Suppr超能文献

胸壁切除与重建后的长期结局及预后因素

Long-term outcome and prognostic factors after chest wall resection and reconstruction.

作者信息

Fernandez Gonzalez Alba M, Matilla Jose R, Pipek Orsolya Anna, Sanchez Laura Gonzalez, Begic Merjem, Megyesfalvi Zsolt, Döme Balazs, Aigner Clemens

机构信息

Department of Thoracic Surgery, Medical University of Vienna, Vienna, Austria.

Department of Thoracic Surgery, University Hospital Puerta Del Mar, Cádiz, Spain.

出版信息

Interdiscip Cardiovasc Thorac Surg. 2025 Jun 4;40(6). doi: 10.1093/icvts/ivaf126.

Abstract

OBJECTIVES

Our study aimed to evaluate factors influencing perioperative and long-term outcomes of patients undergoing curative-intent chest wall resection and reconstruction.

METHODS

A retrospective single-centre analysis was conducted on all patients undergoing curative-intent chest wall resection and reconstruction from 2010 to 2023. Perioperative outcome was analysed for the entire cohort. Overall survival and disease-free survival were analysed using the Kaplan-Meier method and log-rank test and multivariable Cox proportional hazards regression models with a particular focus on patients with lung cancer and chest wall involvement.

RESULTS

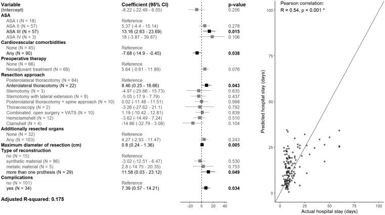
A total of 143 consecutive patients (median age 62 years, 44.1% females) were included, and 75% of patients received perioperative systemic therapy or radiation. Rib resection alone was performed in 69.9%, additional sternal resection in 16.1%, spine resection in 11.9% and clavicle resection in 2.1%. Additional resections included the lung (n = 75), diaphragm (n = 6), pericardium (n = 2), subclavian vein (n = 2), pulmonary artery (n = 1) and multiple structures (n = 22). Reconstruction was performed using synthetic protheses (n = 89), metallic (n = 6) or combinations of materials (n = 32). Median tumour diameter was 10 cm; 88% were malignant. Local recurrence rate was 9.5%. Median disease-free survival (86 events) was 36 months, and median overall survival (62 events) was 80 months. The 5-year disease-free survival and overall survival were 54.1% and 74.1%, respectively. In patients with lung cancer, overall survival was significantly affected by age (P = 0.028), histology (P < 0.001), resection size >10 cm (P = 0.018), postoperative performance status (P < 0.001) and postoperative complications (P < 0.001) in multivariable analysis and disease-free survival by postoperative performance status (P < 0.001).

CONCLUSIONS

Postoperative performance status is correlated with overall survival after chest wall resection.

摘要

目的

我们的研究旨在评估影响接受根治性胸壁切除及重建患者围手术期和长期预后的因素。

方法

对2010年至2023年期间所有接受根治性胸壁切除及重建的患者进行回顾性单中心分析。对整个队列分析围手术期结局。采用Kaplan-Meier法、对数秩检验和多变量Cox比例风险回归模型分析总生存和无病生存,特别关注合并肺癌和胸壁受累的患者。

结果

共纳入143例连续患者(中位年龄62岁,44.1%为女性),75%的患者接受了围手术期全身治疗或放疗。单纯肋骨切除占69.9%,额外胸骨切除占16.1%,脊柱切除占11.9%,锁骨切除占2.1%。额外切除包括肺(n = 75)、膈肌(n = 6)、心包(n = 2)、锁骨下静脉(n = 2)、肺动脉(n = 1)和多个结构(n = 22)。使用合成假体(n = 89)、金属材料(n = 6)或材料组合(n = 32)进行重建。肿瘤中位直径为10 cm;88%为恶性。局部复发率为9.5%。无病生存中位数(86例事件)为36个月,总生存中位数(62例事件)为80个月。5年无病生存率和总生存率分别为54.1%和74.1%。在肺癌患者中,多变量分析显示总生存受年龄(P = 0.028)、组织学(P < 0.001)、切除大小>10 cm(P = 0.018)、术后功能状态(P < 0.001)和术后并发症(P < 0.001)显著影响,无病生存受术后功能状态(P < 0.001)显著影响。

结论

术后功能状态与胸壁切除术后的总生存相关。

https://cdn.ncbi.nlm.nih.gov/pmc/blobs/dfcc/12205178/d881677a897b/ivaf126f6.jpg

文献AI研究员

20分钟写一篇综述,助力文献阅读效率提升50倍。

立即体验

用中文搜PubMed

大模型驱动的PubMed中文搜索引擎

马上搜索

文档翻译

学术文献翻译模型,支持多种主流文档格式。

立即体验