• 文献检索
  • 文档翻译
  • 深度研究
  • 学术资讯
  • Suppr Zotero 插件Zotero 插件
  • 邀请有礼
  • 套餐&价格
  • 历史记录
应用&插件
Suppr Zotero 插件Zotero 插件浏览器插件Mac 客户端Windows 客户端微信小程序
定价
高级版会员购买积分包购买API积分包
服务
文献检索文档翻译深度研究API 文档MCP 服务
关于我们
关于 Suppr公司介绍联系我们用户协议隐私条款
关注我们

Suppr 超能文献

核心技术专利:CN118964589B侵权必究
粤ICP备2023148730 号-1Suppr @ 2026

文献检索

告别复杂PubMed语法,用中文像聊天一样搜索,搜遍4000万医学文献。AI智能推荐,让科研检索更轻松。

立即免费搜索

文件翻译

保留排版,准确专业,支持PDF/Word/PPT等文件格式,支持 12+语言互译。

免费翻译文档

深度研究

AI帮你快速写综述,25分钟生成高质量综述,智能提取关键信息,辅助科研写作。

立即免费体验

PCB-YOLO:利用坐标注意力和多尺度特征融合增强印刷电路板表面缺陷检测

PCB-YOLO: Enhancing PCB surface defect detection with coordinate attention and multi-scale feature fusion.

作者信息

Wei Ze, Yang Fan, Zhong Kezhen, Yao Linkun

机构信息

School of Electronic and Information Engineering, Hebei University of Technology, Tianjin, China.

Faculty of Computing, Harbin Institute of Technology, Harbin, China.

出版信息

PLoS One. 2025 Jun 2;20(6):e0323684. doi: 10.1371/journal.pone.0323684. eCollection 2025.

DOI:10.1371/journal.pone.0323684
PMID:40455872
原文链接:https://pmc.ncbi.nlm.nih.gov/articles/PMC12129336/
Abstract

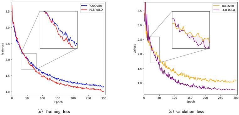
Nowadays, industrial electronic products are integrated into all aspects of life, with PCB quality playing a decisive role in their performance. Ensuring PCB factory quality is thus crucial. Common PCB defects serve as key references for evaluating quality. To address low detection accuracy and the bulky size of existing models, we propose an improved PCB-YOLO model based on YOLOv8n.To reduce model size, we introduce a novel CRSCC module combining SCConv convolution and C2f, enhancing PCB defect detection accuracy and significantly reducing model parameters. For feature fusion, we propose the FFCA attention module, designed to handle PCB surface defect characteristics by fusing multi-scale local features. This improves spatial dependency capture, detail attention, feature resolution, and detection accuracy. Additionally, the WIPIoU loss function is developed to calculate IoU using auxiliary boundaries and address low-quality data, improving small-target recognition and accelerating convergence. Experimental results demonstrate significant improvements in PCB defect detection, with mAP50 increasing by 5.7%, and reductions of 13.3% and 14.8% in model parameters and computational complexity, respectively. Compared to mainstream models, PCB-YOLO achieves the best overall performance. The model's effectiveness and generalization are further validated on the NEU-DET steel surface defect dataset, achieving excellent results. The PCB-YOLO model offers a practical, efficient solution for PCB and steel defect detection, with broad application prospects.

摘要

如今,工业电子产品已融入生活的方方面面,印刷电路板(PCB)的质量对其性能起着决定性作用。因此,确保PCB工厂的质量至关重要。常见的PCB缺陷是评估质量的关键参考。为了解决现有模型检测精度低和体积庞大的问题,我们提出了一种基于YOLOv8n的改进型PCB-YOLO模型。为了减小模型尺寸,我们引入了一种结合SCConv卷积和C2f的新型CRSCC模块,提高了PCB缺陷检测精度,并显著减少了模型参数。对于特征融合,我们提出了FFCA注意力模块,旨在通过融合多尺度局部特征来处理PCB表面缺陷特征。这提高了空间依赖性捕捉、细节注意力、特征分辨率和检测精度。此外,还开发了WIPIoU损失函数,利用辅助边界计算交并比(IoU),解决低质量数据问题,提高小目标识别能力并加速收敛。实验结果表明,PCB缺陷检测有显著改进,mAP50提高了5.7%,模型参数和计算复杂度分别降低了13.3%和14.8%。与主流模型相比,PCB-YOLO实现了最佳的整体性能。该模型在NEU-DET钢表面缺陷数据集上进一步验证了有效性和泛化能力,取得了优异结果。PCB-YOLO模型为PCB和钢缺陷检测提供了一种实用、高效的解决方案,具有广阔的应用前景。

