• 文献检索
  • 文档翻译
  • 深度研究
  • 学术资讯
  • Suppr Zotero 插件Zotero 插件
  • 邀请有礼
  • 套餐&价格
  • 历史记录
应用&插件
Suppr Zotero 插件Zotero 插件浏览器插件Mac 客户端Windows 客户端微信小程序
定价
高级版会员购买积分包购买API积分包
服务
文献检索文档翻译深度研究API 文档MCP 服务
关于我们
关于 Suppr公司介绍联系我们用户协议隐私条款
关注我们

Suppr 超能文献

核心技术专利:CN118964589B侵权必究
粤ICP备2023148730 号-1Suppr @ 2026

文献检索

告别复杂PubMed语法,用中文像聊天一样搜索,搜遍4000万医学文献。AI智能推荐,让科研检索更轻松。

立即免费搜索

文件翻译

保留排版,准确专业,支持PDF/Word/PPT等文件格式,支持 12+语言互译。

免费翻译文档

深度研究

AI帮你快速写综述,25分钟生成高质量综述,智能提取关键信息,辅助科研写作。

立即免费体验

化学组成对巴西无刺蜂蜂蜜抗氧化能力的影响。

Influence of Chemical Profile on the Antioxidant Capacity of Brazilian Stingless Bee Honey.

作者信息

Dias Lucas R de O, Damm Bruna M, Paqueli Bruno F, Q Araújo Bruno, C Oliveira Gislane, Silva Diolina M, de Castro Eustaquio V R, Ferreira Rafael de Q, Neto Álvaro C

机构信息

Chemistry Department, Federal University of Espírito Santo, 29075-910 Vitoria, Espírito Santo, Brazil.

Post-graduate Program of Vegetal Biology, Federal University of Espírito Santo, 29075-910 Vitoria, Espírito Santo, Brazil.

出版信息

ACS Omega. 2025 May 12;10(20):20550-20561. doi: 10.1021/acsomega.5c01134. eCollection 2025 May 27.

DOI:10.1021/acsomega.5c01134
PMID:40454044
原文链接:https://pmc.ncbi.nlm.nih.gov/articles/PMC12120604/
Abstract

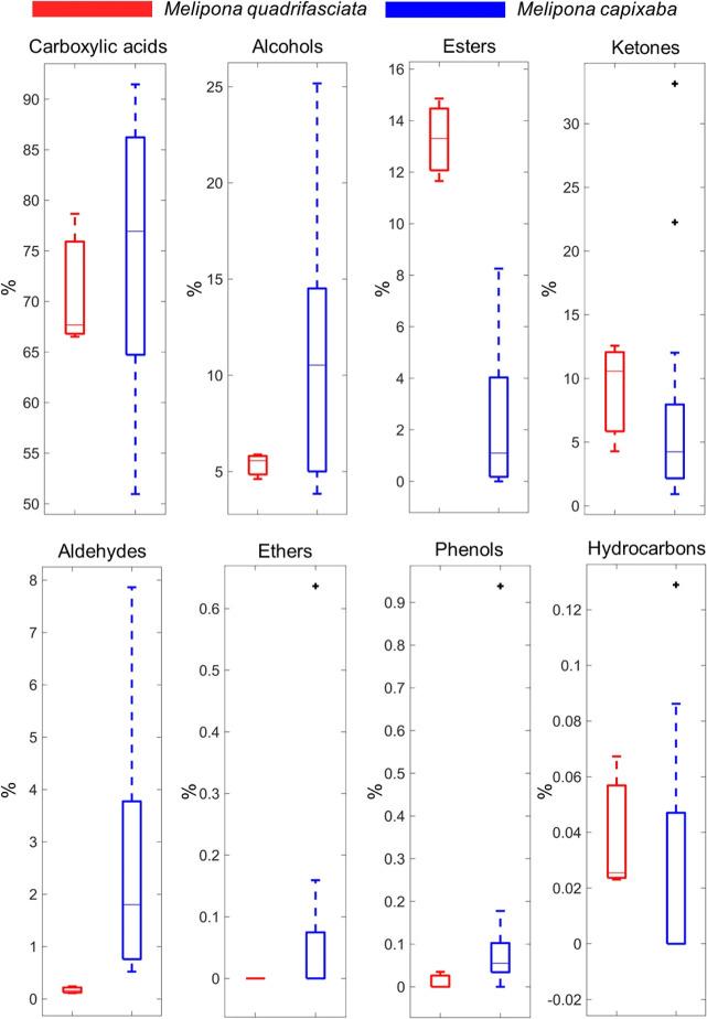
Chemical compounds found in stingless bee honey (SBH) may impact their biological properties; therefore, the establishment of quality control and standardization protocol is essential. This study investigated the chemical composition and antioxidant capacity of SBH produced by Melipona species from the Espírito Santo state (Brazil). A comprehensive characterization of SBH was conducted using Fourier transform mid-infrared (FT-MIR) and nuclear magnetic resonance (NMR) spectroscopy combined with chemometrics tools. A principal component analysis (PCA) model based on FT-MIR signals showed the separation betweenMelipona capixaba and Melipona quadrifasciata. Volatile organic compounds (VOCs) were detected by gas chromatography-mass spectrometry (GC-MS), and the more abundant classes of the classes were carboxylic acids, ketones, aldehydes, and alcohols. Moreover, the PCA model based on partial GC-MS chromatograms allows the grouping into M. capixaba and M. quadrifasciata. Simple phenols such as -cresol and allyl guaiacol were also identified in SBH. In addition, total phenolic contents (TPC) and total flavonoid contents (TFC) had selective correlations with total antioxidant capacity (TAC). A high Pearson correlation was observed between TPC and ceric reducing antioxidant capacity (CRAC), although there were low correlations among TAC values. Chemometrics combined with phenolics and antioxidant capacity are comprehensive approaches to determine the identity and quality of SBH.

