• 文献检索
  • 文档翻译
  • 深度研究
  • 学术资讯
  • Suppr Zotero 插件Zotero 插件
  • 邀请有礼
  • 套餐&价格
  • 历史记录
应用&插件
Suppr Zotero 插件Zotero 插件浏览器插件Mac 客户端Windows 客户端微信小程序
定价
高级版会员购买积分包购买API积分包
服务
文献检索文档翻译深度研究API 文档MCP 服务
关于我们
关于 Suppr公司介绍联系我们用户协议隐私条款
关注我们

Suppr 超能文献

核心技术专利:CN118964589B侵权必究
粤ICP备2023148730 号-1Suppr @ 2026

文献检索

告别复杂PubMed语法,用中文像聊天一样搜索,搜遍4000万医学文献。AI智能推荐,让科研检索更轻松。

立即免费搜索

文件翻译

保留排版,准确专业,支持PDF/Word/PPT等文件格式,支持 12+语言互译。

免费翻译文档

深度研究

AI帮你快速写综述,25分钟生成高质量综述,智能提取关键信息,辅助科研写作。

立即免费体验

局限性非小细胞肺癌且有可操作基因改变的患者,放射剂量是否应个体化?一项多中心真实世界研究的见解。

Should Radiation Dose Be Personalized in Patients With Localized NSCLC and Actionable Genetic Alterations? Insight From a Multicenter Real-World Study.

作者信息

Ashraf Salman, Khan Madeha, Naguib Nada, Rulach Robert, Welsh Katharine, Carozzi Rebecca, Horne Ashley, Payne Amelia, Jones Sarah Bowen, Denholm Mary, Stewart Georgia, Bedair Ahmed, Lindsay Colin R, Harrow Stephen, Faivre-Finn Corinne, McAleese Jonathan, Hanna Gerard G, Hackshaw Allan, McDonald Fiona, Walls Gerard M

机构信息

Department of Clinical Oncology, Cancer Centre Belfast City Hospital, Belfast, United Kingdom.

Department of Thoracic Oncology, Royal Marsden NHS Foundation Trust, London, United Kingdom.

出版信息

JTO Clin Res Rep. 2024 Nov 22;6(4):100774. doi: 10.1016/j.jtocrr.2024.100774. eCollection 2025 Apr.

DOI:10.1016/j.jtocrr.2024.100774
PMID:40462887
原文链接:https://pmc.ncbi.nlm.nih.gov/articles/PMC12131243/
Abstract

OBJECTIVES

Radiation therapy (RT) is central to the management of unresectable stage I to III NSCLC. However, the impact of actionable genetic driver alterations (AGAs) on locoregional control (LRC) from RT remains uncertain. A retrospective, multicenter real-world study was undertaken to determine if common AGAs impact LRC after RT.

METHODS

Patients who received curative-intent RT for NSCLC between 2018 and 2020 at four centers in the United Kingdom and had available molecular testing were included. Locoregional control was compared in a 1:2 ratio between a group of patients with an AGA and a control group without AGAs. Locoregional control was assessed with competing risks analysis and overall survival was analyzed by Cox regression, adjusting for established prognostic clinical factors.

RESULTS

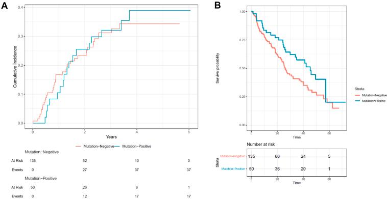
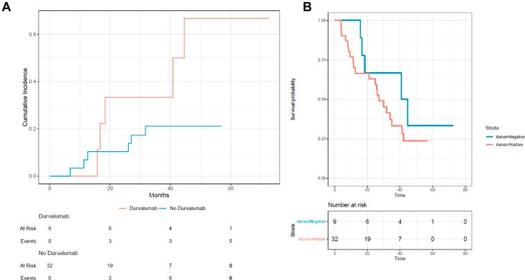
Data was collected for 185 eligible patients: 50 with an AGA and 135 without. Baseline characteristics, including patient demographics, tumor features, and treatment details were evenly distributed between the two groups. LRC was similar in the AGA and non-AGA groups (39% versus 34%, hazard ratio = 1.13, 95% confidence interval: 0.61-1.984,  = 0.84). Actionable genetic driver alterations were not associated with LRC according to multivariable regression analysis. Median overall survival was significantly higher in the AGA group (45 mo versus 26 mo, hazard ratio = 0.64, 95% confidence interval: 0.43-0.96,  = 0.044), and all these patients received targeted therapies on relapse.

CONCLUSION

LRC was comparable in the AGA and non-AGA groups suggesting that there is no role for personalization of RT dose solely due to the detection of an AGA. Nevertheless, survival rates were notably higher among patients with AGAs, likely owing to the availability of efficacious targeted therapies on relapse.