https://cdn.ncbi.nlm.nih.gov/pmc/blobs/f27a/12129336/0b7c4b0d17cf/pone.0323684.g016.jpg
https://cdn.ncbi.nlm.nih.gov/pmc/blobs/f27a/12129336/8c66a82214f3/pone.0323684.g001.jpg
https://cdn.ncbi.nlm.nih.gov/pmc/blobs/f27a/12129336/8389297bd458/pone.0323684.g002.jpg
https://cdn.ncbi.nlm.nih.gov/pmc/blobs/f27a/12129336/9851ec2c3433/pone.0323684.g003.jpg
https://cdn.ncbi.nlm.nih.gov/pmc/blobs/f27a/12129336/dc6c03bc4a8a/pone.0323684.g004.jpg
https://cdn.ncbi.nlm.nih.gov/pmc/blobs/f27a/12129336/2aab4d63f3fc/pone.0323684.g005.jpg
https://cdn.ncbi.nlm.nih.gov/pmc/blobs/f27a/12129336/4ae2e728e6ac/pone.0323684.g006.jpg
https://cdn.ncbi.nlm.nih.gov/pmc/blobs/f27a/12129336/666d50f81ac2/pone.0323684.g007.jpg
https://cdn.ncbi.nlm.nih.gov/pmc/blobs/f27a/12129336/911564fc6c7a/pone.0323684.g008.jpg
https://cdn.ncbi.nlm.nih.gov/pmc/blobs/f27a/12129336/3463a84b6930/pone.0323684.g009.jpg
https://cdn.ncbi.nlm.nih.gov/pmc/blobs/f27a/12129336/12ab5966ed27/pone.0323684.g010.jpg
https://cdn.ncbi.nlm.nih.gov/pmc/blobs/f27a/12129336/173a38eaebb6/pone.0323684.g011.jpg
https://cdn.ncbi.nlm.nih.gov/pmc/blobs/f27a/12129336/7521d090eafd/pone.0323684.g012.jpg
https://cdn.ncbi.nlm.nih.gov/pmc/blobs/f27a/12129336/929b5a791d28/pone.0323684.g013.jpg
https://cdn.ncbi.nlm.nih.gov/pmc/blobs/f27a/12129336/2ff557955bb1/pone.0323684.g014.jpg
https://cdn.ncbi.nlm.nih.gov/pmc/blobs/f27a/12129336/bed2b1bbb6c3/pone.0323684.g015.jpg
https://cdn.ncbi.nlm.nih.gov/pmc/blobs/f27a/12129336/0b7c4b0d17cf/pone.0323684.g016.jpg
https://cdn.ncbi.nlm.nih.gov/pmc/blobs/f27a/12129336/8c66a82214f3/pone.0323684.g001.jpg
https://cdn.ncbi.nlm.nih.gov/pmc/blobs/f27a/12129336/8389297bd458/pone.0323684.g002.jpg
https://cdn.ncbi.nlm.nih.gov/pmc/blobs/f27a/12129336/9851ec2c3433/pone.0323684.g003.jpg
https://cdn.ncbi.nlm.nih.gov/pmc/blobs/f27a/12129336/dc6c03bc4a8a/pone.0323684.g004.jpg
https://cdn.ncbi.nlm.nih.gov/pmc/blobs/f27a/12129336/2aab4d63f3fc/pone.0323684.g005.jpg
https://cdn.ncbi.nlm.nih.gov/pmc/blobs/f27a/12129336/4ae2e728e6ac/pone.0323684.g006.jpg
https://cdn.ncbi.nlm.nih.gov/pmc/blobs/f27a/12129336/666d50f81ac2/pone.0323684.g007.jpg
https://cdn.ncbi.nlm.nih.gov/pmc/blobs/f27a/12129336/911564fc6c7a/pone.0323684.g008.jpg
https://cdn.ncbi.nlm.nih.gov/pmc/blobs/f27a/12129336/3463a84b6930/pone.0323684.g009.jpg
https://cdn.ncbi.nlm.nih.gov/pmc/blobs/f27a/12129336/12ab5966ed27/pone.0323684.g010.jpg
https://cdn.ncbi.nlm.nih.gov/pmc/blobs/f27a/12129336/173a38eaebb6/pone.0323684.g011.jpg
https://cdn.ncbi.nlm.nih.gov/pmc/blobs/f27a/12129336/7521d090eafd/pone.0323684.g012.jpg
https://cdn.ncbi.nlm.nih.gov/pmc/blobs/f27a/12129336/929b5a791d28/pone.0323684.g013.jpg
https://cdn.ncbi.nlm.nih.gov/pmc/blobs/f27a/12129336/2ff557955bb1/pone.0323684.g014.jpg
https://cdn.ncbi.nlm.nih.gov/pmc/blobs/f27a/12129336/bed2b1bbb6c3/pone.0323684.g015.jpg
https://cdn.ncbi.nlm.nih.gov/pmc/blobs/f27a/12129336/0b7c4b0d17cf/pone.0323684.g016.jpg

