• 文献检索
  • 文档翻译
  • 深度研究
  • 学术资讯
  • Suppr Zotero 插件Zotero 插件
  • 邀请有礼
  • 套餐&价格
  • 历史记录
应用&插件
Suppr Zotero 插件Zotero 插件浏览器插件Mac 客户端Windows 客户端微信小程序
定价
高级版会员购买积分包购买API积分包
服务
文献检索文档翻译深度研究API 文档MCP 服务
关于我们
关于 Suppr公司介绍联系我们用户协议隐私条款
关注我们

Suppr 超能文献

核心技术专利:CN118964589B侵权必究
粤ICP备2023148730 号-1Suppr @ 2026

文献检索

告别复杂PubMed语法,用中文像聊天一样搜索,搜遍4000万医学文献。AI智能推荐,让科研检索更轻松。

立即免费搜索

文件翻译

保留排版,准确专业,支持PDF/Word/PPT等文件格式,支持 12+语言互译。

免费翻译文档

深度研究

AI帮你快速写综述,25分钟生成高质量综述,智能提取关键信息,辅助科研写作。

立即免费体验

经皮经肝胆道镜碎石术后脓毒症预测列线图

Nomogram for Predicting Sepsis After Percutaneous Transhepatic Cholangioscopic Lithotripsy.

作者信息

Cheng Lve, Ding Xiong, Liu Jie, Shi Mengjia, Huang Shijia, Niu Junwei, Li Shengwei, Cheng Yao

机构信息

Department of Hepatobiliary Surgery, The Second Affiliated Hospital of Chongqing Medical University, Chongqing, People's Republic of China.

出版信息

J Inflamm Res. 2025 May 13;18:6203-6216. doi: 10.2147/JIR.S513678. eCollection 2025.

DOI:10.2147/JIR.S513678
PMID:40386175
原文链接:https://pmc.ncbi.nlm.nih.gov/articles/PMC12085138/
Abstract

PURPOSE

Sepsis is a possible complication of percutaneous transhepatic cholangioscopic lithotripsy (PTCSL) for hepatolithiasis, but risk assessment tools are lacking. This study aimed to identify predictors of sepsis after PTCSL and develop a predictive nomogram.

PATIENTS AND METHODS

In this nested case‒control study, the data from 298 patients who underwent 528 PTCSL sessions between 1 January 2016 and 1 July 2024 were retrospectively reviewed. All sessions demonstrating sepsis complications were included in the sepsis group. For each session in the sepsis group, two treatment date-matched sessions not demonstrating sepsis were randomly selected via a nested case‒control design. All the matched sessions were divided into training and validation sets. Least absolute shrinkage and selection operator (LASSO) analysis was conducted to preliminarily select predictors of sepsis complications. Multivariable logistic regression was performed to identify factors for constructing the nomogram.

