Lee Kar Fye Alvin, Tong Horace, Jin Rachel R, Lee Tatia M C
State Key Laboratory of Brain and Cognitive Sciences, The University of Hong Kong, Hong Kong, Hong Kong.
Laboratory of Neuropsychology and Human Neuroscience, The University of Hong Kong, Hong Kong, Hong Kong.
Stress Health. 2025 Jun;41(3):e70048. doi: 10.1002/smi.70048.
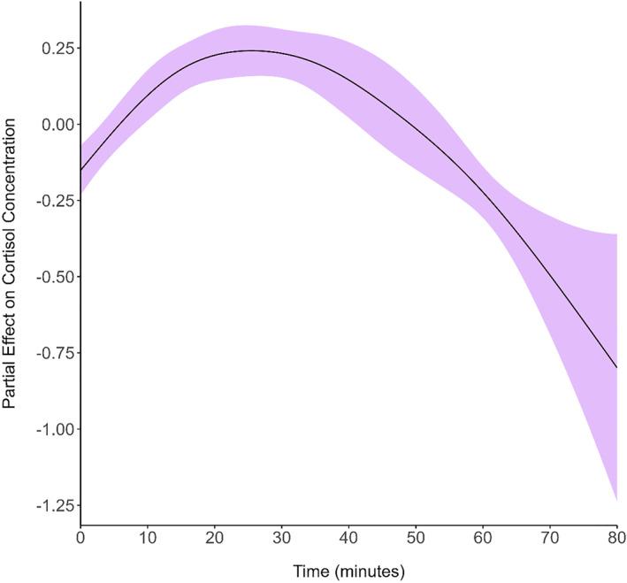
Cortisol awakening response (CAR) has been proposed as a viable biomarker for assessing the function of the hypothalamic-pituitary-adrenal axis. However, there are inconsistencies within the literature on the relationship between CAR and psychopathology. This study examined the unique effects of psychopathological symptoms on hypothalamic-pituitary-adrenal axis functioning (indexed through CAR) while considering the effects of exposure to major life stressors and self-reported perceived stress. The sample consisted of 71 participants, aged 25-37 years old. The Life Stress Index, Perceived Stress Scale, and Symptom Checklist-90 were administered. Salivary cortisol samples were collected across five time points (1 pre-bedtime and 4 upon awakening). A generalised additive model revealed a non-linear effect of time on cortisol concentration upon awakening, characterising CAR's prototypical inverted U-shaped pattern. The analysis also revealed a unique linear relationship between major life stressors and cortisol concentration. That is, greater exposure to major life stressors over the past 5 years was associated with elevated CAR. By contrast, there was also a unique linear relationship between psychopathological symptoms and cortisol concentration in the opposite direction. Contrary to expectations, our findings suggest that exposure to major life stressors, but not perceived stress, may increase cortisol awakening response, which may have implications for negative mental health outcomes (i.e., potential protective factor). These results highlight the importance of considering the complex interplay between stressors and psychopathological symptoms in understanding resilience.
皮质醇觉醒反应(CAR)已被提议作为评估下丘脑-垂体-肾上腺轴功能的一种可行生物标志物。然而,关于CAR与精神病理学之间关系的文献存在不一致之处。本研究考察了精神病理症状对下丘脑-垂体-肾上腺轴功能(通过CAR进行指标化)的独特影响,同时考虑了暴露于重大生活应激源和自我报告的感知压力的影响。样本包括71名年龄在25至37岁之间的参与者。使用了生活应激指数、感知压力量表和症状自评量表90。在五个时间点(睡前1个时间点和醒来后4个时间点)收集唾液皮质醇样本。一个广义相加模型揭示了时间对觉醒时皮质醇浓度的非线性影响,呈现出CAR典型的倒U形模式。分析还揭示了重大生活应激源与皮质醇浓度之间独特的线性关系。也就是说,过去5年中更多地暴露于重大生活应激源与CAR升高有关。相比之下,精神病理症状与皮质醇浓度之间也存在相反方向的独特线性关系。与预期相反,我们的研究结果表明,暴露于重大生活应激源而非感知压力可能会增加皮质醇觉醒反应,这可能对负面心理健康结果有影响(即潜在保护因素)。这些结果凸显了在理解复原力时考虑应激源与精神病理症状之间复杂相互作用的重要性。