Kim Adriel Y, Yehia Lamis, Eng Charis
Cleveland Clinic Lerner College of Medicine, Case Western Reserve University, Cleveland, OH, 44106, USA.
Genomic Medicine Institute, Lerner Research Institute, Cleveland Clinic, Cleveland, OH, 44195, USA.
NPJ Genom Med. 2025 May 20;10(1):43. doi: 10.1038/s41525-025-00495-3.
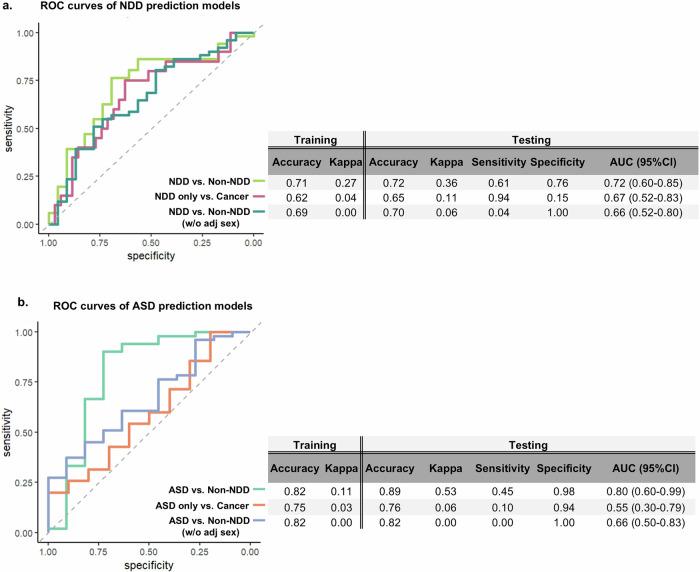
Individuals with germline PTEN variants (PHTS) have increased risks of the seemingly disparate phenotypes of cancer and neurodevelopmental disorders (NDD), including autism spectrum disorder (ASD). Etiology of the phenotypic variability remains elusive. Here, we hypothesized that decreased genomic diversity, manifested by increased homozygosity, may be one etiology. Comprehensive analyses of 376 PHTS patients of European ancestry revealed significant enrichment of homozygous common variants in genes involved in inflammatory processes in the PHTS-NDD group and in genes involved in differentiation and chromatin structure regulation in the PHTS-ASD group. Pathway analysis revealed pathways germane to NDD/ASD, including neuroinflammation and synaptogenesis. Collapsing analysis of the homozygous variants identified suggestive modifier NDD/ASD genes. In contrast, we found enrichment of homozygous ultra-rare variants in genes modulating cell death in the PHTS-cancer group. Finally, homozygosity burden as a predictor of ASD versus cancer outcomes in our validated prediction model for NDD/ASD performed favorably.
携带种系PTEN变异(PHTS)的个体患癌症和神经发育障碍(NDD)等看似不同表型的风险增加,其中包括自闭症谱系障碍(ASD)。表型变异性的病因仍然难以捉摸。在此,我们假设基因组多样性降低(表现为纯合性增加)可能是病因之一。对376名欧洲血统的PHTS患者进行的综合分析显示,PHTS-NDD组中参与炎症过程的基因以及PHTS-ASD组中参与分化和染色质结构调节的基因存在显著的纯合常见变异富集。通路分析揭示了与NDD/ASD相关的通路,包括神经炎症和突触发生。对纯合变异的合并分析确定了提示性的修饰NDD/ASD基因。相比之下,我们发现PHTS-癌症组中调节细胞死亡的基因存在纯合超罕见变异富集。最后,在我们经过验证的NDD/ASD预测模型中,纯合性负担作为ASD与癌症结局的预测指标表现良好。