Nightingale Emily S, Bindroo Joy, Dubey Pushkar, Priyamvada Khushbu, Das Aritra, Bern Caryn, Srikantiah Sridhar, Kumar Ashok, Cameron Mary M, Lucas Tim C D, Sharma Sadhana, Medley Graham F, Brady Oliver J
Department of Infectious Disease Epidemiology & Dynamics, London School of Hygiene and Tropical Medicine, London, UK.
Bihar Technical Support Program, Patna, Bihar, India.
BMC Glob Public Health. 2025 Jun 5;3(1):51. doi: 10.1186/s44263-025-00169-3.
Visceral leishmaniasis (VL) is a debilitating and-without treatment-fatal parasitic disease which burdens the most impoverished communities in northeastern India. Control and ultimately, elimination of VL depends heavily on prompt case detection. However, a proportion of VL cases remain undiagnosed many months after symptom onset. Delay to diagnosis increases the chance of onward transmission, and poses a risk of resurgence in populations with waning immunity. We analysed the spatial variation of delayed diagnosis of VL in Bihar, India and aimed to understand the potential driving factors of these delays.
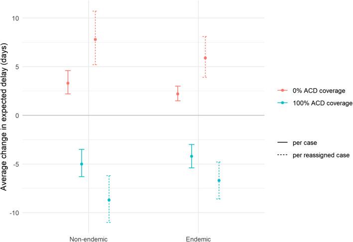
The spatial distribution of time to diagnosis was explored using a Bayesian hierarchical model fit to 4270 geo-located cases notified between January 2018 and July 2019 through routine surveillance. Days between symptoms meeting clinical criteria (14-day fever) and diagnosis were assumed to be Poisson-distributed, adjusting for individual- and village-level characteristics. Residual variance was modelled with an explicit spatial structure. Cumulative delays were estimated under different scenarios of active case detection coverage.
The 4270 cases analysed were found to be prone to excessive delays in areas outside existing endemic 'hot spots'. After accounting for differences associated with age, HIV status and mode of detection (active versus passive surveillance), cases diagnosed within recently affected (≥ 1 case reported in the previous year) blocks and villages experienced shorter delays on average (by 13% [2.9-21.7%] (95% credible interval) and 7% [1.3-13.1%], respectively) than those in non-recently-affected areas.
Delays to VL diagnosis when incidence is low could influence whether transmission of the disease could be interrupted or resurges. Prioritising and narrowing surveillance to high-burden areas may increase the likelihood of excessive delays in diagnosis in peripheral areas. Active surveillance driven by observed incidence may lead to missing the risk posed by as-yet-undiagnosed cases in low-endemic areas, and such surveillance could be insufficient for achieving and sustaining elimination.
内脏利什曼病(VL)是一种使人衰弱且若不治疗会致命的寄生虫病,给印度东北部最贫困的社区带来沉重负担。控制并最终消除VL在很大程度上依赖于及时的病例检测。然而,一部分VL病例在症状出现数月后仍未得到诊断。诊断延迟增加了疾病传播的几率,并对免疫力下降人群构成复发风险。我们分析了印度比哈尔邦VL延迟诊断的空间差异,旨在了解这些延迟的潜在驱动因素。
使用贝叶斯分层模型探索诊断时间的空间分布,该模型适用于2018年1月至2019年7月通过常规监测通报的4270例地理位置明确的病例。症状符合临床标准(持续14天发热)至诊断之间的天数假定服从泊松分布,并对个体和村庄层面的特征进行了调整。残余方差采用明确的空间结构进行建模。在不同的主动病例检测覆盖情况下估计累积延迟。
分析的4270例病例在现有地方性“热点”地区以外的区域容易出现过度延迟。在考虑了与年龄、艾滋病毒感染状况和检测方式(主动监测与被动监测)相关的差异后,与非近期受影响地区相比,在最近受影响(前一年报告≥1例病例)的街区和村庄中诊断的病例平均延迟时间较短(分别短13%[2.9 - 21.7%](95%可信区间)和7%[1.3 - 13.1%])。
发病率较低时VL诊断的延迟可能会影响疾病传播能否被阻断或复发。将监测重点放在高负担地区并缩小监测范围可能会增加周边地区诊断过度延迟的可能性。由观察到的发病率驱动的主动监测可能会遗漏低流行地区尚未诊断病例带来的风险,并且这种监测可能不足以实现和维持消除目标。