• 文献检索
  • 文档翻译
  • 深度研究
  • 学术资讯
  • Suppr Zotero 插件Zotero 插件
  • 邀请有礼
  • 套餐&价格
  • 历史记录
应用&插件
Suppr Zotero 插件Zotero 插件浏览器插件Mac 客户端Windows 客户端微信小程序
定价
高级版会员购买积分包购买API积分包
服务
文献检索文档翻译深度研究API 文档MCP 服务
关于我们
关于 Suppr公司介绍联系我们用户协议隐私条款
关注我们

Suppr 超能文献

核心技术专利:CN118964589B侵权必究
粤ICP备2023148730 号-1Suppr @ 2026

文献检索

告别复杂PubMed语法,用中文像聊天一样搜索,搜遍4000万医学文献。AI智能推荐,让科研检索更轻松。

立即免费搜索

文件翻译

保留排版,准确专业,支持PDF/Word/PPT等文件格式,支持 12+语言互译。

免费翻译文档

深度研究

AI帮你快速写综述,25分钟生成高质量综述,智能提取关键信息,辅助科研写作。

立即免费体验

人工智能用于减少结肠镜检查中腺瘤和息肉的漏诊:一项系统评价和荟萃分析。

Artificial intelligence for reducing missed detection of adenomas and polyps in colonoscopy: A systematic review and meta-analysis.

作者信息

Wang Sheng-Yu, Gao Jia-Cheng, Wu Shuo-Dong

机构信息

The Second Department of General Surgery, Shengjing Hospital of China Medical University, Shenyang 110004, Liaoning Province, China.

Department of Orthopedic Surgery, The First Hospital of China Medical University, Shenyang 110001, Liaoning Province, China.

出版信息

World J Gastroenterol. 2025 Jun 7;31(21):105753. doi: 10.3748/wjg.v31.i21.105753.

DOI:10.3748/wjg.v31.i21.105753
PMID:40538513
原文链接:https://pmc.ncbi.nlm.nih.gov/articles/PMC12175867/
Abstract

BACKGROUND

Colorectal cancer has a high incidence and mortality rate, and the effectiveness of routine colonoscopy largely depends on the endoscopist's expertise. In recent years, computer-aided detection (CADe) systems have been increasingly integrated into colonoscopy to improve detection accuracy. However, while most studies have focused on adenoma detection rate (ADR) as the primary outcome, the more sensitive adenoma miss rate (AMR) has been less frequently analyzed.

AIM

To evaluate the effectiveness of CADe in colonoscopy and assess the advantages of AMR over ADR.

METHODS

A comprehensive literature search was conducted in PubMed, Embase, and the Cochrane Central Register of Controlled Trials using predefined search strategies to identify relevant studies published up to August 2, 2024. Statistical analyses were performed to compare outcomes between groups, and potential publication bias was assessed using funnel plots. The quality of the included studies was evaluated using the Cochrane Risk of Bias tool and the Grading of Recommendations, Assessment, Development, and Evaluation approach.

RESULTS

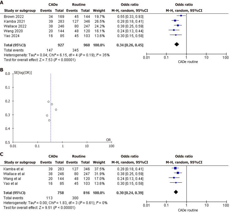
Five studies comprising 1624 patients met the inclusion criteria. AMR was significantly lower in the CADe-assisted group than in the routine colonoscopy group (147/927, 15.9% 345/960, 35.9%; < 0.01). However, CADe did not provide a significant advantage in detecting advanced adenomas or lesions measuring 6-9 mm or ≥ 10 mm. The polyp miss rate (PMR) was also lower in the CADe-assisted group [odds ratio (OR), 0.35; 95% confidence interval (CI): 0.23-0.52; < 0.01]. While the overall ADR did not differ significantly between groups, the ADR during the first-pass examination was higher in the CADe-assisted group (OR, 1.37; 95%CI: 1.10-1.69; = 0.004). The level of evidence for the included randomized controlled trials was graded as moderate.

CONCLUSION

CADe can significantly reduce AMR and PMR while improving ADR during initial detection, demonstrating its potential to enhance colonoscopy performance. These findings highlight the value of CADe in improving the detection of colorectal neoplasms, particularly small and histologically distinct adenomas.

