Suppr超能文献

大量出汗在ST段抬高型心肌梗死中的作用:中国急性心肌梗死注册研究分析

Role of heavy sweating for ST-segment elevation myocardial infarction: analysis of the China Acute Myocardial Infarction registry.

作者信息

Wu Chao, Zhang Zilong, Su Shuhong, Xu Haiyan, Song Lei, Wu Yongjian, Qiao Shubin, Wang Yang, Li Wei, Tang Yida, Gao Xiaojin, Yang Jingang, Yang Yuejin

机构信息

Department of Cardiology and Institute of Vascular Medicine, Peking University Third Hospital, Beijing, 100191, China.

Coronary Heart Disease Center, Department of Cardiology, Fuwai Hospital, Chinese Academy of Medical Sciences and Peking Union Medical College, State Key Laboratory of Cardiovascular Disease, National Center for Cardiovascular Diseases, No.167 North Lishi Road, Xicheng District, Beijing, China.

出版信息

BMC Cardiovasc Disord. 2025 May 20;25(1):385. doi: 10.1186/s12872-025-04840-3.

Abstract

BACKGROUND

Sweating in individuals with suspected cardiac chest pain indicates a greater risk of experiencing ST-segment elevation myocardial infarction (STEMI). Nevertheless, the relationship between sweating and clinical outcomes remains inadequately explored.

METHODS

From 2013 through 2016, 19112 patients with STEMI enrolled in the China Acute Myocardial Infarction registry. Heavy sweating was evaluated on admission and usually judged by dampen clothing. Thrombolysis in Myocardial Infarction (TIMI) flow and ST-segment resolution (STR) were used to evaluated the myocardial reperfusion after primary percutaneous myocardial infarction (PCI). The primary outcome was all-cause death during hospitalization and at 24 months.

RESULTS

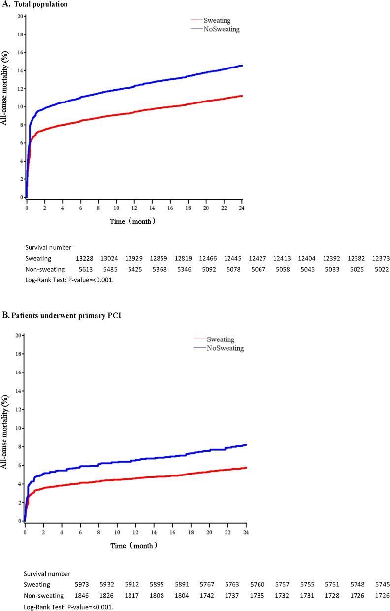
Thirteen thousand, four hundred twenty-two patients (70.2%) presented heavy sweating, that was associated with age < 65 years, severe chest pain, current smoking status, and heart rates < 100 bpm on admission. Heavy sweating group was more likely to achieve primary PCI (44.7% vs 32.9%) but shown similar rates of post-PCI TIMI 3 flow (95.5% vs 94.1%) and STR ≥ 50% (79.8% vs 78.2%). After multivariable analysis, heavy sweating was significantly linked to lower in-hospital (5.9% vs 8.6%, odds ratio [OR]: 0.81, 95% confidence interval [CI]: 0.72-0.92) and 24-month mortality (11.0% vs 17.2%, hazard ratio [HR]: 0.75, 95% CI: 0.69-0.82). Even among patients undergoing primary PCI who achieved successful myocardial reperfusion, this short- (2.5% vs 4.2%, OR: 0.60, 95% CI: 0.45-0.80) and long-term (5.9% vs 8.7%, HR: 0.68, 95% CI: 0.56-0.83) prognostic significance remained robust.

CONCLUSIONS

For STEMI, the presence of heavy sweating was associated with lower mortality regardless of successful primary PCI, which highlight the potential for early risk stratification based on the sweating presentation.

TRIAL REGISTRATION

https//www.

CLINICALTRIALS

gov. Unique identifier: NCT01874691. Registered 11/06/2013.

摘要

背景

疑似心脏性胸痛患者出汗表明发生ST段抬高型心肌梗死(STEMI)的风险更高。然而,出汗与临床结局之间的关系仍未得到充分研究。

方法

2013年至2016年,19112例STEMI患者纳入中国急性心肌梗死注册研究。入院时评估大汗情况,通常根据衣物潮湿程度判断。采用心肌梗死溶栓(TIMI)血流和ST段回落(STR)评估直接经皮冠状动脉介入治疗(PCI)后的心肌再灌注情况。主要结局为住院期间及24个月时的全因死亡。

结果

13422例患者(70.2%)出现大汗,这与年龄<65岁、严重胸痛、当前吸烟状态及入院时心率<100次/分相关。大汗组更可能接受直接PCI(44.7%对32.9%),但PCI术后TIMI 3级血流(95.5%对94.1%)和STR≥50%(79.8%对78.2%)的发生率相似。多变量分析后,大汗与较低的住院死亡率(5.9%对8.6%,比值比[OR]:0.81,95%置信区间[CI]:0.72 - 0.92)及24个月死亡率(11.0%对17.2%)相关,风险比[HR]:0.75,95% CI:0.69 - 0.82)。即使在接受直接PCI且心肌再灌注成功的患者中也是如此,这种短期(2.5%对4.2%,OR:0.60,95% CI:0.45 - 0.80)和长期(5.9%对8.7%,HR:0.68,95% CI:0.56 - 0.83)的预后意义依然显著。

结论

对于STEMI患者,无论直接PCI是否成功,大汗与较低死亡率相关,这突出了基于出汗表现进行早期风险分层的潜力。

试验注册

https//www.

临床试验

gov。唯一标识符:NCT01874691。2013年6月11日注册。

https://cdn.ncbi.nlm.nih.gov/pmc/blobs/7d09/12093881/90e0014478b7/12872_2025_4840_Fig1_HTML.jpg

文献检索

告别复杂PubMed语法,用中文像聊天一样搜索,搜遍4000万医学文献。AI智能推荐,让科研检索更轻松。

立即免费搜索

文件翻译

保留排版,准确专业,支持PDF/Word/PPT等文件格式,支持 12+语言互译。

免费翻译文档

深度研究

AI帮你快速写综述,25分钟生成高质量综述,智能提取关键信息,辅助科研写作。

立即免费体验