摘要

在无刺蜂蜂蜜(SBH)中发现的化合物可能会影响其生物学特性;因此,建立质量控制和标准化方案至关重要。本研究调查了来自巴西圣埃斯皮里图州的Melipona属无刺蜂所产SBH的化学成分和抗氧化能力。使用傅里叶变换中红外(FT-MIR)和核磁共振(NMR)光谱结合化学计量学工具对SBH进行了全面表征。基于FT-MIR信号的主成分分析(PCA)模型显示了卡皮克无刺蜂(Melipona capixaba)和四带无刺蜂(Melipona quadrifasciata)之间的分离。通过气相色谱-质谱联用(GC-MS)检测挥发性有机化合物(VOCs),其中含量较多的类别为羧酸、酮、醛和醇。此外,基于部分GC-MS色谱图的PCA模型能够将样品分为卡皮克无刺蜂和四带无刺蜂两类。在SBH中还鉴定出了简单酚类,如对甲酚和烯丙基愈创木酚。此外,总酚含量(TPC)和总黄酮含量(TFC)与总抗氧化能力(TAC)具有选择性相关性。尽管TAC值之间的相关性较低,但TPC与铈还原抗氧化能力(CRAC)之间观察到较高的皮尔逊相关性。化学计量学与酚类物质和抗氧化能力相结合是确定SBH身份和质量的综合方法。

