Suppr超能文献

多灶性和单灶性胶质瘤的不同危险因素:放射学、病理学和临床特征的比较研究

Different risk factors for multiple and unifocal gliomas: a comparative study of radiological, pathological and clinical characteristics.

作者信息

Feng Limei, Shi Xinyao, Zang Yuying, Chen Xuzhu

机构信息

Department of Radiology, Beijing Tiantan Hospital, Capital Medical University, Beijing, China.

Department of Radiology, Capital Center for Children's Health, Capital Medical University, Beijing, China.

出版信息

Front Oncol. 2025 May 27;15:1531879. doi: 10.3389/fonc.2025.1531879. eCollection 2025.

Abstract

BACKGROUND

This retrospective study compared two types of gliomas and two subtypes of multiple gliomas.

METHODS

The clinical manifestations, magnetic resonance imaging (MRI) findings, pathological characteristics, and clinical outcomes of 188 patients with unifocal and 94 patients with multiple gliomas (59 with multifocal and 35 with multicentric gliomas) were analyzed.

RESULTS

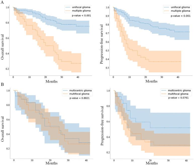
Compared with patients with unifocal glioma, those with multiple gliomas were older (=0.001) and more likely to be male (χ = 4.857, =0.028). Patients with multiple gliomas had smaller extent of surgical resection (χ = 161.016, <0.001) and a worse prognosis (χ = 43.733, <0.001) than those with unifocal gliomas. Multiple gliomas were more likely to have a non-superficial location (χ = 51.758, <0.001), obvious peritumoral oedema (χ = 9.688, =0.008), intense enhancement (χ = 24.547, <0.001), a higher WHO grade (=0.001), a lower ratio of isocitrate dehydrogenase (IDH) mutation (χ = 51.770, <0.001), and codeletion of 1p19q (χ = 8.637, =0.003). Tumor location and IDH status were identified as independent risk factors for multiple gliomas (<0.001 and =0.003, respectively). Deep tumor location was found to be the only factor related to unfavorable overall survival (OS) in multiple gliomas. Patients with multifocal gliomas were more likely to be male than patients with multicentric gliomas (χ = 6.521, =0.011). The locations of multifocal and multicentric gliomas were significantly different (=0.048). WHO grade was identified as an independent prognostic factor (=0.034) in patients with multicentric gliomas but not in those with multifocal gliomas.

CONCLUSIONS

The demographic characteristics, extent of resection, radiological features, pathological features and prognostic factors differ between patients with multiple gliomas and those with unifocal gliomas. The clinical and radiological features differ between patients with different subtypes of multiple gliomas. Multiple gliomas located only in superficial regions are more likely to be multicentric gliomas and the prognosis is solely related to the WHO grades, providing valuable guidance for clinical treatment.

摘要

背景

本回顾性研究比较了两种类型的胶质瘤以及两种多灶性胶质瘤亚型。

方法

分析了188例单灶性胶质瘤患者和94例多灶性胶质瘤患者(59例为多中心性胶质瘤,35例为多灶性胶质瘤)的临床表现、磁共振成像(MRI)表现、病理特征及临床结局。

结果

与单灶性胶质瘤患者相比,多灶性胶质瘤患者年龄更大(P = 0.001),男性比例更高(χ² = 4.857,P = 0.028)。多灶性胶质瘤患者的手术切除范围较小(χ² = 161.016,P < 0.001),预后较差(χ² = 43.733,P < 0.001)。多灶性胶质瘤更易发生于非浅表部位(χ² = 51.758,P < 0.001),瘤周水肿明显(χ² = 9.688,P = 0.008),强化明显(χ² = 24.547,P < 0.001),世界卫生组织(WHO)分级更高(P = 0.001),异柠檬酸脱氢酶(IDH)突变率更低(χ² = 51.770,P < 0.001),1p19q共缺失率更高(χ² = 8.637,P = 0.003)。肿瘤位置和IDH状态被确定为多灶性胶质瘤的独立危险因素(分别为P < 0.001和P = 0.003)。深部肿瘤位置是多灶性胶质瘤总体生存(OS)不良的唯一相关因素。多中心性胶质瘤患者中男性比例高于多灶性胶质瘤患者(χ² = 6.521,P = 0.011)。多中心性胶质瘤和多灶性胶质瘤的位置有显著差异(P = 0.048)。WHO分级被确定为多中心性胶质瘤患者的独立预后因素(P = 0.034),但在多灶性胶质瘤患者中并非如此。

结论

多灶性胶质瘤患者与单灶性胶质瘤患者在人口统计学特征、切除范围、影像学特征、病理特征及预后因素方面存在差异。不同亚型多灶性胶质瘤患者的临床和影像学特征也有所不同。仅位于浅表区域的多灶性胶质瘤更可能是多中心性胶质瘤,其预后仅与WHO分级相关,为临床治疗提供了有价值的指导。

https://cdn.ncbi.nlm.nih.gov/pmc/blobs/24e0/12149172/be12f8b459c6/fonc-15-1531879-g001.jpg

文献AI研究员

20分钟写一篇综述,助力文献阅读效率提升50倍。

立即体验

用中文搜PubMed

大模型驱动的PubMed中文搜索引擎

马上搜索

文档翻译

学术文献翻译模型,支持多种主流文档格式。

立即体验