• 文献检索
  • 文档翻译
  • 深度研究
  • 学术资讯
  • Suppr Zotero 插件Zotero 插件
  • 邀请有礼
  • 套餐&价格
  • 历史记录
应用&插件
Suppr Zotero 插件Zotero 插件浏览器插件Mac 客户端Windows 客户端微信小程序
定价
高级版会员购买积分包购买API积分包
服务
文献检索文档翻译深度研究API 文档MCP 服务
关于我们
关于 Suppr公司介绍联系我们用户协议隐私条款
关注我们

Suppr 超能文献

核心技术专利:CN118964589B侵权必究
粤ICP备2023148730 号-1Suppr @ 2026

文献检索

告别复杂PubMed语法,用中文像聊天一样搜索,搜遍4000万医学文献。AI智能推荐,让科研检索更轻松。

立即免费搜索

文件翻译

保留排版,准确专业,支持PDF/Word/PPT等文件格式,支持 12+语言互译。

免费翻译文档

深度研究

AI帮你快速写综述,25分钟生成高质量综述,智能提取关键信息,辅助科研写作。

立即免费体验

使用实验和理论工具研究新型基于噻唑的双子阳离子表面活性剂作为碳钢在1 M盐酸中的腐蚀抑制剂

Novel gemini cationic thiazole-based surfactants as carbon steel corrosion inhibitors in 1 M HCl using experimental and theoretical tools.

作者信息

El-Maksoud Samir A Abd, Migahed Mohamed A, Gouda Mahmoud M, El-Dossoki Farid I

机构信息

Chemistry Department, Faculty of Science, Port-Said University, Port-Said, Egypt.

Petroleum Applications Department, Egyptian Petroleum Research Institute (EPRI), Cairo, Egypt.

出版信息

Sci Rep. 2025 May 20;15(1):17512. doi: 10.1038/s41598-025-02173-x.

DOI:10.1038/s41598-025-02173-x
PMID:40394070
原文链接:https://pmc.ncbi.nlm.nih.gov/articles/PMC12092674/
Abstract

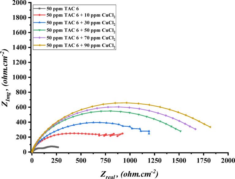
This paper examines two novel Gemini cationic surfactants based on thiazole derivatives (TAC) as anticorrosion compounds for carbon steel in 1 M HCl. This task was achieved using a diversity of tools, comprising mass loss (ML), potentiodynamic polarization (PP), electrochemical impedance spectroscopy (EIS), scanning electron (SEM) microscope, energy dispersive X-ray (EDX), Fourier transform infrared spectroscopy (FTIR), and computational density functional (DFT) theory. The shift in corrosion potential revealed the compounds' efficacy as cathodic inhibitors. The impedance measurement confirmed that a shielding film had formed on the carbon steel. The inhibitory action was found to be increased with increasing the inhibitor concentration which reached 79% for TAC 6 and 87% for TAC 18 at 50 ppm, while it slightly decreased with raising the temperature from 303 to 323 K. The mechanism of adsorption minds the Langmuir adsorption isotherm. The mixed physical and chemical adsorption of the inhibitors on the steel surface was confirmed by thermodynamics and kinetic characteristics. Electrochemical techniques examined the synergism inhibition of both inhibitors in the presence of inorganic salts at 303 K which indicated to follow CuCl > MnCl > CoCl. The synergetic inhibition of both inhibitors in the presence of CuCl reached 96% for TAC 6 and 97% for TAC 18. Both inhibitors in the presence of salts were changed to act as mixed-type inhibitors.

摘要

本文研究了两种基于噻唑衍生物(TAC)的新型 Gemini 阳离子表面活性剂,作为碳钢在 1 M HCl 中的缓蚀剂。通过多种工具完成了该任务,包括质量损失(ML)、动电位极化(PP)、电化学阻抗谱(EIS)、扫描电子显微镜(SEM)、能量色散 X 射线(EDX)、傅里叶变换红外光谱(FTIR)和计算密度泛函(DFT)理论。腐蚀电位的变化揭示了这些化合物作为阴极抑制剂的功效。阻抗测量证实碳钢表面形成了屏蔽膜。发现随着抑制剂浓度的增加,抑制作用增强,在 50 ppm 时,TAC 6 的抑制率达到 79%,TAC 18 的抑制率达到 87%,而随着温度从 303 K 升高到 323 K,抑制作用略有下降。吸附机理符合朗缪尔吸附等温线。通过热力学和动力学特性证实了抑制剂在钢表面的物理和化学混合吸附。电化学技术研究了在 303 K 下无机盐存在时两种抑制剂的协同抑制作用,结果表明其顺序为 CuCl>MnCl>CoCl。在 CuCl 存在下,TAC 6 和 TAC 18 两种抑制剂的协同抑制率分别达到 96%和 97%。在盐存在下,两种抑制剂均转变为混合型抑制剂。