摘要

背景

结直肠癌发病率和死亡率较高,常规结肠镜检查的有效性很大程度上取决于内镜医师的专业水平。近年来,计算机辅助检测(CADe)系统越来越多地被整合到结肠镜检查中以提高检测准确性。然而,虽然大多数研究将腺瘤检出率(ADR)作为主要结局指标,但对更敏感的腺瘤漏诊率(AMR)的分析较少。

目的

评估CADe在结肠镜检查中的有效性,并评估AMR相对于ADR的优势。

方法

在PubMed、Embase和Cochrane对照试验中央注册库中进行全面的文献检索,使用预定义的检索策略识别截至2024年8月2日发表的相关研究。进行统计分析以比较组间结局,并使用漏斗图评估潜在的发表偏倚。使用Cochrane偏倚风险工具和推荐分级、评估、制定与评价方法对纳入研究的质量进行评估。

结果

五项研究共纳入1624例患者,符合纳入标准。CADe辅助组的AMR显著低于常规结肠镜检查组(147/927,15.9% 对345/960,35.9%;P<0.01)。然而,CADe在检测高级别腺瘤或直径6 - 9 mm或≥10 mm的病变方面没有显著优势。CADe辅助组的息肉漏诊率(PMR)也较低[比值比(OR),0.35;95%置信区间(CI):0.23 - 0.52;P<0.01]。虽然两组总体ADR差异无统计学意义,但CADe辅助组首次检查时的ADR较高(OR,1.37;95%CI:1.10 - 1.69;P = 0.004)。纳入的随机对照试验的证据水平被评为中等。

结论

CADe可显著降低AMR和PMR,同时提高初次检测时的ADR,表明其有提高结肠镜检查性能的潜力。这些发现凸显了CADe在改善结直肠肿瘤检测方面的价值,尤其是小的和组织学特征不同的腺瘤。

https://cdn.ncbi.nlm.nih.gov/pmc/blobs/c7a9/12175867/c4fa71f33ec2/wjg-31-21-105753-g009.jpg
https://cdn.ncbi.nlm.nih.gov/pmc/blobs/c7a9/12175867/0f3f201df0f0/wjg-31-21-105753-g001.jpg
https://cdn.ncbi.nlm.nih.gov/pmc/blobs/c7a9/12175867/9c07cf0e27dc/wjg-31-21-105753-g002.jpg
https://cdn.ncbi.nlm.nih.gov/pmc/blobs/c7a9/12175867/6a5ad0281b93/wjg-31-21-105753-g003.jpg
https://cdn.ncbi.nlm.nih.gov/pmc/blobs/c7a9/12175867/cf5d378994d7/wjg-31-21-105753-g004.jpg
https://cdn.ncbi.nlm.nih.gov/pmc/blobs/c7a9/12175867/1f812558e528/wjg-31-21-105753-g005.jpg
https://cdn.ncbi.nlm.nih.gov/pmc/blobs/c7a9/12175867/c2c6df27760f/wjg-31-21-105753-g006.jpg
https://cdn.ncbi.nlm.nih.gov/pmc/blobs/c7a9/12175867/17dab51265f4/wjg-31-21-105753-g007.jpg
https://cdn.ncbi.nlm.nih.gov/pmc/blobs/c7a9/12175867/a1c55d2ed86c/wjg-31-21-105753-g008.jpg
https://cdn.ncbi.nlm.nih.gov/pmc/blobs/c7a9/12175867/c4fa71f33ec2/wjg-31-21-105753-g009.jpg
https://cdn.ncbi.nlm.nih.gov/pmc/blobs/c7a9/12175867/0f3f201df0f0/wjg-31-21-105753-g001.jpg
https://cdn.ncbi.nlm.nih.gov/pmc/blobs/c7a9/12175867/9c07cf0e27dc/wjg-31-21-105753-g002.jpg
https://cdn.ncbi.nlm.nih.gov/pmc/blobs/c7a9/12175867/6a5ad0281b93/wjg-31-21-105753-g003.jpg
https://cdn.ncbi.nlm.nih.gov/pmc/blobs/c7a9/12175867/cf5d378994d7/wjg-31-21-105753-g004.jpg
https://cdn.ncbi.nlm.nih.gov/pmc/blobs/c7a9/12175867/1f812558e528/wjg-31-21-105753-g005.jpg
https://cdn.ncbi.nlm.nih.gov/pmc/blobs/c7a9/12175867/c2c6df27760f/wjg-31-21-105753-g006.jpg
https://cdn.ncbi.nlm.nih.gov/pmc/blobs/c7a9/12175867/17dab51265f4/wjg-31-21-105753-g007.jpg
https://cdn.ncbi.nlm.nih.gov/pmc/blobs/c7a9/12175867/a1c55d2ed86c/wjg-31-21-105753-g008.jpg
https://cdn.ncbi.nlm.nih.gov/pmc/blobs/c7a9/12175867/c4fa71f33ec2/wjg-31-21-105753-g009.jpg

