Suppr超能文献

阴道和宫颈原发性恶性黑色素瘤患者微创手术的临床实践与结果:一项回顾性队列研究

The clinical practice and outcomes of minimally invasive surgery in primary malignant melanoma of the vagina and cervix patients: a retrospective cohort study.

作者信息

Liu Bin, Liu Yan, He Haixin, Chen Wei, Ji Haizhou, Lin Ling, Tan Quping, Sun Yang, Lin Cuibo

机构信息

Department of Gynecology, Clinical Oncology School of Fujian Medical University, Fujian Cancer Hospital, 420 Fuma Road, Fuzhou, 350014, Fujian, China.

Fujian Provincial Key Laboratory of Brain Aging and Neurodegenerative Diseases, School of Basic Medical Sciences, Fujian Medical University, Xue Yuan Road, University Town, FuZhou, 350108, Fujian, China.

出版信息

Orphanet J Rare Dis. 2025 Jun 6;20(1):286. doi: 10.1186/s13023-025-03760-x.

Abstract

BACKGROUND

Primary malignant melanoma of the vagina (PMMV) and cervix (PMMC) are extremely rare tumors with a poor prognosis, lacking well-defined protocols or standardized treatment guidelines. While the preferred management for early-stage PMMV and PMMC is surgery, comprehensive reports on the impact of various surgical techniques on cancer outcomes are scarce.

OBJECTIVE

This study aimed to compare outcomes between open and minimally invasive surgery (MIS) in PMMV and PMMC, and concurrently evaluated prognostic risk factors for these conditions.

METHODS

We conducted a single-center retrospective cohort study of PMMV and PMMC patients treated surgically from January 2000 to July 2021. Clinicopathological features and surgical outcomes were assessed retrospectively. Patients underwent either open surgery or MIS. Disease-Free Survival (DFS) rates were compared.

RESULTS

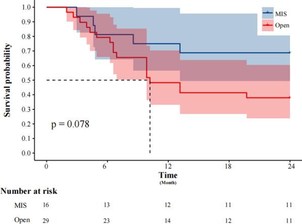
Of 45 eligible patients, the MIS group showed a higher rate of total vaginectomy (P = 0.022), reduced median intraoperative blood loss (P = 0.031), shorter median hospital stay (P = 0.042), and no significant increase in perioperative complications (P = 0.867). The incidence of negative margins < 1 cm was significantly lower in the MIS group (P = 0.032). Cox proportional hazards regression identified microsatellites (HR = 2.893 [1.042-8.029]; P = 0.042), surgical negative margin distance (HR = 0.042 [0.008-0.217]; P < 0.001), and total vaginectomy (HR = 0.042 [0.008-0.217]; P < 0.001) as independent prognostic factors for DFS. MIS was linked to a significant difference in 2-year DFS (P = 0.030), but there was no notable difference in overall survival (OS) compared to open surgery (P = 0.078). The outcomes are validated through sensitivity analysis and hierarchical assessment, leading to the development of a novel nomogram simultaneously.

CONCLUSIONS

Total vaginectomy may improve DFS in PMMV and PMMC patients. A combination of MIS and radical vaginal resection can effectively manage PMMV and PMMC as an initial surgical strategy.

摘要

背景

原发性阴道恶性黑色素瘤(PMMV)和原发性宫颈恶性黑色素瘤(PMMC)是极其罕见的肿瘤,预后较差,缺乏明确的治疗方案或标准化治疗指南。虽然早期PMMV和PMMC的首选治疗方法是手术,但关于各种手术技术对癌症治疗效果影响的综合报告却很少。

目的

本研究旨在比较PMMV和PMMC患者开放手术和微创手术(MIS)的治疗效果,并同时评估这些疾病的预后危险因素。

方法

我们对2000年1月至2021年7月接受手术治疗的PMMV和PMMC患者进行了单中心回顾性队列研究。回顾性评估临床病理特征和手术结果。患者接受开放手术或MIS。比较无病生存率(DFS)。

结果

在45例符合条件的患者中,MIS组全阴道切除术的发生率更高(P = 0.022),术中中位失血量减少(P = 0.031),中位住院时间缩短(P = 0.042),围手术期并发症无显著增加(P = 0.867)。MIS组切缘阴性<1 cm的发生率显著更低(P = 0.032)。Cox比例风险回归分析确定微卫星(HR = 2.893 [1.042 - 8.029];P = 0.042)、手术切缘阴性距离(HR = 0.042 [0.008 - 0.217];P < 0.001)和全阴道切除术(HR = 0.042 [0.008 - 0.217];P < 0.001)是DFS的独立预后因素。MIS与2年DFS的显著差异相关(P = 0.030),但与开放手术相比,总生存期(OS)无显著差异(P = 0.078)。通过敏感性分析和分层评估验证了结果,同时开发了一种新的列线图。

结论

全阴道切除术可能改善PMMV和PMMC患者的DFS。MIS与根治性阴道切除术相结合可作为PMMV和PMMC的初始手术策略有效治疗。

https://cdn.ncbi.nlm.nih.gov/pmc/blobs/6a72/12144728/0b494dcfac3e/13023_2025_3760_Fig1_HTML.jpg

文献检索

告别复杂PubMed语法,用中文像聊天一样搜索,搜遍4000万医学文献。AI智能推荐,让科研检索更轻松。

立即免费搜索

文件翻译

保留排版,准确专业,支持PDF/Word/PPT等文件格式,支持 12+语言互译。

免费翻译文档

深度研究

AI帮你快速写综述,25分钟生成高质量综述,智能提取关键信息,辅助科研写作。

立即免费体验