• 文献检索
  • 文档翻译
  • 深度研究
  • 学术资讯
  • Suppr Zotero 插件Zotero 插件
  • 邀请有礼
  • 套餐&价格
  • 历史记录
应用&插件
Suppr Zotero 插件Zotero 插件浏览器插件Mac 客户端Windows 客户端微信小程序
定价
高级版会员购买积分包购买API积分包
服务
文献检索文档翻译深度研究API 文档MCP 服务
关于我们
关于 Suppr公司介绍联系我们用户协议隐私条款
关注我们

Suppr 超能文献

核心技术专利:CN118964589B侵权必究
粤ICP备2023148730 号-1Suppr @ 2026

文献检索

告别复杂PubMed语法,用中文像聊天一样搜索,搜遍4000万医学文献。AI智能推荐,让科研检索更轻松。

立即免费搜索

文件翻译

保留排版,准确专业,支持PDF/Word/PPT等文件格式,支持 12+语言互译。

免费翻译文档

深度研究

AI帮你快速写综述,25分钟生成高质量综述,智能提取关键信息,辅助科研写作。

立即免费体验

以色列境内流离失所者个人健康促进行为的有害变化。

Detrimental Changes in Individual Health-Promoting Behaviors Among Internally Displaced Israelis.

作者信息

Fliss Isakov Naomi, Levi-Shahar Miri, Balmakov Yulia, Mahajni Yunis Ranaa, Endevelt Ronit, Blaychfeld Magnazi Moran

机构信息

Nutrition Division, Department of Public Health, Ministry of Health, Jerusalem, Israel.

Department of Health Promotion, School of Public Health, Faculty of Medicine, Tel-Aviv University, Tel Aviv, Israel.

出版信息

Int J Public Health. 2025 May 21;70:1607794. doi: 10.3389/ijph.2025.1607794. eCollection 2025.

DOI:10.3389/ijph.2025.1607794
PMID:40470070
原文链接:https://pmc.ncbi.nlm.nih.gov/articles/PMC12133527/
Abstract

OBJECTIVES

Israel has forcibly displaced more than 200,000 people to hotels or apartments, due to armed conflict. Our study aimed to identify changes in health-promoting behaviors during displacement.

METHODS

Two online surveys were conducted assessing health-promoting behaviors and body weight before and during displacement. Univariate and multivariate analyses were performed to compare displaced and non-displaced respondents.

RESULTS

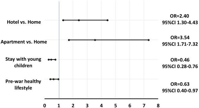
A total of 997 and 153 participants completed the first and second surveys respectively. A significant decrease in diet quality (P < 0.001), physical activity frequency (P = 0.016), and an increase in diet quantity (P < 0.001) and weight (P = 0.001) were reported among displaced individuals, compared to non-displaced individuals. Living with children, and a healthy pre-war lifestyle were found to be independently protective of detrimental lifestyle change (OR = 0.46, 95% CI0.28-0.76 and OR = 0.63, 95% CI0.40-0.97), risk factors (OR = 2.40, 95% CI1.30-4.43 and OR = 3.54, 95% CI1.71-7.32), for detrimental lifestyle changes.

CONCLUSION

Detrimental changes to health promoting behaviors were reported in all study groups, although they were significantly higher in displaced individuals. Immediate changes did not differ between respondents staying in hotels or apartments, but were sustained only in hotels.

摘要

目的

由于武装冲突,以色列已迫使20多万人流离至酒店或公寓。我们的研究旨在确定流离期间促进健康行为的变化。

方法

进行了两项在线调查,评估流离前和流离期间的促进健康行为及体重。进行单变量和多变量分析以比较流离者和未流离者。

结果

分别有997名和153名参与者完成了第一次和第二次调查。与未流离者相比,流离者的饮食质量显著下降(P<0.001)、身体活动频率下降(P=0.016),饮食量增加(P<0.001),体重增加(P=0.001)。发现与孩子同住以及战前健康的生活方式可独立保护人们免受有害生活方式变化的影响(比值比=0.46,95%置信区间0.28 - 0.76;比值比=0.63,95%置信区间0.40 - 0.97),这些是有害生活方式变化的风险因素(比值比=2.40,95%置信区间1.30 - 4.43;比值比=3.54,95%置信区间1.71 - 7.32)。

