• 文献检索
  • 文档翻译
  • 深度研究
  • 学术资讯
  • Suppr Zotero 插件Zotero 插件
  • 邀请有礼
  • 套餐&价格
  • 历史记录
应用&插件
Suppr Zotero 插件Zotero 插件浏览器插件Mac 客户端Windows 客户端微信小程序
定价
高级版会员购买积分包购买API积分包
服务
文献检索文档翻译深度研究API 文档MCP 服务
关于我们
关于 Suppr公司介绍联系我们用户协议隐私条款
关注我们

Suppr 超能文献

核心技术专利:CN118964589B侵权必究
粤ICP备2023148730 号-1Suppr @ 2026

文献检索

告别复杂PubMed语法,用中文像聊天一样搜索,搜遍4000万医学文献。AI智能推荐,让科研检索更轻松。

立即免费搜索

文件翻译

保留排版,准确专业,支持PDF/Word/PPT等文件格式,支持 12+语言互译。

免费翻译文档

深度研究

AI帮你快速写综述,25分钟生成高质量综述,智能提取关键信息,辅助科研写作。

立即免费体验

2019年至2021年美国初级保健机构对性传播感染的筛查情况

Primary care screening for sexually transmitted infections in the United States from 2019 to 2021.

作者信息

Hao Shiying, Velásquez Esther E, Pearson William S, Hoover Karen W, Zhu Weiming, Rochlin Ilia, Vala Ayin, Chu Isabella, Phillips Robert L, Rehkopf David H, Kamdar Neil

机构信息

Center for Population Health Sciences, School of Medicine, Stanford University, Palo Alto, California, United States of America.

Division of STD Prevention, Centers for Disease Control and Prevention, Atlanta, GeorgiaUnited States of America.

出版信息

PLoS One. 2025 Jun 2;20(6):e0325097. doi: 10.1371/journal.pone.0325097. eCollection 2025.

DOI:10.1371/journal.pone.0325097
PMID:40455810
原文链接:
https://pmc.ncbi.nlm.nih.gov/articles/PMC12129226/
Abstract

BACKGROUND

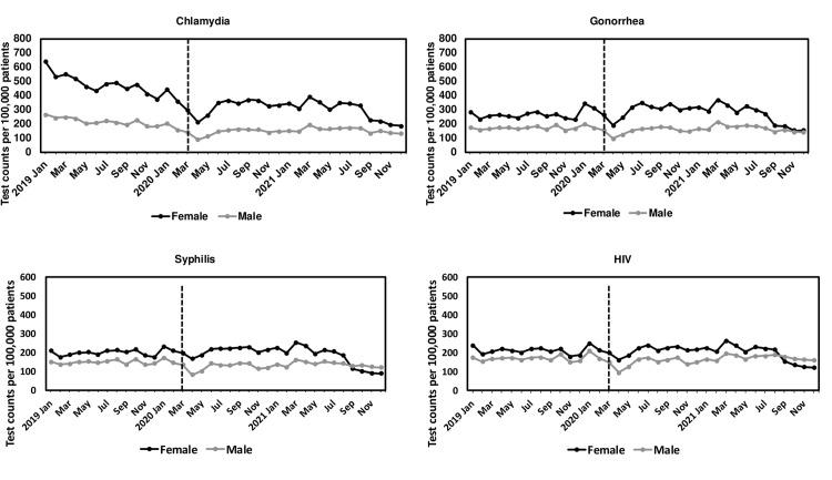
Early identification and treatment of sexually transmitted infections (STIs) is critical to improve patient outcomes. Barriers to healthcare seeking are potentially exacerbated by COVID-19. This study examined trends in STI testing and positivity from 2019 to 2021 in primary care in the United States.

METHODS

This is a retrospective study using the PRIME Registry, a national primary care EHR registry, from January 1, 2019-December 31, 2021. We calculated age-standardized monthly and annual testing rates for chlamydia, gonorrhea, syphilis, and human immunodeficiency virus stratified by gender and race/ethnicity. We also generated quarterly and annual rates for test positivity. Chi-square tests and 95% confidence intervals were used for comparison. 753 practices and 4,410,609 patients were included, with 180,558 having STI tests.

RESULTS

We observed a substantial decline in testing rates for STIs from March-April 2020 (31% for chlamydia, 30% for gonorrhea, 23% for syphilis, 24% for HIV), followed by a rapid increase in May-June 2020 (64% for chlamydia, 65% for gonorrhea, 32% for syphilis, 48% for HIV). Testing rates per 100,000 decreased from 2019 to 2021 for chlamydia (3,592 vs 2,355 vs 2,181) while increased for gonorrhea in 2020 (2,129 vs 2,207 vs 2,057). STI testing rates from 2019 to 2021 for females and non-Hispanic Black or African American patients were higher than other groups. An increase in test positivity from 2019 to 2021 was observed for gonorrhea (0.4% vs 0.4% vs 0.5%) but no significant change for chlamydia (1.5% vs 1.6% vs 1.5%).