https://cdn.ncbi.nlm.nih.gov/pmc/blobs/c51b/12120604/dabd3584d626/ao5c01134_0007.jpg
https://cdn.ncbi.nlm.nih.gov/pmc/blobs/c51b/12120604/33725e1d260d/ao5c01134_0001.jpg
https://cdn.ncbi.nlm.nih.gov/pmc/blobs/c51b/12120604/ded69d8dece5/ao5c01134_0002.jpg
https://cdn.ncbi.nlm.nih.gov/pmc/blobs/c51b/12120604/531d37a33235/ao5c01134_0003.jpg
https://cdn.ncbi.nlm.nih.gov/pmc/blobs/c51b/12120604/e2b6005fc53c/ao5c01134_0004.jpg
https://cdn.ncbi.nlm.nih.gov/pmc/blobs/c51b/12120604/08a83b843623/ao5c01134_0005.jpg
https://cdn.ncbi.nlm.nih.gov/pmc/blobs/c51b/12120604/abd447622496/ao5c01134_0006.jpg
https://cdn.ncbi.nlm.nih.gov/pmc/blobs/c51b/12120604/dabd3584d626/ao5c01134_0007.jpg
https://cdn.ncbi.nlm.nih.gov/pmc/blobs/c51b/12120604/33725e1d260d/ao5c01134_0001.jpg
https://cdn.ncbi.nlm.nih.gov/pmc/blobs/c51b/12120604/ded69d8dece5/ao5c01134_0002.jpg
https://cdn.ncbi.nlm.nih.gov/pmc/blobs/c51b/12120604/531d37a33235/ao5c01134_0003.jpg
https://cdn.ncbi.nlm.nih.gov/pmc/blobs/c51b/12120604/e2b6005fc53c/ao5c01134_0004.jpg
https://cdn.ncbi.nlm.nih.gov/pmc/blobs/c51b/12120604/08a83b843623/ao5c01134_0005.jpg
https://cdn.ncbi.nlm.nih.gov/pmc/blobs/c51b/12120604/abd447622496/ao5c01134_0006.jpg
https://cdn.ncbi.nlm.nih.gov/pmc/blobs/c51b/12120604/dabd3584d626/ao5c01134_0007.jpg

相似文献

1
Influence of Chemical Profile on the Antioxidant Capacity of Brazilian Stingless Bee Honey.化学组成对巴西无刺蜂蜂蜜抗氧化能力的影响。
ACS Omega. 2025 May 12;10(20):20550-20561. doi: 10.1021/acsomega.5c01134. eCollection 2025 May 27.
2
Bioactive compounds and biological properties of Brazilian stingless bee honey have a strong relationship with the pollen floral origin.巴西无刺蜂蜂蜜中的生物活性化合物和生物特性与花粉的花卉来源密切相关。
Food Res Int. 2019 Sep;123:1-10. doi: 10.1016/j.foodres.2019.01.068. Epub 2019 Jan 30.
3
Comparative analysis of the physicochemical, proximate, and antioxidant characteristics of stingless bee () honey from modern and wild beehives in Ethiopia.埃塞俄比亚现代蜂巢和野生蜂巢中无刺蜂蜂蜜的物理化学、近似成分及抗氧化特性的比较分析。
Food Sci Nutr. 2023 Nov 22;12(3):1673-1685. doi: 10.1002/fsn3.3861. eCollection 2024 Mar.
4
Discriminant Analysis of Brazilian Stingless Bee Honey Reveals an Iron-Based Biogeographical Origin.巴西无刺蜂蜂蜜的判别分析揭示了其基于铁的生物地理起源。
Foods. 2023 Jan 1;12(1):180. doi: 10.3390/foods12010180.
5
Application of Heating on the Antioxidant and Antibacterial Properties of Malaysian and Australian Stingless Bee Honey.加热对马来西亚和澳大利亚无刺蜂蜂蜜抗氧化及抗菌特性的影响
Antibiotics (Basel). 2021 Nov 8;10(11):1365. doi: 10.3390/antibiotics10111365.
6
Botanical Origin Differentiation of Malaysian Stingless Bee Honey Produced by and Using Chemometrics.利用化学计量学区分 和 生产的马来西亚无刺蜜蜂蜂蜜的植物起源。
Molecules. 2021 Dec 16;26(24):7628. doi: 10.3390/molecules26247628.
7
Stingless bee honey: An overview of health benefits and main market challenges.无刺蜂蜂蜜:健康益处与主要市场挑战概述
J Food Biochem. 2022 Mar;46(3):e13883. doi: 10.1111/jfbc.13883. Epub 2021 Aug 2.
8
Brazilian stingless bee honey: Physicochemical properties and aliphatic organic acids content.巴西无刺蜂蜂蜜的理化性质及其脂类有机酸含量。
Food Res Int. 2022 Aug;158:111516. doi: 10.1016/j.foodres.2022.111516. Epub 2022 Jun 16.
9
Antioxidants Discovery for Differentiation of Monofloral Stingless Bee Honeys Using Ambient Mass Spectrometry and Metabolomics Approaches.使用常压质谱和代谢组学方法发现用于区分单花无刺蜂蜂蜜的抗氧化剂
Foods. 2023 Jun 18;12(12):2404. doi: 10.3390/foods12122404.
10
Physicochemical Properties and Antioxidant Capacity of Honey from Honey Bee ( ): Spectrophotometric and Electrochemical Assay.蜜蜂所产蜂蜜的理化性质与抗氧化能力:分光光度法与电化学测定
ACS Omega. 2025 Mar 8;10(10):10653-10661. doi: 10.1021/acsomega.4c11602. eCollection 2025 Mar 18.