https://cdn.ncbi.nlm.nih.gov/pmc/blobs/aaa4/12092674/ce44679fe35e/41598_2025_2173_Fig27_HTML.jpg
https://cdn.ncbi.nlm.nih.gov/pmc/blobs/aaa4/12092674/fcc926255ee8/41598_2025_2173_Str1_HTML.jpg
https://cdn.ncbi.nlm.nih.gov/pmc/blobs/aaa4/12092674/809d4b025f36/41598_2025_2173_Fig1_HTML.jpg
https://cdn.ncbi.nlm.nih.gov/pmc/blobs/aaa4/12092674/a152e610545d/41598_2025_2173_Fig2_HTML.jpg
https://cdn.ncbi.nlm.nih.gov/pmc/blobs/aaa4/12092674/31bc58e8ee2c/41598_2025_2173_Fig3_HTML.jpg
https://cdn.ncbi.nlm.nih.gov/pmc/blobs/aaa4/12092674/53731b614aeb/41598_2025_2173_Fig4_HTML.jpg
https://cdn.ncbi.nlm.nih.gov/pmc/blobs/aaa4/12092674/41db52542817/41598_2025_2173_Fig5_HTML.jpg
https://cdn.ncbi.nlm.nih.gov/pmc/blobs/aaa4/12092674/b6848ecdb258/41598_2025_2173_Fig6_HTML.jpg
https://cdn.ncbi.nlm.nih.gov/pmc/blobs/aaa4/12092674/fb84f905541a/41598_2025_2173_Fig7_HTML.jpg
https://cdn.ncbi.nlm.nih.gov/pmc/blobs/aaa4/12092674/054679ef3157/41598_2025_2173_Fig8_HTML.jpg
https://cdn.ncbi.nlm.nih.gov/pmc/blobs/aaa4/12092674/04f9ce53916a/41598_2025_2173_Fig9_HTML.jpg
https://cdn.ncbi.nlm.nih.gov/pmc/blobs/aaa4/12092674/d6ae16de804b/41598_2025_2173_Fig10_HTML.jpg
https://cdn.ncbi.nlm.nih.gov/pmc/blobs/aaa4/12092674/cbe2ca8c212b/41598_2025_2173_Fig11_HTML.jpg
https://cdn.ncbi.nlm.nih.gov/pmc/blobs/aaa4/12092674/18bc7649a286/41598_2025_2173_Fig12_HTML.jpg
https://cdn.ncbi.nlm.nih.gov/pmc/blobs/aaa4/12092674/8053c9da5120/41598_2025_2173_Fig13_HTML.jpg
https://cdn.ncbi.nlm.nih.gov/pmc/blobs/aaa4/12092674/bc3334a2e29b/41598_2025_2173_Fig14_HTML.jpg
https://cdn.ncbi.nlm.nih.gov/pmc/blobs/aaa4/12092674/721c861a8c1b/41598_2025_2173_Fig15_HTML.jpg
https://cdn.ncbi.nlm.nih.gov/pmc/blobs/aaa4/12092674/0fd981389855/41598_2025_2173_Fig16_HTML.jpg
https://cdn.ncbi.nlm.nih.gov/pmc/blobs/aaa4/12092674/aac864eda0f4/41598_2025_2173_Fig17_HTML.jpg
https://cdn.ncbi.nlm.nih.gov/pmc/blobs/aaa4/12092674/2cdd96c185a9/41598_2025_2173_Fig18_HTML.jpg
https://cdn.ncbi.nlm.nih.gov/pmc/blobs/aaa4/12092674/3352e3b9cc6b/41598_2025_2173_Fig19_HTML.jpg
https://cdn.ncbi.nlm.nih.gov/pmc/blobs/aaa4/12092674/6e8edf6a1238/41598_2025_2173_Fig20_HTML.jpg
https://cdn.ncbi.nlm.nih.gov/pmc/blobs/aaa4/12092674/ff757d5992a9/41598_2025_2173_Fig21_HTML.jpg
https://cdn.ncbi.nlm.nih.gov/pmc/blobs/aaa4/12092674/057bf536ae5c/41598_2025_2173_Fig22_HTML.jpg
https://cdn.ncbi.nlm.nih.gov/pmc/blobs/aaa4/12092674/92dd66945872/41598_2025_2173_Fig23_HTML.jpg
https://cdn.ncbi.nlm.nih.gov/pmc/blobs/aaa4/12092674/e5ea2c60af94/41598_2025_2173_Fig24_HTML.jpg
https://cdn.ncbi.nlm.nih.gov/pmc/blobs/aaa4/12092674/cc7ba0be5fc3/41598_2025_2173_Fig25_HTML.jpg
https://cdn.ncbi.nlm.nih.gov/pmc/blobs/aaa4/12092674/573ed83c0b2a/41598_2025_2173_Fig26_HTML.jpg
https://cdn.ncbi.nlm.nih.gov/pmc/blobs/aaa4/12092674/ce44679fe35e/41598_2025_2173_Fig27_HTML.jpg
