Suppr超能文献

利用基因组和时间序列数据估计疫情动态。

Estimating epidemic dynamics with genomic and time series data.

作者信息

Zarebski Alexander E, Zwaans Antoine, Gutierrez Bernardo, du Plessis Louis, Pybus Oliver G

机构信息

Department of Biology, University of Oxford, Oxford, Oxfordshire, UK.

School of Mathematics & Statistics, University of Melbourne, Melbourne, Victoria, Australia.

出版信息

J R Soc Interface. 2025 Jun;22(227):20240632. doi: 10.1098/rsif.2024.0632. Epub 2025 Jun 4.

Abstract

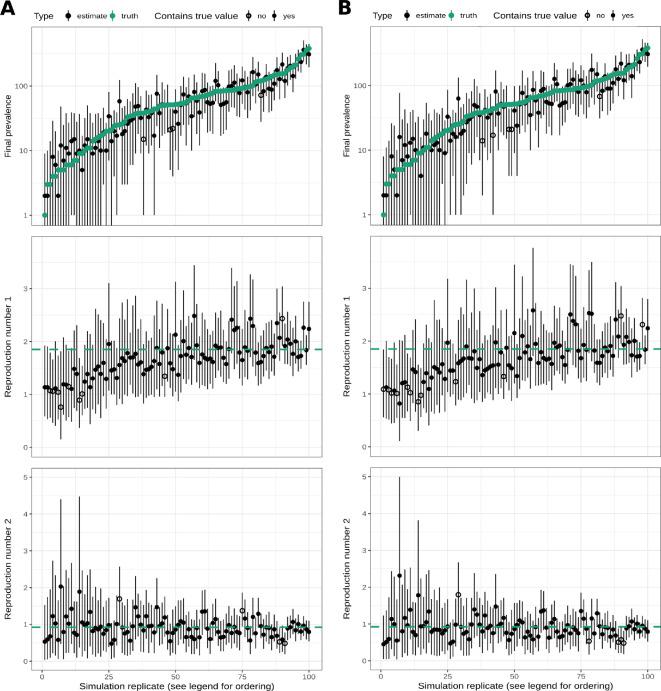
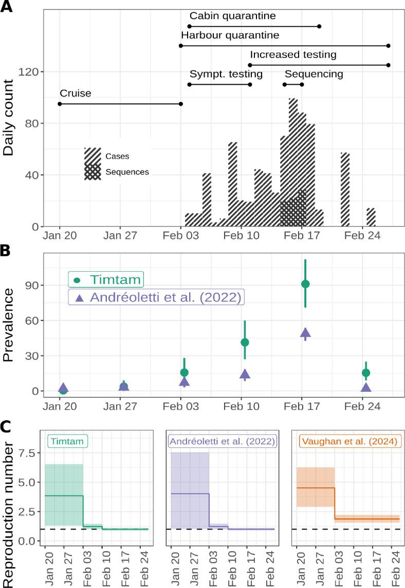
Accurately estimating the prevalence and transmissibility of an infectious disease is an important task in genetic infectious disease epidemiology. However, generating accurate estimates of these quantities, that make use of both epidemic time series and pathogen genome sequence data, is a challenging problem. Phylogenetic birth-death processes are a popular choice for modelling the transmission of infectious diseases, but it is difficult to estimate the prevalence of infection with them. Here, we extended our approximate likelihood approach, which combines phylogenetic information from sampled pathogen genomes and epidemiological information from a time series of case counts, to estimate historical prevalence in addition to the effective reproduction number. We implement this new method in a BEAST2 package called Timtam. In a simulation study our approximation is seen to be well-calibrated and recovers the parameters of simulated data. To demonstrate how Timtam can be applied to real datasets, we carried out empirical analyses of data from two infectious disease outbreaks: the outbreak of SARS-CoV-2 onboard the cruise ship in early 2020 and poliomyelitis in Tajikistan in 2010. In both cases we recover estimates consistent with previous analyses.

摘要

准确估计传染病的流行率和传播性是基因传染病流行病学中的一项重要任务。然而,利用疫情时间序列和病原体基因组序列数据来准确估计这些数量是一个具有挑战性的问题。系统发育出生-死亡过程是模拟传染病传播的常用选择,但用它们来估计感染流行率很困难。在这里,我们扩展了我们的近似似然方法,该方法结合了来自采样病原体基因组的系统发育信息和病例数时间序列的流行病学信息,以除有效再生数之外还能估计历史流行率。我们在一个名为Timtam的BEAST2软件包中实现了这种新方法。在一项模拟研究中,我们的近似方法显示校准良好,并能恢复模拟数据的参数。为了演示Timtam如何应用于真实数据集,我们对来自两次传染病爆发的数据进行了实证分析:2020年初一艘游轮上的SARS-CoV-2爆发以及2010年塔吉克斯坦的脊髓灰质炎疫情。在这两种情况下,我们得到的估计结果与先前的分析一致。

https://cdn.ncbi.nlm.nih.gov/pmc/blobs/dfde/12134936/bc98b09cb40b/rsif.2024.0632.f001.jpg

文献AI研究员

20分钟写一篇综述,助力文献阅读效率提升50倍。

立即体验

用中文搜PubMed

大模型驱动的PubMed中文搜索引擎

马上搜索

文档翻译

学术文献翻译模型,支持多种主流文档格式。

立即体验