Suppr超能文献

尿中性粒细胞明胶酶相关脂质运载蛋白在预测心脏死亡后供肾移植肾功能方面优于锝-巯基乙酰三甘氨酸肾动态显像。

Urinary NGAL Outperforms Tc-MAG3 Renography in Predicting DCD Kidney Graft Function.

作者信息

de Rooij Esther N M, van Duijl Tirsa T, Hoogeveen Ellen K, Romijn Fred P H T M, Dekker Friedo W, van Kooten Cees, Cobbaert Christa M, de Fijter Johan W

机构信息

Department of Nephrology, Leiden University Medical Center, Leiden, Netherlands.

Department of Clinical Epidemiology, Leiden University Medical Center, Leiden, Netherlands.

出版信息

Transpl Int. 2025 May 12;38:13818. doi: 10.3389/ti.2025.13818. eCollection 2025.

Abstract

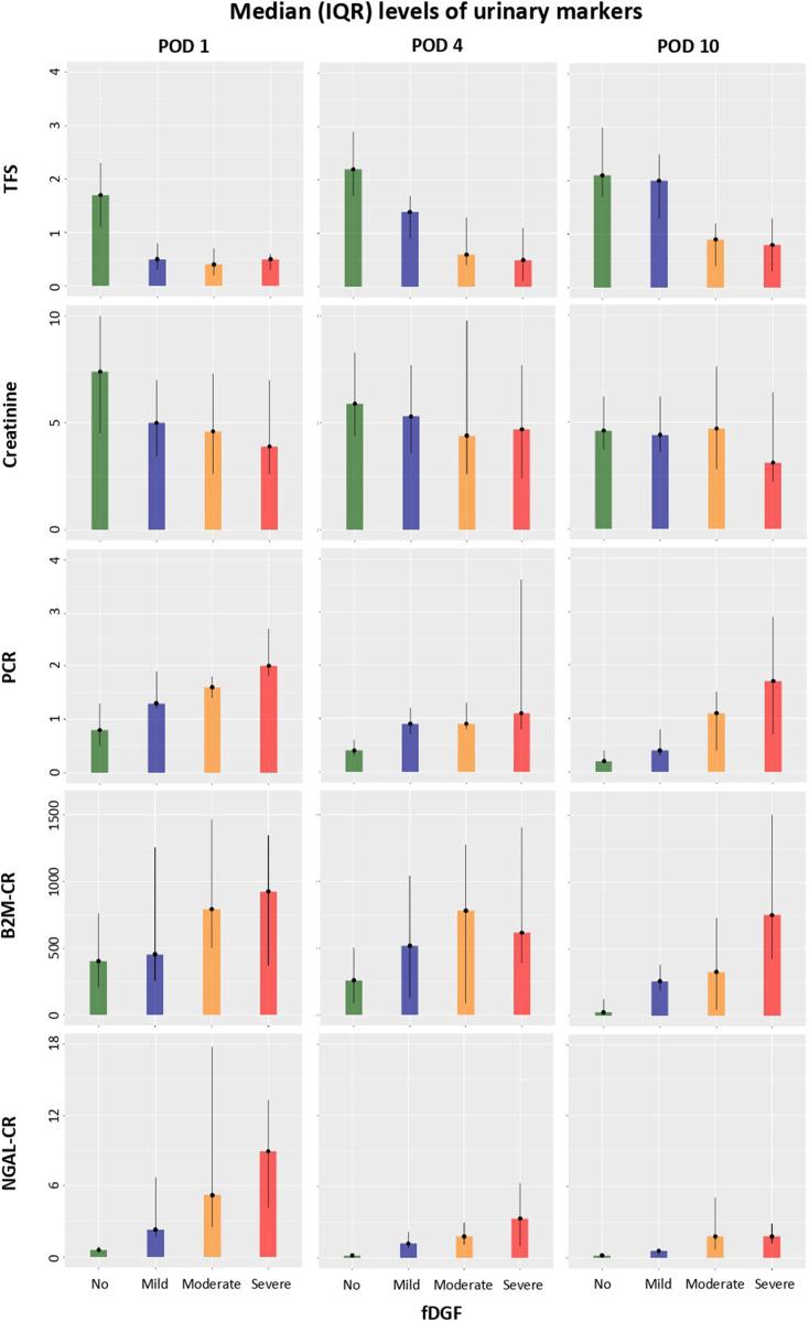
Recipients of donation after circulatory death (DCD) kidneys are at high risk for delayed graft function (DGF) due to severe ischemia-reperfusion injury. We compared urinary biomarkers in predicting the duration of DGF with the tubular function slope (TFS) as the gold standard. In 89 DCD kidney transplant recipients, urinary TIMP-2, IGFBP7, B2M, NGAL, KIM1, CXCL9, and UMOD were quantified by LC-MS/MS analysis on postoperative days (PODs) 1, 4 and 10. Interstitial fibrosis and tubular atrophy (IF/TA) were assessed with protocol biopsies at POD 10. TFS was calculated with Tc-MAG3 renography. Predictive performance was compared with AUCs from ROC analyses. Of all 89 recipients, 22% experienced no (<7), 22% mild (≥7-14), 29% moderate (≥14-<21) and 26% severe (≥21 days) fDGF. The OR for the presence of IF/TA was 1.9 (95% CI:0.4; 10.0) for mild to moderate and 15.0 (95% CI:2.7; 84.8) for severe compared to no fDGF. At POD 4, urinary NGAL and fractional NGAL excretion (FE-NGAL) outperformed TFS and other biomarkers in predicting fDGF with AUCs of 0.97, 0.98 and 0.92, respectively. At POD10, FE-NGAL and PCR best predicted severe vs mild to moderate fDGF, with AUCs of 0.74 and 0.76 versus 0.65 for TFS. Therefore, urinary NGAL and FE-NGAL may provide a viable alternative to TcMAG3 renography for monitoring fDGF clearance or guiding kidney transplant biopsy to exclude additional acute rejection.