https://cdn.ncbi.nlm.nih.gov/pmc/blobs/aaa4/12092674/fcc926255ee8/41598_2025_2173_Str1_HTML.jpg
https://cdn.ncbi.nlm.nih.gov/pmc/blobs/aaa4/12092674/809d4b025f36/41598_2025_2173_Fig1_HTML.jpg
https://cdn.ncbi.nlm.nih.gov/pmc/blobs/aaa4/12092674/a152e610545d/41598_2025_2173_Fig2_HTML.jpg
https://cdn.ncbi.nlm.nih.gov/pmc/blobs/aaa4/12092674/31bc58e8ee2c/41598_2025_2173_Fig3_HTML.jpg
https://cdn.ncbi.nlm.nih.gov/pmc/blobs/aaa4/12092674/53731b614aeb/41598_2025_2173_Fig4_HTML.jpg
https://cdn.ncbi.nlm.nih.gov/pmc/blobs/aaa4/12092674/41db52542817/41598_2025_2173_Fig5_HTML.jpg
https://cdn.ncbi.nlm.nih.gov/pmc/blobs/aaa4/12092674/b6848ecdb258/41598_2025_2173_Fig6_HTML.jpg
https://cdn.ncbi.nlm.nih.gov/pmc/blobs/aaa4/12092674/fb84f905541a/41598_2025_2173_Fig7_HTML.jpg
https://cdn.ncbi.nlm.nih.gov/pmc/blobs/aaa4/12092674/054679ef3157/41598_2025_2173_Fig8_HTML.jpg
https://cdn.ncbi.nlm.nih.gov/pmc/blobs/aaa4/12092674/04f9ce53916a/41598_2025_2173_Fig9_HTML.jpg
https://cdn.ncbi.nlm.nih.gov/pmc/blobs/aaa4/12092674/d6ae16de804b/41598_2025_2173_Fig10_HTML.jpg
https://cdn.ncbi.nlm.nih.gov/pmc/blobs/aaa4/12092674/cbe2ca8c212b/41598_2025_2173_Fig11_HTML.jpg
https://cdn.ncbi.nlm.nih.gov/pmc/blobs/aaa4/12092674/18bc7649a286/41598_2025_2173_Fig12_HTML.jpg
https://cdn.ncbi.nlm.nih.gov/pmc/blobs/aaa4/12092674/8053c9da5120/41598_2025_2173_Fig13_HTML.jpg
https://cdn.ncbi.nlm.nih.gov/pmc/blobs/aaa4/12092674/bc3334a2e29b/41598_2025_2173_Fig14_HTML.jpg
https://cdn.ncbi.nlm.nih.gov/pmc/blobs/aaa4/12092674/721c861a8c1b/41598_2025_2173_Fig15_HTML.jpg
https://cdn.ncbi.nlm.nih.gov/pmc/blobs/aaa4/12092674/0fd981389855/41598_2025_2173_Fig16_HTML.jpg
https://cdn.ncbi.nlm.nih.gov/pmc/blobs/aaa4/12092674/aac864eda0f4/41598_2025_2173_Fig17_HTML.jpg
https://cdn.ncbi.nlm.nih.gov/pmc/blobs/aaa4/12092674/2cdd96c185a9/41598_2025_2173_Fig18_HTML.jpg
https://cdn.ncbi.nlm.nih.gov/pmc/blobs/aaa4/12092674/3352e3b9cc6b/41598_2025_2173_Fig19_HTML.jpg
https://cdn.ncbi.nlm.nih.gov/pmc/blobs/aaa4/12092674/6e8edf6a1238/41598_2025_2173_Fig20_HTML.jpg
https://cdn.ncbi.nlm.nih.gov/pmc/blobs/aaa4/12092674/ff757d5992a9/41598_2025_2173_Fig21_HTML.jpg
https://cdn.ncbi.nlm.nih.gov/pmc/blobs/aaa4/12092674/057bf536ae5c/41598_2025_2173_Fig22_HTML.jpg
https://cdn.ncbi.nlm.nih.gov/pmc/blobs/aaa4/12092674/92dd66945872/41598_2025_2173_Fig23_HTML.jpg
https://cdn.ncbi.nlm.nih.gov/pmc/blobs/aaa4/12092674/e5ea2c60af94/41598_2025_2173_Fig24_HTML.jpg
https://cdn.ncbi.nlm.nih.gov/pmc/blobs/aaa4/12092674/cc7ba0be5fc3/41598_2025_2173_Fig25_HTML.jpg
https://cdn.ncbi.nlm.nih.gov/pmc/blobs/aaa4/12092674/573ed83c0b2a/41598_2025_2173_Fig26_HTML.jpg
https://cdn.ncbi.nlm.nih.gov/pmc/blobs/aaa4/12092674/ce44679fe35e/41598_2025_2173_Fig27_HTML.jpg