CONCLUSION

Testing rates for STIs substantially dropped during stay-at-home orders early in the pandemic and recovered after these were relaxed. Gender and race/ethnicity STI testing differences may reflect primary care's prioritization of higher risk populations. This study emphasizes the role of primary care EHR data in monitoring and an opportunity for closer collaboration with public health agencies.

摘要

背景

性传播感染(STIs)的早期识别和治疗对于改善患者预后至关重要。新冠疫情可能加剧了寻求医疗服务的障碍。本研究调查了2019年至2021年美国初级保健中性传播感染检测及阳性率的趋势。

方法

这是一项回顾性研究,使用了PRIME注册系统,这是一个全国性的初级保健电子健康记录注册系统,时间跨度为2019年1月1日至2021年12月31日。我们计算了按性别和种族/民族分层的衣原体、淋病、梅毒和人类免疫缺陷病毒的年龄标准化月度和年度检测率。我们还生成了检测阳性率的季度和年度数据。采用卡方检验和95%置信区间进行比较。纳入了753家医疗机构和4410609名患者,其中180558人进行了性传播感染检测。

结果

我们观察到2020年3月至4月性传播感染检测率大幅下降(衣原体下降31%,淋病下降30%,梅毒下降23%,艾滋病毒下降24%),随后在2020年5月至6月迅速上升(衣原体上升64%,淋病上升65%,梅毒上升32%,艾滋病毒上升48%)。衣原体每10万人的检测率从2019年到2021年有所下降(分别为3592、2355、2181),而淋病在2020年有所上升(分别为2129、2207、2057)。2019年至2021年,女性以及非西班牙裔黑人或非裔美国患者的性传播感染检测率高于其他群体。2019年至2021年,淋病的检测阳性率有所上升(分别为0.4%、0.4%、0.5%),而衣原体则无显著变化(分别为1.5%、1.6%、1.5%)。

结论

在疫情早期居家令期间,性传播感染检测率大幅下降,在限制放宽后有所恢复。性别和种族/民族在性传播感染检测方面的差异可能反映了初级保健对高风险人群的优先关注。本研究强调了初级保健电子健康记录数据在监测中的作用,以及与公共卫生机构加强合作的机会。

https://cdn.ncbi.nlm.nih.gov/pmc/blobs/4500/12129226/ca1fbd954e72/pone.0325097.g005.jpg
https://cdn.ncbi.nlm.nih.gov/pmc/blobs/4500/12129226/90ac944056ab/pone.0325097.g001.jpg
https://cdn.ncbi.nlm.nih.gov/pmc/blobs/4500/12129226/a06a057866e2/pone.0325097.g002.jpg
https://cdn.ncbi.nlm.nih.gov/pmc/blobs/4500/12129226/4f3999927f62/pone.0325097.g003.jpg
https://cdn.ncbi.nlm.nih.gov/pmc/blobs/4500/12129226/3a01afb5fd9d/pone.0325097.g004.jpg
https://cdn.ncbi.nlm.nih.gov/pmc/blobs/4500/12129226/ca1fbd954e72/pone.0325097.g005.jpg
https://cdn.ncbi.nlm.nih.gov/pmc/blobs/4500/12129226/90ac944056ab/pone.0325097.g001.jpg
https://cdn.ncbi.nlm.nih.gov/pmc/blobs/4500/12129226/a06a057866e2/pone.0325097.g002.jpg
https://cdn.ncbi.nlm.nih.gov/pmc/blobs/4500/12129226/4f3999927f62/pone.0325097.g003.jpg
https://cdn.ncbi.nlm.nih.gov/pmc/blobs/4500/12129226/3a01afb5fd9d/pone.0325097.g004.jpg
https://cdn.ncbi.nlm.nih.gov/pmc/blobs/4500/12129226/ca1fbd954e72/pone.0325097.g005.jpg

