Suppr超能文献

卵巢缺血再灌注损伤的新潜在药物:α-蒎烯。

New Potential Agent in Ovarian Ischemia Reperfusion Injury: Alpha Pinene.

作者信息

Gulakar Basak, Sebin Saime Ozbek, Laloglu Esra, Tanyeli Ayhan, Güler Mustafa Can, Erbas Elif, Can Serpil

机构信息

Department of Physiology, Faculty of Medicine, Kafkas University, Kars, Turkey.

Department of Physiology, Faculty of Medicine, Ataturk University, Erzurum, Turkey.

出版信息

J Biochem Mol Toxicol. 2025 Jun;39(6):e70318. doi: 10.1002/jbt.70318.

Abstract

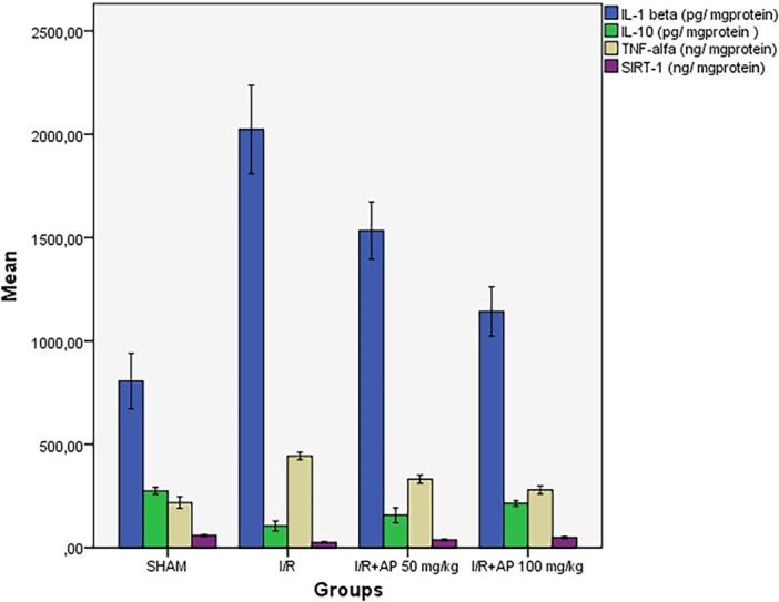
Ovarian torsion causes problems such as infertility in women due to ischemia-reperfusion (I/R) injury. α-Pinene (AP) is a monoterpene with known anti-inflammatory, antioxidant, and antiapoptotic impacts. In the present investigation, the protective impact of AP was examined in the ovarian I/R model. 28 Wistar-Albino female rats were used in the study. TNF-α, IL-1β, IL-10, MDA, IMA, SOD, and SIRT-1 levels were determined in ovarian tissue by ELISA method. Histopathological and immunohistochemical analyses were conducted to determine Bcl-2, Caspase-3, LC3B, and NFκB levels in ovarian tissues. TNF-α, IL-1β, IMA, and MDA levels were reduced in the treatment groups than the I/R group dose-dependent, while IL-10, SOD, and SIRT-1 levels increased substantially. Caspase-3 immunoreactivity declined in the treatment groups while Bcl-2 levels increased. LC3B and NFκB levels, which rise with I/R injury, were reduced considerably in the treatment groups. In addition, hemorrhage, edema, vascular congestion, and follicular degeneration due to I/R injury decreased in the treatment groups. The present investigation shows that AP has anti-inflammatory, antiapoptotic, and autophagy inhibitory effects against I/R damage in ovarian tissues and reduces oxidative stress. The results indicate that AP may be a potential protective agent in clinical use. Further research is needed before AP can be used in the clinic.

摘要

卵巢扭转会因缺血再灌注(I/R)损伤导致女性不孕等问题。α-蒎烯(AP)是一种具有抗炎、抗氧化和抗凋亡作用的单萜。在本研究中,检测了AP对卵巢I/R模型的保护作用。本研究使用了28只Wistar-Albino雌性大鼠。采用酶联免疫吸附测定法(ELISA法)测定卵巢组织中肿瘤坏死因子-α(TNF-α)、白细胞介素-1β(IL-1β)、白细胞介素-10(IL-10)、丙二醛(MDA)、缺血修饰白蛋白(IMA)、超氧化物歧化酶(SOD)和沉默信息调节因子1(SIRT-1)的水平。进行组织病理学和免疫组织化学分析以确定卵巢组织中B细胞淋巴瘤-2(Bcl-2)、半胱天冬酶-3(Caspase-3)、微管相关蛋白轻链3(LC3B)和核因子κB(NFκB)的水平。与I/R组相比,治疗组中TNF-α、IL-1β、IMA和MDA水平呈剂量依赖性降低,而IL-10、SOD和SIRT-1水平显著升高。治疗组中Caspase-3免疫反应性下降,而Bcl-2水平升高。I/R损伤时升高的LC3B和NFκB水平在治疗组中显著降低。此外,治疗组中因I/R损伤引起的出血、水肿、血管充血和卵泡变性减少。本研究表明,AP对卵巢组织I/R损伤具有抗炎、抗凋亡和自噬抑制作用,并可减轻氧化应激。结果表明,AP可能是一种具有临床应用潜力的保护剂。在AP用于临床之前,还需要进一步研究。

https://cdn.ncbi.nlm.nih.gov/pmc/blobs/24f3/12108036/f34174d6664f/JBT-39-e70318-g001.jpg

文献AI研究员

20分钟写一篇综述,助力文献阅读效率提升50倍。

立即体验

用中文搜PubMed

大模型驱动的PubMed中文搜索引擎

马上搜索

文档翻译

学术文献翻译模型,支持多种主流文档格式。

立即体验