum candidates.Trial Registration: Registered at ClinicalTrials.gov (Identifier: NCT03813160) on 2019-01-23. Sponsored by Corbus Pharmaceuticals Inc.

摘要

来那巴苏姆是一种非精神活性的2型大麻素受体(CB2R)激动剂,已显示出有望减轻皮肌炎(DM)患者的皮肤疾病。来那巴苏姆可激活两种不同的受体:CB2R和核过氧化物酶体增殖物激活受体γ(PPARγ)。我们的目标是研究在白细胞中导致来那巴苏姆降低致病性IFNβ的主要作用机制(通过CB2R或PPARγ)。我们使用了14名DM患者的全血白细胞,并将来那巴苏姆的体外反应者或无反应者分组。我们在存在CB2R和PPARγ抑制剂以及来那巴苏姆的情况下体外刺激白细胞。通过流式细胞术分析细胞内和细胞外标志物的表达。在反应者中,CD4 T细胞(p<0.05)、单核细胞衍生的树突状细胞(p=0.06)和中间单核细胞(iMs)(p<0.05)激活CB2R介导的来那巴苏姆途径。反应者B细胞(p<0.01)、CD8 T细胞(p<0.01)和非经典单核细胞(p=0.06)激活CB2R/PPARγ共同依赖介导的来那巴苏姆途径。来那巴苏姆可在髓样树突状细胞中独立激活CB2R或PPARγ(p<0.05)。反应者浆细胞样树突状细胞(p<0.05)和经典单核细胞(p<0.01)激活PPARγ介导的来那巴苏姆途径。与无反应者相比,某些反应者CB2R介导的细胞群体中CB2R增加。除iMs外,来那巴苏姆在所有反应者CB2R介导的细胞群体中均提高了环氧合酶-2或15-脂氧合酶-1水平。基线细胞间CB2R/PPARγ检测可能有助于选择理想的来那巴苏姆候选者。试验注册:于2019年1月23日在ClinicalTrials.gov(标识符:NCT03813160)注册。由Corbus制药公司赞助。

https://cdn.ncbi.nlm.nih.gov/pmc/blobs/d2fb/12086228/6dbe17b22a1f/41598_2025_92001_Fig1_HTML.jpg

文献AI研究员

20分钟写一篇综述,助力文献阅读效率提升50倍。

立即体验

用中文搜PubMed

大模型驱动的PubMed中文搜索引擎

马上搜索

文档翻译

学术文献翻译模型,支持多种主流文档格式。

立即体验