相似文献

1
Novel gemini cationic thiazole-based surfactants as carbon steel corrosion inhibitors in 1 M HCl using experimental and theoretical tools.使用实验和理论工具研究新型基于噻唑的双子阳离子表面活性剂作为碳钢在1 M盐酸中的腐蚀抑制剂
Sci Rep. 2025 May 20;15(1):17512. doi: 10.1038/s41598-025-02173-x.
2
Cationic Gemini Surfactants with a Bipyridyl Spacer as Corrosion Inhibitors for Carbon Steel.含联吡啶间隔基的阳离子双子表面活性剂作为碳钢缓蚀剂
ACS Omega. 2018 Dec 31;3(12):18990-18999. doi: 10.1021/acsomega.8b03043.
3
An investigation on the synthesis, characterization and anti-corrosion properties of choline based ionic liquids as novel and environmentally friendly inhibitors for mild steel corrosion in 5% HCl.胆碱基离子液体作为新型环保型缓蚀剂对低碳钢在5%盐酸中腐蚀的合成、表征及缓蚀性能研究
J Colloid Interface Sci. 2022 Aug 15;620:293-312. doi: 10.1016/j.jcis.2022.04.036. Epub 2022 Apr 10.
4
The Inhibition Action of Some Brij-Type Nonionic Surfactants on the Corrosion of OLC 45 in Various Aggressive Environments.某些Brij型非离子表面活性剂在各种侵蚀性环境中对OLC 45腐蚀的抑制作用
Materials (Basel). 2024 Mar 17;17(6):1378. doi: 10.3390/ma17061378.
5
Anticorrosion Effect of Ethoxylate Sulfanilamide Compounds on Carbon Steel in 1 M Hydrochloric Acid: Electrochemical and Theoretical Studies.乙氧基化磺胺化合物在1 M盐酸中对碳钢的防腐作用:电化学与理论研究
ACS Omega. 2021 Jun 3;6(23):15089-15102. doi: 10.1021/acsomega.1c01274. eCollection 2021 Jun 15.
6
Experimental and computational approaches of methoxy naphthylbithiophene derivatives and their use as corrosion protection for carbon steel in acidic medium.甲氧萘并噻吩衍生物的实验和计算方法及其在酸性介质中作为碳钢腐蚀防护的应用。
Sci Rep. 2023 May 29;13(1):8712. doi: 10.1038/s41598-023-35498-6.
7
Adsorption and corrosion inhibition behavior of hydroxyethyl cellulose and synergistic surfactants additives for carbon steel in 1M HCl.羟乙基纤维素和协同表面活性剂添加剂在 1M HCl 中对碳钢的吸附和缓蚀行为。
Carbohydr Polym. 2017 Jan 20;156:202-214. doi: 10.1016/j.carbpol.2016.08.066. Epub 2016 Oct 4.
8
Corrosion inhibition performance of newly synthesized 5-alkoxymethyl-8-hydroxyquinoline derivatives for carbon steel in 1 M HCl solution: experimental, DFT and Monte Carlo simulation studies.新型 5-烷氧基甲基-8-羟基喹啉衍生物在 1M HCl 溶液中对碳钢的缓蚀性能:实验、DFT 和蒙特卡罗模拟研究。
Phys Chem Chem Phys. 2018 Aug 1;20(30):20167-20187. doi: 10.1039/c8cp03226b.
9
Coupling of chemical, electrochemical and theoretical approach to study the corrosion inhibition of mild steel by new quinoxaline compounds in 1 M HCl.采用化学、电化学和理论方法相结合的方式研究新型喹喔啉化合物在1 M盐酸中对低碳钢的缓蚀作用。
Heliyon. 2020 May 11;6(5):e03939. doi: 10.1016/j.heliyon.2020.e03939. eCollection 2020 May.
10
,'-Dialkylcystine Gemini and Monomeric -Alkyl Cysteine Surfactants as Corrosion Inhibitors on Mild Steel Corrosion in 1 M HCl Solution: A Comparative Study.“-二烷基胱氨酸双子表面活性剂和单体-烷基半胱氨酸表面活性剂作为1 M盐酸溶液中低碳钢腐蚀的缓蚀剂:一项比较研究” 。 (你提供的原文中逗号前似乎缺少内容,我按照完整理解进行了翻译,你可根据实际情况调整。)
ACS Omega. 2017 Sep 11;2(9):5691-5707. doi: 10.1021/acsomega.7b00501. eCollection 2017 Sep 30.

