Suppr超能文献

用于城市交通时间序列预测的具有数据重新上传功能的量子神经网络。

Quantum neural networks with data re-uploading for urban traffic time series forecasting.

作者信息

Schetakis Nikolaos, Bonfini Paolo, Alisoltani Negin, Blazakis Konstantinos, Tsintzos Symeon I, Askitopoulos Alexis, Aghamalyan Davit, Fafoutellis Panagiotis, Vlahogianni Eleni I

机构信息

Computational Mechanics and Optimization Laboratory, School of Production Engineering and Management, Technical University of Crete, Chania, 73100, Greece.

Quantum Innovation Pc, Chania, 73100, Greece.

出版信息

Sci Rep. 2025 Jun 3;15(1):19400. doi: 10.1038/s41598-025-04546-8.

Abstract

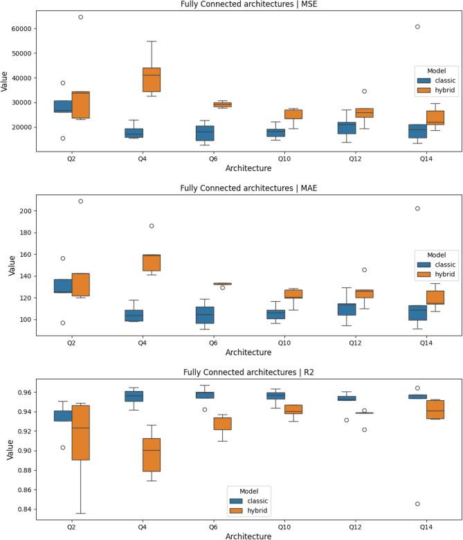
Accurate traffic forecasting plays a crucial role in modern Intelligent Transportation Systems (ITS), as it enables real-time traffic flow management, reduces congestion, and improves the overall efficiency of urban transportation networks. With the rise of Quantum Machine Learning (QML), it has emerged a new paradigm possessing the potential to enhance predictive capabilities beyond what classical machine learning models can achieve. In the present work we pursue a heuristic approach to explore the potential of QML, and focus on a specific transport issue. In particular, as a case study we investigate a traffic forecast task for a major urban area in Athens (Greece), for which we possess high-resolution data. In this endeavor we explore the application of Quantum Neural Networks (QNN), and, notably, we present the first application of quantum data re-uploading in the context of transport forecasting. This technique allows quantum models to better capture complex patterns, such as traffic dynamics, by repeatedly encoding classical data into a quantum state. Aside from providing a prediction model, we spend considerable effort in comparing the performance of our hybrid quantum-classical neural networks with classical deep learning approaches. We observe that, in fully connected network settings, hybrid quantum-classical models consistently underperform, with median scores approximately 10% worse than their purely classical counterparts across different configurations. In contrast, recursive architectures with data re-uploading show the opposite trend: hybrid models achieved up to 5% better median scores under comparable complexity settings. Additionally, these hybrid models converged in fewer training epochs, indicating improved training efficiency. Our results show that hybrid models achieve competitive accuracy with state-of-the-art classical methods, especially when the number of qubits and re-uploading blocks is increased. While the classical models demonstrate lower computational demands, we provide evidence that increasing the complexity of the quantum model improves predictive accuracy. These findings indicate that QML techniques, and specifically the data re-uploading approach, hold promise for advancing traffic forecasting models and could be instrumental in addressing challenges inherent in ITS environments.

摘要

准确的交通流量预测在现代智能交通系统(ITS)中起着至关重要的作用,因为它能够实现实时交通流管理、减少拥堵并提高城市交通网络的整体效率。随着量子机器学习(QML)的兴起,出现了一种新的范式,它有可能增强预测能力,超越经典机器学习模型所能达到的水平。在当前的工作中,我们采用一种启发式方法来探索QML的潜力,并专注于一个特定的交通问题。具体而言,作为一个案例研究,我们调查了希腊雅典一个主要城区的交通流量预测任务,我们拥有该城区的高分辨率数据。在这项工作中,我们探索了量子神经网络(QNN)的应用,值得注意的是,我们展示了量子数据重新上传在交通流量预测背景下的首次应用。这种技术允许量子模型通过将经典数据反复编码到量子态中来更好地捕捉复杂模式,如交通动态。除了提供一个预测模型外,我们还花费了大量精力将我们的混合量子 - 经典神经网络的性能与经典深度学习方法进行比较。我们观察到,在全连接网络设置中,混合量子 - 经典模型始终表现不佳,在不同配置下,中位数得分比其纯经典对应模型大约低10%。相比之下,具有数据重新上传功能的递归架构则呈现相反的趋势:在可比的复杂度设置下,混合模型的中位数得分提高了5%。此外,这些混合模型在更少的训练轮次中收敛,表明训练效率有所提高。我们的结果表明,混合模型与最先进的经典方法相比具有有竞争力的准确性,特别是当量子比特数和重新上传块增加时。虽然经典模型的计算需求较低,但我们提供的证据表明,增加量子模型的复杂度可以提高预测准确性。这些发现表明,QML技术,特别是数据重新上传方法,有望推动交通流量预测模型的发展,并有助于应对ITS环境中固有的挑战。

https://cdn.ncbi.nlm.nih.gov/pmc/blobs/c345/12134166/251d5b067fa1/41598_2025_4546_Fig1_HTML.jpg

文献AI研究员

20分钟写一篇综述,助力文献阅读效率提升50倍。

立即体验

用中文搜PubMed

大模型驱动的PubMed中文搜索引擎

马上搜索

文档翻译

学术文献翻译模型,支持多种主流文档格式。

立即体验