结论

所有研究组均报告了促进健康行为的有害变化,尽管流离者中的变化显著更高。住在酒店或公寓的受访者之间即时变化没有差异,但仅在酒店中这种变化持续存在。

https://cdn.ncbi.nlm.nih.gov/pmc/blobs/05de/12133527/a2d399912df1/ijph-70-1607794-g003.jpg
https://cdn.ncbi.nlm.nih.gov/pmc/blobs/05de/12133527/4294a25b6e92/ijph-70-1607794-g001.jpg
https://cdn.ncbi.nlm.nih.gov/pmc/blobs/05de/12133527/e7bdc2502ea5/ijph-70-1607794-g002.jpg
https://cdn.ncbi.nlm.nih.gov/pmc/blobs/05de/12133527/a2d399912df1/ijph-70-1607794-g003.jpg
https://cdn.ncbi.nlm.nih.gov/pmc/blobs/05de/12133527/4294a25b6e92/ijph-70-1607794-g001.jpg
https://cdn.ncbi.nlm.nih.gov/pmc/blobs/05de/12133527/e7bdc2502ea5/ijph-70-1607794-g002.jpg
https://cdn.ncbi.nlm.nih.gov/pmc/blobs/05de/12133527/a2d399912df1/ijph-70-1607794-g003.jpg

相似文献

1
Detrimental Changes in Individual Health-Promoting Behaviors Among Internally Displaced Israelis.以色列境内流离失所者个人健康促进行为的有害变化。
Int J Public Health. 2025 May 21;70:1607794. doi: 10.3389/ijph.2025.1607794. eCollection 2025.
2
Rates and determinants of repeated participation in a web-based behavior change program for healthy body weight and healthy lifestyle.基于网络的健康体重与健康生活方式行为改变计划的重复参与率及影响因素。
J Med Internet Res. 2007 Jan 22;9(1):e1. doi: 10.2196/jmir.9.1.e1.
3
Psychiatric Disorders in Refugees and Internally Displaced Persons After Forced Displacement: A Systematic Review.被迫流离失所后难民和境内流离失所者的精神障碍:一项系统综述。
Front Psychiatry. 2018 Sep 21;9:433. doi: 10.3389/fpsyt.2018.00433. eCollection 2018.
4
The impact of a Web-based app (eBalance) in promoting healthy lifestyles: randomized controlled trial.一款基于网络的应用程序(eBalance)对促进健康生活方式的影响:随机对照试验。
J Med Internet Res. 2015 Mar 2;17(3):e56. doi: 10.2196/jmir.3682.
5
Social determinants, symptoms and mental problems in adults internally displaced by armed conflict. Soacha, Colombia, 2019.武装冲突导致的成年人境内流离失所者的社会决定因素、症状和精神问题。哥伦比亚绍阿查,2019 年。
Rev Colomb Psiquiatr (Engl Ed). 2024 Jan-Mar;53(1):8-16. doi: 10.1016/j.rcpeng.2022.08.011. Epub 2024 Apr 26.
6
A low-cost digital first aid tool to reduce psychological distress in refugees: A multi-country randomized controlled trial of self-help online in the first months after the invasion of Ukraine.一种降低难民心理困扰的低成本数字急救工具:乌克兰被入侵后头几个月自助在线的多国随机对照试验。
Soc Sci Med. 2024 Dec;362:117442. doi: 10.1016/j.socscimed.2024.117442. Epub 2024 Oct 24.
7
Health status among internally displaced persons in Louisiana and Mississippi travel trailer parks.路易斯安那州和密西西比州移动房屋公园内流离失所者的健康状况。
Ann Emerg Med. 2007 May;49(5):590-601, 601.e1-12. doi: 10.1016/j.annemergmed.2006.12.004. Epub 2007 Mar 30.
8
Displaced and segregated: The socio-economic status of the second generation of internally displaced Palestinians in Israel.流离失所与隔离:以色列境内第二代巴勒斯坦流离失所者的社会经济状况。
Popul Stud (Camb). 2019 Mar;73(1):19-35. doi: 10.1080/00324728.2018.1544658. Epub 2018 Dec 6.
9
Prevalence of war-related mental health conditions and association with displacement status in postwar Jaffna District, Sri Lanka.斯里兰卡贾夫纳战后地区与战争相关的心理健康状况的流行情况及其与流离失所状况的关系。
JAMA. 2011 Aug 3;306(5):522-31. doi: 10.1001/jama.2011.1052.
10
A Study of Predictive Factors Affecting Health: Promoting Behaviors of North Korean Adolescent Refugees.影响健康的预测因素研究:朝鲜青少年难民的促进健康行为
J Prev Med Public Health. 2015 Sep;48(5):231-8. doi: 10.3961/jpmph.14.045. Epub 2015 Sep 6.