本文引用的文献

1
Comprehensive evaluation of volatile compounds and sensory profiles of coffee throughout the roasting process.对咖啡在整个烘焙过程中挥发性化合物和感官特征的综合评估。
Food Chem. 2025 Jun 30;478:143586. doi: 10.1016/j.foodchem.2025.143586. Epub 2025 Feb 25.
2
Brazilian stingless bee honey: A pioneer study on the in vitro bioaccessibility of phenolic compounds.巴西无刺蜂蜂蜜:酚类化合物体外生物利用度的开创性研究。
Food Chem. 2024 Dec 1;460(Pt 2):140332. doi: 10.1016/j.foodchem.2024.140332. Epub 2024 Jul 3.
3
Brazilian stingless bee honey: Physicochemical properties and aliphatic organic acids content.
巴西无刺蜂蜂蜜的理化性质及其脂类有机酸含量。
Food Res Int. 2022 Aug;158:111516. doi: 10.1016/j.foodres.2022.111516. Epub 2022 Jun 16.
4
Antioxidant activities of some monofloral honey types produced across Minas Gerais (Brazil).巴西米纳斯吉拉斯州生产的一些单花蜂蜜品种的抗氧化活性。
PLoS One. 2022 Jan 19;17(1):e0262038. doi: 10.1371/journal.pone.0262038. eCollection 2022.
5
Phenolic Compounds in Honey and Their Relationship with Antioxidant Activity, Botanical Origin, and Color.蜂蜜中的酚类化合物及其与抗氧化活性、植物来源和颜色的关系。
Antioxidants (Basel). 2021 Oct 27;10(11):1700. doi: 10.3390/antiox10111700.
6
Unique physicochemical properties and rare reducing sugar trehalulose mandate new international regulation for stingless bee honey.独特的物理化学性质和罕见的还原糖海藻糖要求对无刺蜜蜂蜂蜜进行新的国际监管。
Food Chem. 2022 Mar 30;373(Pt B):131566. doi: 10.1016/j.foodchem.2021.131566. Epub 2021 Nov 11.
7
Physicochemical, antioxidant and FTIR-ATR spectroscopy evaluation of Kashmiri honeys as food quality traceability and Himalayan brand.克什米尔蜂蜜作为食品质量可追溯性及喜马拉雅品牌的物理化学、抗氧化和傅里叶变换红外衰减全反射光谱评估
J Food Sci Technol. 2021 Nov;58(11):4139-4148. doi: 10.1007/s13197-020-04878-5. Epub 2021 Jan 2.
8
Phenolic composition and biological activities of stingless bee honey: An overview based on its aglycone and glycoside compounds.无环多酚成分和其糖苷化合物在无刺蜂蜂蜜的生物活性:综述
Food Res Int. 2021 Sep;147:110553. doi: 10.1016/j.foodres.2021.110553. Epub 2021 Jun 24.
9
Application of ATR-FTIR spectroscopy for profiling of non-structural carbohydrates in onion (Allium cepa L.) bulbs.ATR-FTIR 光谱学在洋葱(Allium cepa L.)鳞茎中非结构性碳水化合物分析中的应用。
Food Chem. 2021 Oct 30;360:129978. doi: 10.1016/j.foodchem.2021.129978. Epub 2021 Apr 29.
10
Bioactive constituents, radical scavenging and antibacterial activities of selected honey from Kenya.肯尼亚特定蜂蜜的生物活性成分、自由基清除及抗菌活性
Int J Food Sci Technol. 2020 Mar;55(3):1246-1254. doi: 10.1111/ijfs.14403. Epub 2019 Oct 25.