Suppr超能文献

通过基于CRISPR的类真核分泌蛋白突变体文库筛选鉴定细胞内存活相关毒力因子

Identification of intracellular survival-related virulence factors via CRISPR-based eukaryotic-like secretory protein mutant library screen.

作者信息

Liu Weiyi, Wang Yingchao, Zhao Jiayuan, Zhang Xinyue, Li Zihui, Jia Hongyan, Zhu Chuanzhi, Zhang Lanyue, Pan Liping, Zhang Zongde

机构信息

Beijing Key Laboratory for Drug Resistance Tuberculosis Research, Beijing Chest Hospital, Capital Medical University, Beijing Tuberculosis and Thoracic Tumor Research Institute, Beijing, China.

出版信息

Microbiol Spectr. 2025 Aug 5;13(8):e0076725. doi: 10.1128/spectrum.00767-25. Epub 2025 Jun 12.

Abstract

UNLABELLED

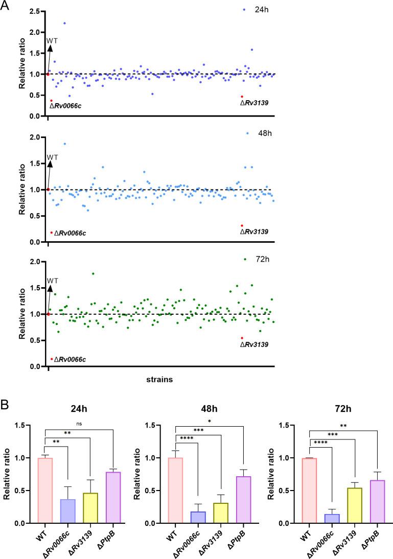
Tuberculosis (TB), caused by (), remains a serious infectious disease posing significant global health challenges. A critical evolutionary feature of is its genome encoding a set of eukaryotic-like secretory proteins, which facilitate intracellular survival by manipulating host immune responses. However, the specific eukaryotic-like secretory proteins that facilitate intracellular survival and their regulatory mechanisms on host immunity remain uncharacterized. In this study, a mutant library comprising 137 potential eukaryotic-like secretory proteins was constructed using clustered regularly interspaced short palindromic repeats (CRISPR)-non-homologous end joining genome editing technology. Subsequently, macrophages were infected with the mutant library, and CRISPR sequencing enabled preliminary identification of virulence factors associated with bacterial intracellular persistence. To validate the screen, two genes ( and ) exhibiting the most pronounced reduction in intracellular survival rates when mutated were selected for the construction of large-fragment knockout strains (Δ and Δ). Subsequent macrophage infection assays reconfirmed the impaired intracellular survival of these two mutants. RNA-seq analysis was conducted to characterize host gene expression profiles during Δ-infected macrophage interactions. RNA-seq analysis of macrophages infected with wild-type and Δ strains identified 138 differentially expressed genes, with 75 upregulated and 63 downregulated in Δ. Gene ontology clustering of these differentially expressed genes highlighted molecular functions related to chemokine binding, chemokine-mediated signaling pathways, Ras protein signal transduction, and calcineurin-mediated signaling. Collectively, this work established a potential eukaryotic-like secretory protein mutant library and identified two novel effectors governing intracellular survival, providing potential new targets for anti-TB drug development.

IMPORTANCE

Eukaryotic-like secretory proteins that subvert host immunity to enable intracellular persistence are a key evolutionary adaptation of (). In this study, we established a mutant library targeting 137 potential eukaryotic-like secretory proteins through clustered regularly interspaced short palindromic repeats (CRISPR)-non-homologous end joining genome editing technology. The library was subjected to macrophage infection assays, and CRISPR sequencing enabled identification of persistence-associated virulence determinants. Validation screens highlighted two genes ( and ) that displayed the most significant intracellular survival defects to generate large-fragment knockout strains (Δ and Δ). Macrophage infection experiments reconfirmed the compromised intracellular viability of both mutants. RNA-seq profiling of Δ-infected macrophages identified 138 differentially expressed genes, with functional enrichment in chemokine signaling, Ras protein signal transduction, and calcineurin-mediated signaling. To conclude, this study identified two novel effectors contributing to intracellular survival as potential new targets for anti-TB drug development.

摘要

未标记

由()引起的结核病(TB)仍然是一种严重的传染病,给全球健康带来重大挑战。()的一个关键进化特征是其基因组编码一组真核样分泌蛋白,这些蛋白通过操纵宿主免疫反应促进细胞内存活。然而,促进()细胞内存活的特定真核样分泌蛋白及其对宿主免疫的调节机制仍未明确。在本研究中,使用成簇规律间隔短回文重复序列(CRISPR)-非同源末端连接基因组编辑技术构建了一个包含137种潜在真核样分泌蛋白的突变体文库。随后,用该突变体文库感染巨噬细胞,CRISPR测序能够初步鉴定与细菌细胞内持久性相关的毒力因子。为了验证筛选结果,选择了两个在突变时细胞内存活率下降最明显的基因(和)来构建大片段敲除菌株(Δ和Δ)。随后的巨噬细胞感染试验再次证实了这两个突变体的细胞内存活受损。进行RNA测序分析以表征在Δ感染的巨噬细胞相互作用期间的宿主基因表达谱。对野生型和Δ菌株感染的巨噬细胞进行RNA测序分析,鉴定出138个差异表达基因,其中75个在Δ中上调,63个下调。这些差异表达基因的基因本体聚类突出了与趋化因子结合、趋化因子介导的信号通路、Ras蛋白信号转导和钙调神经磷酸酶介导的信号相关的分子功能。总的来说,这项工作建立了一个潜在的真核样分泌蛋白突变体文库,并鉴定出两个控制细胞内存活的新型()效应子,为抗结核药物开发提供了潜在的新靶点。

重要性

破坏宿主免疫以实现细胞内持久性的真核样分泌蛋白是()的关键进化适应。在本研究中,我们通过成簇规律间隔短回文重复序列(CRISPR)-非同源末端连接基因组编辑技术建立了一个针对137种潜在真核样分泌蛋白的突变体文库。该文库进行了巨噬细胞感染试验,CRISPR测序能够鉴定与()持久性相关的毒力决定因素。验证筛选突出了两个显示出最显著细胞内存活缺陷的基因(和),以产生大片段敲除菌株(Δ和Δ)。巨噬细胞感染实验再次证实了这两个突变体的细胞内生存能力受损。对Δ感染的巨噬细胞进行RNA测序分析,鉴定出138个差异表达基因,功能富集在趋化因子信号传导、Ras蛋白信号转导和钙调神经磷酸酶介导的信号传导方面。总之,本研究鉴定出两个有助于细胞内存活的新型()效应子,作为抗结核药物开发的潜在新靶点。

https://cdn.ncbi.nlm.nih.gov/pmc/blobs/7ad1/12323669/94e895f6e60e/spectrum.00767-25.f001.jpg

文献AI研究员

20分钟写一篇综述,助力文献阅读效率提升50倍。

立即体验

用中文搜PubMed

大模型驱动的PubMed中文搜索引擎

马上搜索

文档翻译

学术文献翻译模型,支持多种主流文档格式。

立即体验