引用本文的文献

1
Displacement and Mental Health Problems in Children and Adolescents of a Colombian Indigenous Population.哥伦比亚土著儿童和青少年的流离失所与心理健康问题
Int J Public Health. 2025 Aug 26;70:1607782. doi: 10.3389/ijph.2025.1607782. eCollection 2025.

本文引用的文献

1
Support interventions to promote health and wellbeing among women with health-related consequences following traumatic experiences linked to armed conflicts and forced migration: a scoping review.支持采取干预措施,促进经历与武装冲突和被迫迁移相关创伤经历后出现健康问题的妇女的健康和福祉:一项范围综述。
Arch Public Health. 2024 Jan 16;82(1):8. doi: 10.1186/s13690-023-01235-8.
2
The Six Pillars of Lifestyle Medicine in Managing Noncommunicable Diseases - The Gaps in Current Guidelines.生活方式医学六原则在非传染性疾病管理中的应用 - 当前指南中的差距。
Arq Bras Cardiol. 2024 Jan 8;120(12):e20230408. doi: 10.36660/abc.20230408. eCollection 2024.
3
Impact of the armed conflict in Colombia: consequences in the health system, response and challenges.
哥伦比亚武装冲突的影响:对卫生系统的后果、应对措施及挑战
Confl Health. 2024 Jan 3;18(1):4. doi: 10.1186/s13031-023-00561-6.
4
The stress of war. Recommendations for the protection of mental health and wellbeing for both Ukrainian refugees as well as Poles supporting them.战争压力。为保护乌克兰难民和支持他们的波兰人的心理健康和福祉提出的建议。
Psychiatr Pol. 2023 Aug 31;57(4):729-746. doi: 10.12740/PP/156157.
5
Mental health and sleep disturbances among Ukrainian refugees in the context of Russian-Ukrainian war: A preliminary result from online-survey.俄乌战争背景下乌克兰难民的心理健康与睡眠障碍:在线调查的初步结果
Sleep Med. 2024 Jan;113:342-348. doi: 10.1016/j.sleep.2023.12.004. Epub 2023 Dec 10.
6
Prevalence of stress, anxiety, and symptoms of post-traumatic stress disorder among Ukrainians after the first year of Russian invasion: a nationwide cross-sectional study.俄乌冲突爆发一年后乌克兰民众的压力、焦虑及创伤后应激障碍症状的流行情况:一项全国性横断面研究
Lancet Reg Health Eur. 2023 Nov 6;36:100773. doi: 10.1016/j.lanepe.2023.100773. eCollection 2024 Jan.
7
The social and health consequences of the war for Ukrainian children and adolescents: a rapid systematic review.战争对乌克兰儿童和青少年的社会和健康影响:快速系统评价。
Public Health. 2024 Jan;226:74-79. doi: 10.1016/j.puhe.2023.10.044. Epub 2023 Nov 25.
8
Experience Sharing on Continuity of Healthcare Services in Internally Displaced Peoples: The Case of Tigray War Crisis.境内流离失所者医疗服务连续性的经验分享:以提格雷战争危机为例
Risk Manag Healthc Policy. 2023 Oct 20;16:2197-2208. doi: 10.2147/RMHP.S426627. eCollection 2023.
9
Exploring the health consequences of armed conflict: the perspective of Northeast Ethiopia, 2022: a qualitative study.探讨武装冲突对健康的影响:以 2022 年埃塞俄比亚东北部为例:一项定性研究。
BMC Public Health. 2023 Oct 24;23(1):2078. doi: 10.1186/s12889-023-16983-z.
10
THE ATTITUDE OF CERTAIN CATEGORIES OF THE POPULATION OF UKRAINE TO PERSONAL HEALTH DURING THE WAR AGAINST RUSSIAN AGGRESSION.乌克兰某些人群在对俄战争期间对个人健康的态度。
Wiad Lek. 2023 Aug 31;76(8):1883-1887.