RESULTS

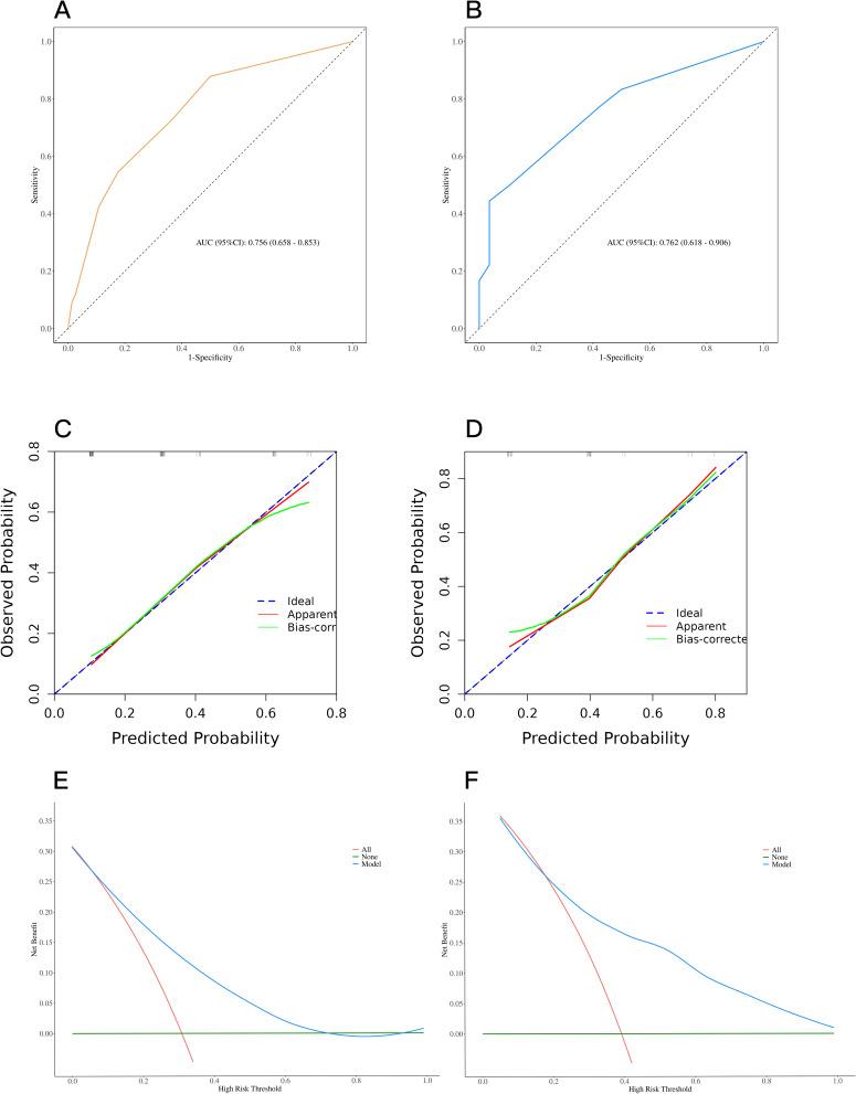
Sepsis was diagnosed in 46 patients (53 sessions), for an incidence of 10.69% (53 among 496 sessions). Three characteristic variables were included in the model: operation technique (odds ratio [OR]=0.170, 95% confidence interval [CI]: 0.048-0.599, P=0.006), cirrhosis (OR=3.769, 95% CI: 1.474-9.638, P=0.006), and postoperative prophylactic dexamethasone (OR=0.267, 95% CI: 0.101-0.703, P=0.008). The area under the curve (AUC) for the nomogram was 0.756 (95% CI, 0.658-0.853) in the training set and 0.762 (95% CI, 0.618-0.906) in the validation set, demonstrating relatively high discriminability. The calibration curves demonstrated the consistency between the predicted and actual values. Decision curve analysis indicated that the nomogram offers net clinical benefits.

CONCLUSION

The operation technique, cirrhosis, and postoperative prophylactic dexamethasone may predict the occurrence of sepsis after PTCSL. We developed a nomogram to predict sepsis complications following PTCSL and demonstrated its relatively strong performance.

摘要

目的

脓毒症是肝内胆管结石经皮经肝胆道镜碎石术(PTCSL)可能出现的并发症,但缺乏风险评估工具。本研究旨在确定PTCSL术后脓毒症的预测因素并建立预测列线图。

患者与方法

在这项巢式病例对照研究中,回顾性分析了2016年1月1日至2024年7月1日期间298例患者接受528次PTCSL治疗的数据资料。所有出现脓毒症并发症的治疗均纳入脓毒症组。对于脓毒症组中的每次治疗,通过巢式病例对照设计随机选择两个与之治疗日期匹配但未出现脓毒症的治疗。所有匹配的治疗被分为训练集和验证集。进行最小绝对收缩和选择算子(LASSO)分析以初步筛选脓毒症并发症的预测因素。采用多变量逻辑回归确定构建列线图的因素。

结果

46例患者(53次治疗)被诊断为脓毒症,发生率为10.69%(496次治疗中有53次)。模型纳入三个特征变量:手术技术(比值比[OR]=0.170,95%置信区间[CI]:0.048-0.599,P=0.006)、肝硬化(OR=3.769,95%CI:1.474-9.638,P=0.006)以及术后预防性使用地塞米松(OR=0.267,95%CI:0.101-0.703,P=0.008)。训练集中列线图的曲线下面积(AUC)为0.756(95%CI,0.658-0.853),验证集中为0.762(95%CI,0.618-0.906),显示出较高的区分能力。校准曲线表明预测值与实际值之间具有一致性。决策曲线分析表明列线图具有临床净获益。

