Suppr超能文献

20年间土耳其耐黏菌素分离株的流行情况:一项系统评价与Meta分析

Prevalence of Colistin-Resistant Isolates in Turkey over a 20-Year Period: A Systematic Review and Meta-Analysis.

作者信息

Kahraman Kilbas Elmas Pinar, Kilbas Imdat, Ciftci Ihsan Hakki

机构信息

Department of Medical Laboratory Techniques, Health Services Vocational School, Fenerbahce University, 34758 Istanbul, Turkey.

Medical Microbiology Doctorate Program, Institute of Health Sciences, Istanbul University, 34093 Istanbul, Turkey.

出版信息

Microorganisms. 2025 Apr 24;13(5):974. doi: 10.3390/microorganisms13050974.

Abstract

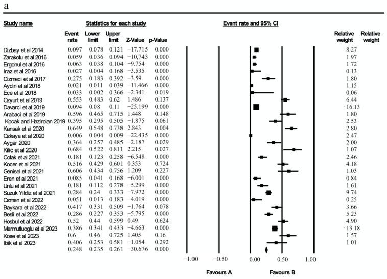
is one of the leading causes of healthcare-associated infections and poses challenges in its treatment owing to its high antibiotic resistance. The development of resistance to colistin, which is used as a last resort, has become a major public health problem worldwide. This study was planned according to the PRISMA guidelines and included studies reporting the prevalence of colistin-resistant in Turkey between 2004 and 2024 through a systematic literature review. A total of 28 original research articles were included in the meta-analysis. Data were analyzed using the SPSS and CMA software. The pooled colistin resistance of a total of 8916 strains from 28 studies included in this meta-analysis was found to be 1.63% (95% CI: 1.51-3.12). Colistin resistance increased significantly over time. A higher resistance rate was detected in the strains tested using the EUCAST guidelines and broth microdilution method. The year of the study and validation methods contributed to the heterogeneity observed in the studies. This meta-analysis reveals that colistin-resistant strains have increased over time in Turkey. Current data show that colistin resistance is not only a laboratory finding but has become a crisis, requiring urgent action in terms of hospital infection management and patient safety. Regional and global measures should be taken to ensure the appropriate use of antibiotics to control the development of resistance.

摘要

是医疗保健相关感染的主要原因之一,由于其高抗生素耐药性,在治疗方面带来了挑战。作为最后手段使用的黏菌素耐药性的发展已成为全球主要的公共卫生问题。本研究根据PRISMA指南进行规划,通过系统的文献综述纳入了报告2004年至2024年土耳其黏菌素耐药性流行情况的研究。共有28篇原创研究文章纳入荟萃分析。使用SPSS和CMA软件进行数据分析。本荟萃分析纳入的28项研究中总共8916株菌株的合并黏菌素耐药率为1.63%(95%CI:1.51 - 3.12)。黏菌素耐药性随时间显著增加。使用EUCAST指南和肉汤微量稀释法检测的菌株中耐药率更高。研究年份和验证方法导致了研究中观察到的异质性。这项荟萃分析表明,土耳其黏菌素耐药菌株随时间增加。当前数据表明,黏菌素耐药性不仅是一项实验室发现,而且已成为一场危机,在医院感染管理和患者安全方面需要紧急行动。应采取区域和全球措施,确保抗生素的合理使用以控制耐药性的发展。

https://cdn.ncbi.nlm.nih.gov/pmc/blobs/a666/12113747/b21f19f47bbd/microorganisms-13-00974-g001.jpg

文献AI研究员

20分钟写一篇综述,助力文献阅读效率提升50倍。

立即体验

用中文搜PubMed

大模型驱动的PubMed中文搜索引擎

马上搜索

文档翻译

学术文献翻译模型,支持多种主流文档格式。

立即体验