Hany Mohamed, El-Ansari Kareem, El Ansari Walid
Department of Surgery, Medical Research Institute, Alexandria University, Alexandria, Egypt.
Madina Women's Hospital, Alexandria University, Alexandria, Egypt.
Langenbecks Arch Surg. 2025 Jun 9;410(1):179. doi: 10.1007/s00423-025-03748-y.
The diagnostic accuracy of clinical symptoms in detecting reflux-related abnormalities after One anastomosis gastric Bypass (OAGB) remains unclear. This study evaluates the diagnostic performance of reflux symptoms compared to upper endoscopy (UE), biopsy, and bile reflux index (BRI) findings at one-year post-OAGB.
A retrospective analysis was conducted on 150 consecutive patients who underwent OAGB between November 2017 and June 2018 and had no preoperative reflux symptoms. At one year postoperatively, patients completed the Gastroesophageal Reflux Disease Questionnaire (GerdQ) for symptom assessment. UE, histopathological biopsy, and BRI calculations were performed. The diagnostic accuracy of symptoms was evaluated against UE, biopsy, and BRI findings using sensitivity, specificity, positive predictive value (PPV), negative predictive value (NPV), and the area under the receiver operating characteristic curve (AUROC).
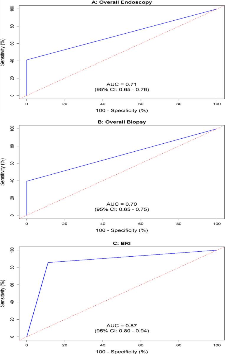
Among 144 patients analyzed, 25.7% reported GERD symptoms, while abnormal findings were observed in 62.5% (UE), 65.3% (biopsy), and 19.4% (BRI). Symptoms demonstrated high specificity and PPV (100%) in predicting UE and biopsy abnormalities but had low sensitivity (41.1% for UE, 39.4% for biopsy) and moderate NPVs (50.5% and 46.7%, respectively), indicating a risk of false negatives. The AUROC values were 0.71 (UE) and 0.70 (biopsy), reflecting moderate diagnostic discrimination. For BRI, symptom presence had 88.8% specificity and 64.9% PPV, but symptom absence correlated with high sensitivity (85.7%) and excellent NPV (96.3%), yielding an AUC of 0.87. Notably, 95.8% of symptomatic patients with abnormal BRI exhibited anastomotic site abnormalities, and 95.7% of patients with anastomotic pathology had concurrent distal esophageal and gastric pouch abnormalities.
Symptoms may serve as a predictor of reflux-related abnormalities on UE or biopsy, but their absence is unreliable in ruling out such abnormalities. While symptoms effectively forecast abnormal BRI in high-prevalence settings, their diagnostic utility remains limited. Further research is warranted to assess long-term diagnostic accuracy and refine post-OAGB reflux assessment protocols.
单吻合口胃旁路术(OAGB)后,临床症状在检测反流相关异常方面的诊断准确性尚不清楚。本研究评估了OAGB术后一年时反流症状与上消化道内镜检查(UE)、活检及胆汁反流指数(BRI)结果相比的诊断性能。
对2017年11月至2018年6月期间连续接受OAGB且术前无反流症状的150例患者进行回顾性分析。术后一年,患者完成胃食管反流病问卷(GerdQ)以进行症状评估。进行了UE、组织病理学活检及BRI计算。使用敏感性、特异性、阳性预测值(PPV)、阴性预测值(NPV)及受试者工作特征曲线下面积(AUROC)评估症状相对于UE、活检及BRI结果的诊断准确性。
在分析的144例患者中,25.7%报告有胃食管反流病症状,而异常发现见于62.5%(UE)、65.3%(活检)及19.4%(BRI)。症状在预测UE及活检异常方面显示出高特异性和PPV(100%),但敏感性较低(UE为41.1%,活检为39.4%)且NPV中等(分别为50.5%和46.7%),表明存在假阴性风险。AUROC值分别为0.71(UE)和0.70(活检),反映出中等诊断区分度。对于BRI,症状存在的特异性为88.8%,PPV为64.9%,但症状不存在与高敏感性(85.7%)和出色的NPV(96.3%)相关,AUC为0.87。值得注意的是,BRI异常的有症状患者中95.8%表现出吻合口部位异常,吻合口病理改变的患者中95.7%同时存在食管远端和胃囊异常。
症状可作为UE或活检时反流相关异常的预测指标,但无症状并不能可靠地排除此类异常。虽然在高患病率情况下症状能有效预测BRI异常,但其诊断效用仍有限。有必要进一步研究以评估长期诊断准确性并完善OAGB术后反流评估方案。