摘要

目的

放射治疗(RT)是不可切除的I至III期非小细胞肺癌(NSCLC)治疗的核心。然而,可操作的基因驱动改变(AGA)对RT局部区域控制(LRC)的影响仍不确定。开展了一项回顾性、多中心真实世界研究,以确定常见AGA是否会影响RT后的LRC。

方法

纳入2018年至2020年期间在英国四个中心接受根治性意图RT治疗NSCLC且有可用分子检测结果的患者。将一组有AGA的患者与一组无AGA的对照组按1:2的比例比较局部区域控制情况。采用竞争风险分析评估局部区域控制情况,并通过Cox回归分析总生存期,同时对既定的预后临床因素进行校正。

结果

收集了185例符合条件患者的数据:50例有AGA,135例无AGA。两组之间的基线特征,包括患者人口统计学、肿瘤特征和治疗细节分布均匀。AGA组和非AGA组的LRC相似(39%对34%,风险比 = 1.13,95%置信区间:0.61 - 1.984,P = 0.84)。根据多变量回归分析,可操作的基因驱动改变与LRC无关。AGA组的中位总生存期显著更高(45个月对26个月,风险比 = 0.64,95%置信区间:0.43 - 0.96,P = 0.044),所有这些患者在复发时均接受了靶向治疗。

结论

AGA组和非AGA组的LRC相当,这表明仅因检测到AGA而对RT剂量进行个体化并无作用。然而,有AGA的患者生存率明显更高,这可能是由于复发时可获得有效的靶向治疗。

https://cdn.ncbi.nlm.nih.gov/pmc/blobs/f919/12131243/714280b93f36/gr2.jpg
https://cdn.ncbi.nlm.nih.gov/pmc/blobs/f919/12131243/7344bb92e5db/gr1.jpg
https://cdn.ncbi.nlm.nih.gov/pmc/blobs/f919/12131243/714280b93f36/gr2.jpg
https://cdn.ncbi.nlm.nih.gov/pmc/blobs/f919/12131243/7344bb92e5db/gr1.jpg
https://cdn.ncbi.nlm.nih.gov/pmc/blobs/f919/12131243/714280b93f36/gr2.jpg

相似文献

1
Should Radiation Dose Be Personalized in Patients With Localized NSCLC and Actionable Genetic Alterations? Insight From a Multicenter Real-World Study.局限性非小细胞肺癌且有可操作基因改变的患者,放射剂量是否应个体化?一项多中心真实世界研究的见解。
JTO Clin Res Rep. 2024 Nov 22;6(4):100774. doi: 10.1016/j.jtocrr.2024.100774. eCollection 2025 Apr.
2
Impact of select actionable genomic alterations on efficacy of neoadjuvant immunotherapy in resectable non-small cell lung cancer.可操作的基因组改变对可切除非小细胞肺癌新辅助免疫治疗疗效的影响。
J Immunother Cancer. 2024 Oct 23;12(10):e009677. doi: 10.1136/jitc-2024-009677.
3
Real-World Outcomes of Immunotherapy in Second- or Later-Line Non-Small Cell Lung Cancer with Actionable Genetic Alterations.二线或更后线伴有可靶向基因改变的非小细胞肺癌免疫治疗的真实世界疗效
Cancers (Basel). 2023 Nov 16;15(22):5450. doi: 10.3390/cancers15225450.
4
Induction chemotherapy improved outcomes of patients with resectable esophageal cancer who received chemoradiotherapy followed by surgery.诱导化疗改善了接受放化疗后手术的可切除食管癌患者的预后。
Int J Radiat Oncol Biol Phys. 2004 Oct 1;60(2):427-36. doi: 10.1016/j.ijrobp.2004.03.033.
5
Prospective high-throughput genome profiling of advanced cancers: results of the PERMED-01 clinical trial.前瞻性高通量基因组分析晚期癌症:PERMED-01 临床试验结果。
Genome Med. 2021 May 18;13(1):87. doi: 10.1186/s13073-021-00897-9.
6
Driving Best Practices Throughout the Treatment Journey for Patients with NSCLC with Actionable Alterations: A Podcast Discussion.为具有可操作改变的非小细胞肺癌患者在整个治疗过程中推动最佳实践:播客讨论
Adv Ther. 2025 May 22. doi: 10.1007/s12325-025-03195-7.
7
Analysis of outcomes in resected early-stage NSCLC with rare targetable driver mutations.对具有罕见可靶向驱动基因突变的早期非小细胞肺癌切除术后结果的分析
Ther Adv Med Oncol. 2024 Dec 23;16:17588359241308466. doi: 10.1177/17588359241308466. eCollection 2024.
8
Association of Improved Locoregional Control With Prolonged Survival in Early-Stage Extranodal Nasal-Type Natural Killer/T-Cell Lymphoma.早期结外鼻型自然杀伤/T 细胞淋巴瘤中局部区域控制改善与生存延长相关。
JAMA Oncol. 2017 Jan 1;3(1):83-91. doi: 10.1001/jamaoncol.2016.5094.
9
Predictors of relapse and evaluation of the role of postoperative radiation therapy in a modern series of patients with surgically resected stage III (N2) non-small cell lung cancer.现代系列手术切除的Ⅲ期(N2)非小细胞肺癌患者复发的预测因素及术后放疗作用的评估
Adv Radiat Oncol. 2016 Dec 21;2(1):12-18. doi: 10.1016/j.adro.2016.12.004. eCollection 2017 Jan-Mar.
10
Radiation Dose Escalation in Accelerated Hyperfractionated Radiotherapy for Stage III Non-small-cell Lung Cancer.III期非小细胞肺癌加速超分割放疗中的放射剂量递增
Anticancer Res. 2018 Oct;38(10):5951-5958. doi: 10.21873/anticanres.12941.