相似文献

1
Primary care screening for sexually transmitted infections in the United States from 2019 to 2021.2019年至2021年美国初级保健机构对性传播感染的筛查情况
PLoS One. 2025 Jun 2;20(6):e0325097. doi: 10.1371/journal.pone.0325097. eCollection 2025.
2
Sexually Transmitted Infection Co-testing in a Large Urban Emergency Department.性传播感染的联合检测在一个大型城市急诊部门。
West J Emerg Med. 2024 May;25(3):382-388. doi: 10.5811/westjem.18404.
3
Sexually Transmitted Infection Prevalence in Women With HIV: Is There a Role for Targeted Screening?HIV 感染者中女性的性传播感染患病率:是否需要针对性筛查?
Sex Transm Dis. 2018 Nov;45(11):762-769. doi: 10.1097/OLQ.0000000000000852.
4
STI Testing and Rates of STI Diagnoses Before and During the COVID-19 Pandemic in a US HIV Cohort.美国一个艾滋病毒队列中 COVID-19 大流行之前和期间的性传播感染检测及性传播感染诊断率
Sex Transm Dis. 2025 May 1;52(5):304-309. doi: 10.1097/OLQ.0000000000002124. Epub 2025 Mar 24.
5
The Ongoing Impact of COVID-19 on Testing for and Diagnoses of HIV and Bacterial Sexually Transmitted Infections in Oregon.《COVID-19 对俄勒冈州 HIV 和细菌性性传播感染检测和诊断的持续影响》。
Sex Transm Dis. 2023 Aug 1;50(8):543-549. doi: 10.1097/OLQ.0000000000001817. Epub 2023 Apr 17.
6
Impact of COVID-19 on Sexually Transmitted Infection and HIV Screening at an Urban Safety-Net Hospital.新型冠状病毒肺炎对一家城市安全网医院性传播感染及艾滋病病毒筛查的影响
AIDS Patient Care STDS. 2023 Apr;37(4):199-204. doi: 10.1089/apc.2022.0220. Epub 2023 Mar 24.
7
Diagnosis and Treatment of Sexually Transmitted Infections: A Review.性传播感染的诊断与治疗:综述
JAMA. 2022 Jan 11;327(2):161-172. doi: 10.1001/jama.2021.23487.
8
Decreases in Reported Sexually Transmitted Infections During the Time of COVID-19 in King County, WA: Decreased Transmission or Screening?华盛顿州金县 COVID-19 期间报告的性传播感染减少:是传播减少还是筛查减少?
Sex Transm Dis. 2021 Aug 1;48(8S):S44-S49. doi: 10.1097/OLQ.0000000000001463.
9
Scaling Up CareKit: Lessons Learned from Expansion of a Centralized Home HIV and Sexually Transmitted Infection Testing Program.扩大 CareKit 的规模:从集中式家庭 HIV 和性传播感染检测计划扩展中吸取的经验教训。
Sex Transm Dis. 2021 Aug 1;48(8S):S66-S70. doi: 10.1097/OLQ.0000000000001473.
10
Low sexually transmitted infection (STI) screening and presumptive treatment and high STI positivity among United States females visiting the emergency department after sexual assault.遭受性侵犯后前往急诊科就诊的美国女性中,性传播感染(STI)筛查和推定治疗率低,且STI阳性率高。
Acad Emerg Med. 2025 Mar;32(3):292-299. doi: 10.1111/acem.15058. Epub 2024 Dec 3.

本文引用的文献

1
Adherence to Sexually Transmitted Infection Screening in Pregnancy.妊娠期性传播感染筛查的依从性。
J Womens Health (Larchmt). 2023 Jun;32(6):652-656. doi: 10.1089/jwh.2022.0409. Epub 2023 Apr 20.
2
Tracking COVID-19 in the United States With Surveillance of Aggregate Cases and Deaths.用综合病例和死亡监测追踪美国的 COVID-19 疫情。
Public Health Rep. 2023 May-Jun;138(3):428-437. doi: 10.1177/00333549231163531. Epub 2023 Mar 24.
3
Trends in STI testing and diagnosis rates during the COVID-19 pandemic at a large urban tertiary care center, and the role of the emergency department in STI care.
新冠疫情期间,一家大型城市三级医疗中心的性传播感染检测与诊断率趋势,以及急诊科在性传播感染护理中的作用。
Front Reprod Health. 2023 Feb 20;5:1082429. doi: 10.3389/frph.2023.1082429. eCollection 2023.
4
Choosing the Emergency Department as an Alternative for STD Care: Potential Disparities in Access.选择急诊科作为 STD 护理的替代选择:潜在的获取途径差异。
J Health Care Poor Underserved. 2022;33(3):1163-1168. doi: 10.1353/hpu.2022.0103.
5
Patterns in Receipt and Source of STI Testing Among Young People in the United States, 2013-2019.美国年轻人接受性传播感染检测的模式和来源,2013-2019 年。
J Adolesc Health. 2022 Nov;71(5):642-645. doi: 10.1016/j.jadohealth.2022.04.014. Epub 2022 Jun 9.
6
Impact of COVID-19 Lockdowns on Sexual Health Care Utilization and STD Reporting, Maricopa County.新冠疫情封锁对马里科帕县性健康护理利用和性传播疾病报告的影响
Inquiry. 2021 Jan-Dec;58:469580211055583. doi: 10.1177/00469580211055583.
7
Screening for Chlamydia and Gonorrhea: US Preventive Services Task Force Recommendation Statement.筛查衣原体和淋病:美国预防服务工作组推荐声明。
JAMA. 2021 Sep 14;326(10):949-956. doi: 10.1001/jama.2021.14081.
8
Sexually Transmitted Infections Treatment Guidelines, 2021.《2021年性传播感染治疗指南》
MMWR Recomm Rep. 2021 Jul 23;70(4):1-187. doi: 10.15585/mmwr.rr7004a1.
9
Trends in Nationally Notifiable Sexually Transmitted Disease Case Reports During the US COVID-19 Pandemic, January to December 2020.2020年1月至12月美国新冠疫情期间全国法定报告性传播疾病病例报告趋势
Sex Transm Dis. 2021 Oct 1;48(10):798-804. doi: 10.1097/OLQ.0000000000001506.
10
Impact of the COVID-19 Pandemic on Chlamydia and Gonorrhea Screening in the U.S.COVID-19 大流行对美国衣原体和淋病筛查的影响
Am J Prev Med. 2021 Sep;61(3):386-393. doi: 10.1016/j.amepre.2021.03.009. Epub 2021 May 19.