Suppr超能文献

克服聚氧化苯撑静电纺丝中的低极性限制:用于碳纤维复合材料层间增韧的化学功能化和聚合物杂化

Overcoming Low-Polarity Limitations in Polyphenylene Oxide Electrospinning: Chemical Functionalization and Polymer Hybridization for Interlaminar Toughening of Carbon Fiber Composites.

作者信息

Huang Yuan, Wei Yi, Huang Canyi, Qiu Yiping, Gu Bohong, Yang Bo

机构信息

College of Textiles and Apparel, Quanzhou Normal University, Quanzhou 362000, China.

Key Laboratory of Clothing Materials of Universities in Fujian, Quanzhou Normal University, Quanzhou 362000, China.

出版信息

Polymers (Basel). 2025 May 27;17(11):1480. doi: 10.3390/polym17111480.

Abstract

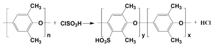
This study investigates the optimization of polyphenylene oxide (PPO) electrospinning for interlaminar toughening in composites, using sulfonation modification and physical blending with polylactic acid (PLA) and polystyrene (PS). Both strategies showed excellent electrospinning performance, significantly reducing fiber diameter (PPO: 12.1 ± 5.8 μm; sulfonated PPO: 524 ± 42 nm; PPO-PLA: 4.73 ± 0.94 μm; PPO-PS: 3.43 ± 0.34 μm). In addition, the PPO-PS fibers were uniform, while PPO-PLA exhibited a mixture of fine and coarse fibers due to phase separation. Interlaminar fracture toughness testing showed that PPO-PS offered the greatest toughening, with and increasing by 223% and 232%, respectively, compared to the values of the untoughened sample, and by 65% and 61.5% compared to those of the PPO sample. of the PPO-PS sample was 196% greater than that of the untoughened sample and 30% higher than that of the PPO sample. Scanning electron microscope (SEM) analysis of fracture morphology revealed that the high-toughness system dissipated energy through fiber bridging, plastic deformation, and multi-scale crack deflection, while the low-toughness samples failed due to interface debonding or cohesive failure. This work demonstrates that PPO-PS veils enhance interlaminar toughness through interface reinforcement and multiple toughening mechanisms, providing an effective approach for high-performance composites.

摘要

本研究通过磺化改性以及与聚乳酸(PLA)和聚苯乙烯(PS)进行物理共混,研究了用于复合材料层间增韧的聚苯醚(PPO)静电纺丝的优化。两种策略均显示出优异的静电纺丝性能,显著降低了纤维直径(PPO:12.1±5.8μm;磺化PPO:524±42nm;PPO - PLA:4.73±0.94μm;PPO - PS:3.43±0.34μm)。此外,PPO - PS纤维均匀,而PPO - PLA由于相分离呈现出细纤维和粗纤维的混合。层间断裂韧性测试表明,PPO - PS提供了最大的增韧效果,与未增韧样品的值相比, 和 分别增加了223%和232%,与PPO样品相比分别增加了65%和61.5%。PPO - PS样品的 比未增韧样品大196%,比PPO样品高30%。断裂形态的扫描电子显微镜(SEM)分析表明,高韧性体系通过纤维桥接、塑性变形和多尺度裂纹偏转来耗散能量,而低韧性样品则由于界面脱粘或内聚破坏而失效。这项工作表明,PPO - PS面纱通过界面增强和多种增韧机制提高了层间韧性,为高性能复合材料提供了一种有效的方法。

https://cdn.ncbi.nlm.nih.gov/pmc/blobs/20ca/12157857/009dc04ec0f8/polymers-17-01480-g001.jpg

文献检索

告别复杂PubMed语法,用中文像聊天一样搜索,搜遍4000万医学文献。AI智能推荐,让科研检索更轻松。

立即免费搜索

文件翻译

保留排版,准确专业,支持PDF/Word/PPT等文件格式,支持 12+语言互译。

免费翻译文档

深度研究

AI帮你快速写综述,25分钟生成高质量综述,智能提取关键信息,辅助科研写作。

立即免费体验