本文引用的文献

1
Aggregation behavior of newly synthesized Gemini cationic surfactants in absence and in presence of different inorganic salts in 15% DMSO-water solvent.新型Gemini阳离子表面活性剂在15%二甲基亚砜-水溶剂中,在不存在和存在不同无机盐的情况下的聚集行为。
Sci Rep. 2024 Sep 2;14(1):20351. doi: 10.1038/s41598-024-69559-1.
2
Assessment of the Inhibitory Efficacy of a Thiazole Derivative as an Efficient Corrosion Inhibitor for Augmenting the Resistance of MS in Acidic Environments.评估噻唑衍生物作为一种有效腐蚀抑制剂增强碳钢在酸性环境中耐蚀性的抑制效果。
Langmuir. 2024 Aug 6;40(31):16367-16383. doi: 10.1021/acs.langmuir.4c01621. Epub 2024 Jul 26.
3
Thermodynamic, chemical, and electrochemical studies of Aloe ferox Mill extract as a naturally developing copper corrosion inhibitor in HCl solution.
作为盐酸溶液中天然生成的铜腐蚀抑制剂的费氏芦荟提取物的热力学、化学和电化学研究
Sci Rep. 2024 May 24;14(1):11944. doi: 10.1038/s41598-024-62169-x.
4
Ecofriendly Natural Surfactants in the Oil and Gas Industry: A Comprehensive Review.石油和天然气行业中的环保型天然表面活性剂:综述
ACS Omega. 2023 Oct 27;8(44):41004-41021. doi: 10.1021/acsomega.3c04450. eCollection 2023 Nov 7.
5
Current Downhole Corrosion Control Solutions and Trends in the Oil and Gas Industry: A Review.当前油气行业井下腐蚀控制解决方案与趋势综述
Materials (Basel). 2023 Feb 22;16(5):1795. doi: 10.3390/ma16051795.
6
Hydrophilicity and hydrophobicity consideration of organic surfactant compounds: Effect of alkyl chain length on corrosion protection.有机表面活性剂化合物的亲水性和疏水性考虑:烷基链长对腐蚀保护的影响。
Adv Colloid Interface Sci. 2022 Aug;306:102723. doi: 10.1016/j.cis.2022.102723. Epub 2022 Jun 25.
7
Impedance Analysis of Electrochemical Systems.电化学系统的阻抗分析。
Chem Rev. 2022 Jun 22;122(12):11131-11168. doi: 10.1021/acs.chemrev.1c00876. Epub 2022 Jun 10.
8
Adsorption and anticorrosive behavior of aromatic epoxy monomers on carbon steel corrosion in acidic solution: computational studies and sustained experimental studies.芳香族环氧单体在酸性溶液中对碳钢腐蚀的吸附及防腐行为:计算研究与持续实验研究
RSC Adv. 2019 May 14;9(26):14782-14796. doi: 10.1039/c9ra01672d. eCollection 2019 May 9.
9
Novel triazole derivatives as ecological corrosion inhibitors for mild steel in 1.0 M HCl: experimental & theoretical approach.新型三唑衍生物作为低碳钢在1.0 M盐酸中的生态腐蚀抑制剂:实验与理论方法
RSC Adv. 2021 Jan 21;11(7):4147-4162. doi: 10.1039/d0ra09679b. eCollection 2021 Jan 19.
10
Novel cationic aryl bithiophene/terthiophene derivatives as corrosion inhibitors by chemical, electrochemical and surface investigations.新型阳离子芳基联噻吩/三噻吩衍生物的化学、电化学和表面研究作为腐蚀抑制剂。
Sci Rep. 2022 Feb 24;12(1):3192. doi: 10.1038/s41598-022-06863-8.