本文引用的文献

1
Erratum to "Treatment response biomarkers: working towards personalised radiotherapy for lung cancer. [Journal of Thoracic Oncology Vol. 19 No. 8: 1164-1185]".《治疗反应生物标志物:迈向肺癌个体化放疗》勘误 [《胸部肿瘤学杂志》第19卷第8期:1164 - 1185页]
J Thorac Oncol. 2024 Nov;19(11):1580. doi: 10.1016/j.jtho.2024.08.021. Epub 2024 Sep 5.
2
Osimertinib after Chemoradiotherapy in Stage III -Mutated NSCLC.奥希替尼用于 III 期 - 突变型 NSCLC 放化疗后的治疗。
N Engl J Med. 2024 Aug 15;391(7):585-597. doi: 10.1056/NEJMoa2402614. Epub 2024 Jun 2.
3
Systematic endoscopic staging of mediastinum to guide radiotherapy planning in patients with locally advanced non-small-cell lung cancer (SEISMIC): an international, multicentre, single-arm, clinical trial.
系统内镜分期纵隔引导局部晚期非小细胞肺癌放疗计划(SEISMIC):一项国际多中心单臂临床试验。
Lancet Respir Med. 2024 Jun;12(6):467-475. doi: 10.1016/S2213-2600(24)00010-9. Epub 2024 Mar 12.
4
Cancer statistics, 2024.2024年癌症统计数据。
CA Cancer J Clin. 2024 Jan-Feb;74(1):12-49. doi: 10.3322/caac.21820. Epub 2024 Jan 17.
5
Targeted treatment for unresectable EGFR mutation-positive stage III non-small cell lung cancer: Emerging evidence and future perspectives.不可切除的 EGFR 突变阳性 III 期非小细胞肺癌的靶向治疗:新出现的证据和未来展望。
Lung Cancer. 2024 Jan;187:107414. doi: 10.1016/j.lungcan.2023.107414. Epub 2023 Nov 8.
6
Adjuvant therapy in completely resected, EGFR-mutant non-small cell lung cancer: a comparative analysis of treatment efficacy between EGFR-TKI and anti-PD-1/PD-L1 immunotherapy.完全切除的、EGFR 突变型非小细胞肺癌的辅助治疗:EGFR-TKI 与抗 PD-1/PD-L1 免疫治疗疗效的比较分析。
J Immunother Cancer. 2023 Oct;11(10). doi: 10.1136/jitc-2023-007327.
7
Pneumonitis in Patients Receiving Thoracic Radiotherapy and Osimertinib: A Multi-Institutional Study.接受胸部放疗和奥希替尼治疗的患者的肺炎:一项多机构研究
JTO Clin Res Rep. 2023 Aug 17;4(10):100559. doi: 10.1016/j.jtocrr.2023.100559. eCollection 2023 Oct.
8
Overall Survival with Osimertinib in Resected -Mutated NSCLC.奥希替尼治疗可切除突变型 NSCLC 的总生存期。
N Engl J Med. 2023 Jul 13;389(2):137-147. doi: 10.1056/NEJMoa2304594. Epub 2023 Jun 4.
9
Brief Report: Durvalumab After Chemoradiotherapy in Unresectable Stage III EGFR-Mutant NSCLC: A Post Hoc Subgroup Analysis From PACIFIC.简要报告:放化疗后使用度伐利尤单抗治疗不可切除的 III 期 EGFR 突变 NSCLC:PACIFIC 的事后亚组分析。
J Thorac Oncol. 2023 May;18(5):657-663. doi: 10.1016/j.jtho.2023.02.009. Epub 2023 Feb 24.
10
Dosimetric predictors of pneumonitis in locally advanced non-small cell lung cancer patients treated with chemoradiation followed by durvalumab.放化疗后序贯度伐利尤单抗治疗局部晚期非小细胞肺癌患者放射性肺炎的剂量学预测因素。
Lung Cancer. 2022 Aug;170:58-64. doi: 10.1016/j.lungcan.2022.06.003. Epub 2022 Jun 13.