Suppr超能文献

比较不同评分模型预测肝硬化患者经颈静脉肝内门体分流术后肝性脑病的疗效。

Comparing efficacy of different scoring models to predict hepatic encephalopathy after TIPS in cirrhotic patients.

作者信息

Xu Xin-Jian, Yin Liang, Zhu Yi-Jiang, Lu Dong, Huang Xiang-Zhong, Lv Wei-Fu, Zhou Chun-Ze, Cheng De-Lei

机构信息

Department of Interventional Radiology, Jiangyin Hospital Affiliated to Nantong University, Jiangyin, China.

Department of Interventional Radiology, The First Affiliated Hospital of USTC, Division of Life Sciences and Medicine, University of Science and Technology of China, Hefei, China.

出版信息

Ann Med. 2025 Dec;57(1):2514082. doi: 10.1080/07853890.2025.2514082. Epub 2025 Jun 6.

Abstract

BACKGROUND

Assessing hepatic encephalopathy (HE) risk post-transjugular intrahepatic portosystemic shunt (TIPS) in cirrhotic patients is crucial. This study compares the predictive performance of Child-Pugh and Model for End-Stage Liver Disease (MELD), CLIFC-AD and Freiburg index of post-TIPS survival (FIPS) scores for overt and severe HE. To compare the predictive value of Child-Pugh, MELD, CLIFC-AD and FIPS scores for overt and severe HE post-TIPS in cirrhotic patients.

MATERIALS AND METHODS

We retrospectively analysed data from 406 cirrhotic TIPS patients (January 2017-January 2021). Scoring models were assessed for differentiation (C-index), calibration, clinical utility and overall performance at 1, 3, 6 and 12 months post-TIPS.

RESULTS

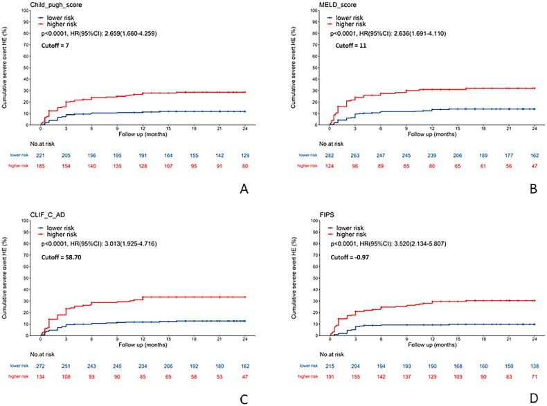
Predictive performance for overt HE post-TIPS was low across models. FIPS had superior predictive ability for severe HE at 1 and 12 months post-TIPS (C-index: 0.781, 0.705). FIPS and CLIFC-AD showed good predictive capacity for severe HE in sarcopenic patients at 1 and 12 months (FIPS: C-index 0.863, 0.757; CLIFC-AD: C-index 0.748, 0.732). FIPS had the highest hazard ratio for severe HE (HR = 3.520, 95% CI: 2.134-5.807) and CLIFC-AD for overt HE (HR = 2.132, 95% CI: 1.581-2.874).

CONCLUSION

FIPS and CLIFC-AD scores demonstrate significant predictive ability for severe HE post-TIPS, particularly in sarcopenic patients.

摘要

背景

评估肝硬化患者经颈静脉肝内门体分流术(TIPS)后肝性脑病(HE)的风险至关重要。本研究比较了Child-Pugh评分、终末期肝病模型(MELD)、CLIFC-AD评分和弗赖堡TIPS术后生存指数(FIPS)对显性和重度HE的预测性能。比较Child-Pugh评分、MELD评分、CLIFC-AD评分和FIPS评分对肝硬化患者TIPS术后显性和重度HE的预测价值。

材料与方法

我们回顾性分析了406例肝硬化TIPS患者(2017年1月至2021年1月)的数据。对评分模型在TIPS术后1、3、6和12个月时的区分度(C指数)、校准、临床实用性和整体性能进行了评估。

结果

各模型对TIPS术后显性HE的预测性能较低。FIPS在TIPS术后1个月和12个月时对重度HE具有较高的预测能力(C指数:0.781,0.705)。FIPS和CLIFC-AD在肌肉减少症患者术后1个月和12个月时对重度HE显示出良好的预测能力(FIPS:C指数0.863,0.757;CLIFC-AD:C指数0.748,0.732)。FIPS对重度HE的风险比最高(HR = 3.520,95%CI:2.134 - 5.807),CLIFC-AD对显性HE的风险比最高(HR = 2.132,95%CI:1.581 - 2.874)。

结论

FIPS和CLIFC-AD评分对TIPS术后重度HE具有显著的预测能力,尤其是在肌肉减少症患者中。

https://cdn.ncbi.nlm.nih.gov/pmc/blobs/301d/12147511/3ef10eae5307/IANN_A_2514082_F0001_B.jpg

文献检索

告别复杂PubMed语法,用中文像聊天一样搜索,搜遍4000万医学文献。AI智能推荐,让科研检索更轻松。

立即免费搜索

文件翻译

保留排版,准确专业,支持PDF/Word/PPT等文件格式,支持 12+语言互译。

免费翻译文档

深度研究

AI帮你快速写综述,25分钟生成高质量综述,智能提取关键信息,辅助科研写作。

立即免费体验