相似文献

1
PCB-YOLO: Enhancing PCB surface defect detection with coordinate attention and multi-scale feature fusion.PCB-YOLO:利用坐标注意力和多尺度特征融合增强印刷电路板表面缺陷检测
PLoS One. 2025 Jun 2;20(6):e0323684. doi: 10.1371/journal.pone.0323684. eCollection 2025.
2
ECM-YOLO: a real-time detection method of steel surface defects based on multiscale convolution.ECM-YOLO:一种基于多尺度卷积的钢表面缺陷实时检测方法
J Opt Soc Am A Opt Image Sci Vis. 2024 Oct 1;41(10):1905-1914. doi: 10.1364/JOSAA.533407.
3
Metal surface defect detection using SLF-YOLO enhanced YOLOv8 model.使用SLF-YOLO增强型YOLOv8模型进行金属表面缺陷检测。
Sci Rep. 2025 Apr 1;15(1):11105. doi: 10.1038/s41598-025-94936-9.
4
A Lightweight Strip Steel Surface Defect Detection Network Based on Improved YOLOv8.一种基于改进YOLOv8的轻质带钢表面缺陷检测网络。
Sensors (Basel). 2024 Oct 9;24(19):6495. doi: 10.3390/s24196495.
5
YOLO-SUMAS: Improved Printed Circuit Board Defect Detection and Identification Research Based on YOLOv8.YOLO-SUMAS:基于YOLOv8的改进型印刷电路板缺陷检测与识别研究
Micromachines (Basel). 2025 Apr 27;16(5):509. doi: 10.3390/mi16050509.
6
A lightweight detection algorithm of PCB surface defects based on YOLO.一种基于YOLO的印刷电路板表面缺陷轻量级检测算法。
PLoS One. 2025 Apr 18;20(4):e0320344. doi: 10.1371/journal.pone.0320344. eCollection 2025.
7
Research on a Metal Surface Defect Detection Algorithm Based on DSL-YOLO.基于DSL-YOLO的金属表面缺陷检测算法研究
Sensors (Basel). 2024 Sep 27;24(19):6268. doi: 10.3390/s24196268.
8
LMD-YOLO: A lightweight algorithm for multi-defect detection of power distribution network insulators based on an improved YOLOv8.LMD-YOLO:一种基于改进YOLOv8的配电网绝缘子多缺陷检测轻量级算法。
PLoS One. 2025 Feb 21;20(2):e0314225. doi: 10.1371/journal.pone.0314225. eCollection 2025.
9
GESC-YOLO: Improved Lightweight Printed Circuit Board Defect Detection Based Algorithm.GESC-YOLO:基于改进的轻量级印刷电路板缺陷检测算法
Sensors (Basel). 2025 May 12;25(10):3052. doi: 10.3390/s25103052.
10
Lightweight PCB defect detection method based on SCF-YOLO.基于SCF-YOLO的轻质印刷电路板缺陷检测方法
PLoS One. 2025 Apr 7;20(4):e0318033. doi: 10.1371/journal.pone.0318033. eCollection 2025.

本文引用的文献

1
PCB defect detection algorithm based on CDI-YOLO.基于CDI-YOLO的印刷电路板缺陷检测算法
Sci Rep. 2024 Mar 28;14(1):7351. doi: 10.1038/s41598-024-57491-3.
2
Recycling and sustainable applications of waste printed circuit board in concrete application and validation using response surface methodology.基于响应面法的废弃印刷电路板在混凝土中的回收利用及可持续应用研究与验证
Sci Rep. 2023 Oct 2;13(1):16509. doi: 10.1038/s41598-023-43919-9.
3
Lightweight Network DCR-YOLO for Surface Defect Detection on Printed Circuit Boards.用于印刷电路板表面缺陷检测的轻量级网络DCR-YOLO
Sensors (Basel). 2023 Aug 22;23(17):7310. doi: 10.3390/s23177310.
4
Faster R-CNN: Towards Real-Time Object Detection with Region Proposal Networks.更快的 R-CNN:基于区域建议网络的实时目标检测。
IEEE Trans Pattern Anal Mach Intell. 2017 Jun;39(6):1137-1149. doi: 10.1109/TPAMI.2016.2577031. Epub 2016 Jun 6.