Suppr超能文献

角位移光纤传感器的详尽分析与简易模型

Exhaustive analysis and simple model of an angular displacement optical fiber sensor.

作者信息

Zubia Gorka, Zubia Joseba, Amorebieta Josu, Aldabaldetreku Gotzon, Durana Gaizka

机构信息

Department of Graphical Expression and Project Engineering, University of the Basque Country UPV/EHU, Bilbao, 48013, Spain.

Department of Communications Engineering, University of the Basque Country UPV/EHU, Bilbao, 48013, Spain.

出版信息

Sci Rep. 2025 Jun 3;15(1):19410. doi: 10.1038/s41598-025-05063-4.

Abstract

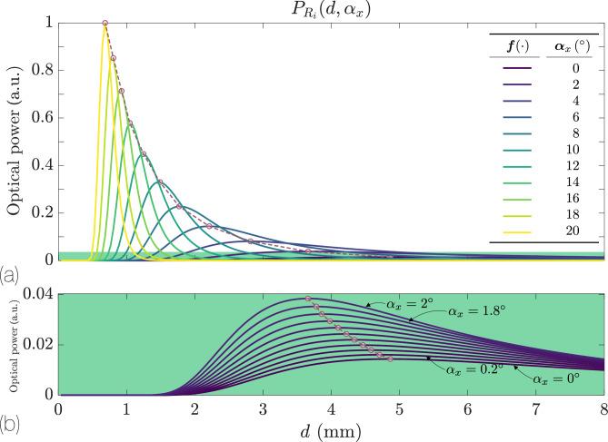
Accurate tilt-angle measurement is vital in applications ranging from aerospace to civil infrastructure monitoring, especially under harsh conditions where conventional inclinometers may fail. Here, we present a comprehensive analytical model for multi-axis tilt sensing based on intensity-modulated optical fiber sensors (OFDSs). By capturing how a Gaussian beam, reflected from a tilted target, couples into arrays of receiving fibers, our model bridges geometric fiber parameters, numerical aperture, and target distance to predict the measured power for various tilt angles and axes. We validate its performance experimentally using multiple fiber-bundle configurations: bifurcated, trifurcated, differential, symmetrical, and quasi-random 19-fiber arrangements, demonstrating accurate operation up to [Formula: see text] tilt over distances of up to 15 mm. In each case, the theoretical predictions match well with measured data, showing that differential or concentric fiber layouts suppress noise and eliminate ambiguities in tilt-direction detection. A [Formula: see text] parametric sweep shows that NA drift contributes [Formula: see text] signal change, while core- and spacing-tolerances each add [Formula: see text], confirming that the sensor retains its specified accuracy when fabricated with standard-spec fibers. Compared to existing fiber-optic and mechanical inclinometers, our approach is simpler to fabricate, can be tailored to specific operational ranges, and remains reasonably resilient under the tested [Formula: see text] variations. Moreover, we show how multi-fiber geometries enable axis-wise tilt discrimination and improved sensitivity through differential measurements. These findings highlight the potential for cost-effective, real-time, multi-axis tilt sensors that can address Industry 5.0 and advanced physics lab instrumentation needs. Future work will extend the sensor to larger angular spans and complex reflective surfaces, aiming to further broaden its applicability and reach.

摘要

精确的倾斜角度测量在从航空航天到民用基础设施监测等各种应用中至关重要,尤其是在传统倾角仪可能失效的恶劣条件下。在此,我们提出了一种基于强度调制光纤传感器(OFDS)的多轴倾斜传感综合分析模型。通过捕捉从倾斜目标反射的高斯光束如何耦合到接收光纤阵列中,我们的模型建立了几何光纤参数、数值孔径和目标距离之间的联系,以预测不同倾斜角度和轴向上的测量功率。我们使用多种光纤束配置进行了实验验证其性能:分叉、三叉、差分、对称和准随机19光纤排列,证明在高达[公式:见正文]的倾斜度和长达15毫米的距离上能精确运行。在每种情况下,理论预测与测量数据匹配良好,表明差分或同心光纤布局可抑制噪声并消除倾斜方向检测中的模糊性。[公式:见正文]参数扫描表明,数值孔径漂移导致[公式:见正文]的信号变化,而纤芯和间距公差各自增加[公式:见正文],证实了使用标准规格光纤制造时传感器仍能保持其指定精度。与现有的光纤和机械倾角仪相比,我们的方法制造更简单,可以根据特定的工作范围进行定制,并且在测试的[公式:见正文]变化下仍具有相当的弹性。此外,我们展示了多光纤几何结构如何通过差分测量实现轴向倾斜辨别并提高灵敏度。这些发现突出了具有成本效益、实时、多轴倾斜传感器满足工业5.0和先进物理实验室仪器需求的潜力。未来的工作将把传感器扩展到更大的角度范围和复杂的反射表面,旨在进一步拓宽其适用性和覆盖范围。

https://cdn.ncbi.nlm.nih.gov/pmc/blobs/d51b/12134115/d9de88e1e6f5/41598_2025_5063_Fig1_HTML.jpg

文献AI研究员

20分钟写一篇综述,助力文献阅读效率提升50倍。

立即体验

用中文搜PubMed

大模型驱动的PubMed中文搜索引擎

马上搜索

文档翻译

学术文献翻译模型,支持多种主流文档格式。

立即体验