结论

手术技术、肝硬化以及术后预防性使用地塞米松可能预测PTCSL术后脓毒症的发生。我们建立了一个预测PTCSL术后脓毒症并发症的列线图,并证明了其较强的性能。

https://cdn.ncbi.nlm.nih.gov/pmc/blobs/102c/12085138/442e4fa3fcae/JIR-18-6203-g0005.jpg
https://cdn.ncbi.nlm.nih.gov/pmc/blobs/102c/12085138/c4b92821d698/JIR-18-6203-g0001.jpg
https://cdn.ncbi.nlm.nih.gov/pmc/blobs/102c/12085138/ba86f531f726/JIR-18-6203-g0002.jpg
https://cdn.ncbi.nlm.nih.gov/pmc/blobs/102c/12085138/dc87ade9ff15/JIR-18-6203-g0003.jpg
https://cdn.ncbi.nlm.nih.gov/pmc/blobs/102c/12085138/a7b3557204af/JIR-18-6203-g0004.jpg
https://cdn.ncbi.nlm.nih.gov/pmc/blobs/102c/12085138/442e4fa3fcae/JIR-18-6203-g0005.jpg
https://cdn.ncbi.nlm.nih.gov/pmc/blobs/102c/12085138/c4b92821d698/JIR-18-6203-g0001.jpg
https://cdn.ncbi.nlm.nih.gov/pmc/blobs/102c/12085138/ba86f531f726/JIR-18-6203-g0002.jpg
https://cdn.ncbi.nlm.nih.gov/pmc/blobs/102c/12085138/dc87ade9ff15/JIR-18-6203-g0003.jpg
https://cdn.ncbi.nlm.nih.gov/pmc/blobs/102c/12085138/a7b3557204af/JIR-18-6203-g0004.jpg
https://cdn.ncbi.nlm.nih.gov/pmc/blobs/102c/12085138/442e4fa3fcae/JIR-18-6203-g0005.jpg

相似文献

1
Nomogram for Predicting Sepsis After Percutaneous Transhepatic Cholangioscopic Lithotripsy.经皮经肝胆道镜碎石术后脓毒症预测列线图
J Inflamm Res. 2025 May 13;18:6203-6216. doi: 10.2147/JIR.S513678. eCollection 2025.
2
Risk Factors for Systemic Inflammatory Response Syndrome After Percutaneous Transhepatic Cholangioscopic Lithotripsy.经皮经肝胆道镜碎石术后全身炎症反应综合征的危险因素
J Inflamm Res. 2024 Apr 25;17:2575-2587. doi: 10.2147/JIR.S453653. eCollection 2024.
3
Comparison Between Percutaneous Transhepatic Rigid Cholangioscopic Lithotripsy and Conventional Percutaneous Transhepatic Cholangioscopic Surgery for Hepatolithiasis Treatment.经皮经肝胆道硬镜碎石术与传统经皮经肝胆道镜手术治疗肝内胆管结石的比较
Surg Laparosc Endosc Percutan Tech. 2016 Feb;26(1):54-9. doi: 10.1097/SLE.0000000000000222.
4
Enhanced recovery after surgery in percutaneous transhepatic cholangioscopic lithotripsy for patients with hepatolithiasis and choledocholithiasis.肝内胆管结石和胆总管结石患者经皮经肝胆道镜碎石术后的加速康复
Surg Open Sci. 2024 May 31;20:38-44. doi: 10.1016/j.sopen.2024.05.015. eCollection 2024 Aug.
5
Factors influencing recurrence and model development for recurrence of minimally invasive percutaneous transhepatic lithotripsy: a single-center retrospective study.影响微创经皮肝穿刺碎石术后复发及复发模型建立的因素:一项单中心回顾性研究
Am J Transl Res. 2024 May 15;16(5):1740-1748. doi: 10.62347/TVRY9827. eCollection 2024.
6
Three-dimensional visualization technology for guiding one-step percutaneous transhepatic cholangioscopic lithotripsy for the treatment of complex hepatolithiasis.一步法经皮经肝胆道镜碎石取石术治疗复杂肝胆管结石的三维可视化技术。
World J Gastroenterol. 2024 Jul 28;30(28):3393-3402. doi: 10.3748/wjg.v30.i28.3393.
7
Intraoperative ultrasound-guided percutaneous hepatocholangiostomy applied in the cholangioscopic lithotripsy for hepatolithiasis and choledocholithiasis.术中超声引导下经皮肝穿刺胆管造瘘术在肝内胆管结石和胆总管结石的胆道镜碎石术中的应用。
Surg Endosc. 2023 Jan;37(1):486-493. doi: 10.1007/s00464-022-09540-z. Epub 2022 Aug 23.
8
[Development and validation of a prognostic model for patients with sepsis in intensive care unit].[重症监护病房脓毒症患者预后模型的开发与验证]
Zhonghua Wei Zhong Bing Ji Jiu Yi Xue. 2023 Aug;35(8):800-806. doi: 10.3760/cma.j.cn121430-20230103-00003.
9
[Construction and validation of a predictive model for early occurrence of lower extremity deep venous thrombosis in ICU patients with sepsis].[脓毒症重症监护病房患者下肢深静脉血栓形成早期发生预测模型的构建与验证]
Zhonghua Wei Zhong Bing Ji Jiu Yi Xue. 2024 May;36(5):471-477. doi: 10.3760/cma.j.cn121430-20231117-00985.
10
Development and validation of a nomogram for predicting the probability of new vertebral compression fractures after vertebral augmentation of osteoporotic vertebral compression fractures.开发和验证一种列线图,用于预测骨质疏松性椎体压缩骨折椎体强化后新发椎体压缩骨折的概率。
BMC Musculoskelet Disord. 2021 Nov 16;22(1):957. doi: 10.1186/s12891-021-04845-x.