摘要

由于严重的缺血再灌注损伤,心脏死亡后器官捐献(DCD)肾移植受者发生移植肾功能延迟恢复(DGF)的风险很高。我们将尿生物标志物预测DGF持续时间的能力与作为金标准的肾小管功能斜率(TFS)进行了比较。在89例DCD肾移植受者中,通过液相色谱-串联质谱(LC-MS/MS)分析法对术后第1、4和10天的尿基质金属蛋白酶组织抑制因子-2(TIMP-2)、胰岛素样生长因子结合蛋白7(IGFBP7)、β2微球蛋白(B2M)、中性粒细胞明胶酶相关脂质运载蛋白(NGAL)、肾损伤分子-1(KIM1)、CXC趋化因子配体9(CXCL9)和尿调节蛋白(UMOD)进行了定量分析。在术后第10天通过方案活检评估间质纤维化和肾小管萎缩(IF/TA)。用锝-巯基乙酰三甘氨酸(Tc-MAG3)肾动态显像计算TFS。通过ROC分析的曲线下面积(AUC)比较预测性能。在所有89例受者中,22%未发生(<7天)、22%轻度(≥7 - 14天)、29%中度(≥14 - <21天)和26%重度(≥21天)的功能性DGF。与无功能性DGF相比,轻度至中度IF/TA存在的比值比(OR)为1.9(95%置信区间:0.4;10.0),重度为15.0(95%置信区间:2.7;84.8)。在术后第4天,尿NGAL和尿NGAL排泄分数(FE-NGAL)在预测功能性DGF方面优于TFS和其他生物标志物,AUC分别为0.97、0.98和0.92。在术后第10天,FE-NGAL和PCR在预测重度与轻度至中度功能性DGF方面表现最佳,AUC分别为0.74和0.76,而TFS为0.65。因此,尿NGAL和FE-NGAL可能为TcMAG3肾动态显像提供一种可行的替代方法,用于监测功能性DGF清除或指导肾移植活检以排除额外的急性排斥反应。

https://cdn.ncbi.nlm.nih.gov/pmc/blobs/b44e/12104080/401d47f4dd15/ti-38-13818-g001.jpg

文献AI研究员

20分钟写一篇综述,助力文献阅读效率提升50倍。

立即体验

用中文搜PubMed

大模型驱动的PubMed中文搜索引擎

马上搜索

文档翻译

学术文献翻译模型,支持多种主流文档格式。

立即体验