本文引用的文献

1
Percutaneous transhepatic choledochoscopy in the management of hepatolithiasis: a narrative review.经皮经肝胆道镜检查在肝内胆管结石治疗中的应用:一项叙述性综述
Quant Imaging Med Surg. 2024 Jul 1;14(7):5164-5175. doi: 10.21037/qims-24-421. Epub 2024 Jun 20.
2
Enhanced recovery after surgery in percutaneous transhepatic cholangioscopic lithotripsy for patients with hepatolithiasis and choledocholithiasis.肝内胆管结石和胆总管结石患者经皮经肝胆道镜碎石术后的加速康复
Surg Open Sci. 2024 May 31;20:38-44. doi: 10.1016/j.sopen.2024.05.015. eCollection 2024 Aug.
3
Risk Factors for Systemic Inflammatory Response Syndrome After Percutaneous Transhepatic Cholangioscopic Lithotripsy.
经皮经肝胆道镜碎石术后全身炎症反应综合征的危险因素
J Inflamm Res. 2024 Apr 25;17:2575-2587. doi: 10.2147/JIR.S453653. eCollection 2024.
4
Hepatolithiasis: Epidemiology, presentation, classification and management of a complex disease.肝内胆管结石:一种复杂疾病的流行病学、临床表现、分类及管理
World J Gastroenterol. 2024 Apr 7;30(13):1836-1850. doi: 10.3748/wjg.v30.i13.1836.
5
A novel nomogram for the prediction of subsyndromal delirium in patients in intensive care units: A prospective, nested case-controlled study.一种用于预测 ICU 患者亚综合征谵妄的新型列线图:一项前瞻性、巢式病例对照研究。
Int J Nurs Stud. 2024 Jul;155:104767. doi: 10.1016/j.ijnurstu.2024.104767. Epub 2024 Apr 4.
6
Risk factors analyses associated with postoperative infection in choledochoscopy for intrahepatic bile duct stones (IHDs): a single-center retrospective study in real-world setting.肝内胆管结石(IHDs)经胆管镜检查术后感染相关危险因素分析:一项真实世界环境下的单中心回顾性研究
Surg Endosc. 2024 Apr;38(4):2050-2061. doi: 10.1007/s00464-024-10737-7. Epub 2024 Mar 1.
7
Potential versatile uses of a novel ultra-thin peroral cholangioscope.新型超薄经口胆道镜的潜在多功能用途。
J Hepatobiliary Pancreat Sci. 2024 Mar;31(3):e11-e13. doi: 10.1002/jhbp.1390. Epub 2023 Nov 1.
8
Glucocorticoids regulate lipid mediator networks by reciprocal modulation of 15-lipoxygenase isoforms affecting inflammation resolution.糖皮质激素通过调节 15-脂氧合酶同工型影响炎症消退,从而调节脂质介质网络。
Proc Natl Acad Sci U S A. 2023 Aug 29;120(35):e2302070120. doi: 10.1073/pnas.2302070120. Epub 2023 Aug 21.
9
Percutaneous transhepatic cholangioscopic lithotripsy: A useful technique in the management of difficult biliary stones.经皮经肝胆道镜碎石术:治疗复杂胆管结石的一项实用技术。
Indian J Gastroenterol. 2023 Dec;42(6):857-859. doi: 10.1007/s12664-023-01414-z.
10
Predicting Infectious Complications after Percutaneous Thermal Ablation of Liver Malignancies: A 12-year Single-Center Experience.预测肝脏恶性肿瘤经皮热消融术后感染并发症:12 年单中心经验。
Radiology. 2023 Aug;308(2):e223091. doi: 10.1148/radiol.223091.