相似文献

1
Artificial intelligence for reducing missed detection of adenomas and polyps in colonoscopy: A systematic review and meta-analysis.人工智能用于减少结肠镜检查中腺瘤和息肉的漏诊:一项系统评价和荟萃分析。
World J Gastroenterol. 2025 Jun 7;31(21):105753. doi: 10.3748/wjg.v31.i21.105753.
2
Real-Time Computer-Aided Detection of Colorectal Neoplasia During Colonoscopy : A Systematic Review and Meta-analysis.实时计算机辅助检测结肠镜检查中的结直肠肿瘤:系统评价和荟萃分析。
Ann Intern Med. 2023 Sep;176(9):1209-1220. doi: 10.7326/M22-3678. Epub 2023 Aug 29.
3
Polyp detection with colonoscopy assisted by the GI Genius artificial intelligence endoscopy module compared with standard colonoscopy in routine colonoscopy practice (COLO-DETECT): a multicentre, open-label, parallel-arm, pragmatic randomised controlled trial.基于 GI Genius 人工智能内镜模块的结肠镜辅助下息肉检测与常规结肠镜检查比较(COLO-DETECT):一项多中心、开放标签、平行臂、实用随机对照试验。
Lancet Gastroenterol Hepatol. 2024 Oct;9(10):911-923. doi: 10.1016/S2468-1253(24)00161-4. Epub 2024 Aug 14.
4
Lack of Effectiveness of Computer Aided Detection for Colorectal Neoplasia: A Systematic Review and Meta-Analysis of Nonrandomized Studies.计算机辅助检测对结直肠肿瘤的有效性缺失:非随机研究的系统评价和荟萃分析。
Clin Gastroenterol Hepatol. 2024 May;22(5):971-980.e15. doi: 10.1016/j.cgh.2023.11.029. Epub 2023 Dec 4.
5
An artificial intelligence-assisted system versus white light endoscopy alone for adenoma detection in individuals with Lynch syndrome (TIMELY): an international, multicentre, randomised controlled trial.人工智能辅助系统与白光内镜单独用于林奇综合征患者腺瘤检测的比较(TIMELY):一项国际、多中心、随机对照试验。
Lancet Gastroenterol Hepatol. 2024 Sep;9(9):802-810. doi: 10.1016/S2468-1253(24)00187-0. Epub 2024 Jul 19.
6
Variability in computer-aided detection effect on adenoma detection rate in randomized controlled trials: A meta-regression analysis.随机对照试验中计算机辅助检测对腺瘤检出率影响的变异性:一项Meta回归分析。
Dig Liver Dis. 2025 Jun;57(6):1141-1148. doi: 10.1016/j.dld.2025.01.192. Epub 2025 Feb 8.
7
Diagnostic Accuracy of Artificial Intelligence and Computer-Aided Diagnosis for the Detection and Characterization of Colorectal Polyps: Systematic Review and Meta-analysis.人工智能和计算机辅助诊断在结直肠息肉检测和特征分析中的诊断准确性:系统评价和荟萃分析。
J Med Internet Res. 2021 Jul 14;23(7):e27370. doi: 10.2196/27370.
8
A comprehensive RCT in screening, surveillance, and diagnostic AI-assisted colonoscopies (ACCENDO-Colo study).一项关于筛查、监测和诊断人工智能辅助结肠镜检查的全面随机对照试验(ACCENDO-Colo研究)。
Dig Liver Dis. 2025 Mar;57(3):762-769. doi: 10.1016/j.dld.2024.12.023. Epub 2025 Jan 14.
9
Risk Factors of Missed Adenoma Detected by Colonoscopic Polypectomy and Its Impact of the Endoscopic System.结肠镜息肉切除术漏诊腺瘤的危险因素及其对内镜系统的影响。
Dig Dis Sci. 2025 Apr;70(4):1503-1510. doi: 10.1007/s10620-025-08937-9. Epub 2025 Feb 24.
10
Guaiac-based faecal occult blood tests versus faecal immunochemical tests for colorectal cancer screening in average-risk individuals.基于愈创木脂的粪便潜血试验与粪便免疫化学试验用于一般风险人群结直肠癌筛查。
Cochrane Database Syst Rev. 2022 Jun 6;6(6):CD009276. doi: 10.1002/14651858.CD009276.pub2.

本文引用的文献

1
AI and Polyp Detection During Colonoscopy.结肠镜检查期间的人工智能与息肉检测
Cancers (Basel). 2025 Feb 26;17(5):797. doi: 10.3390/cancers17050797.
2
Colon Cancer Screening, Surveillance, and Treatment: Novel Artificial Intelligence Driving Strategies in the Management of Colon Lesions.结肠癌筛查、监测与治疗:管理结肠病变的新型人工智能驱动策略
Gastroenterology. 2025 Mar 5. doi: 10.1053/j.gastro.2025.02.021.
3
A colonic polyps detection algorithm based on an improved YOLOv5s.一种基于改进的YOLOv5s的结肠息肉检测算法。
Sci Rep. 2025 Feb 26;15(1):6852. doi: 10.1038/s41598-025-91467-1.
4
Effect of a novel artificial intelligence-based cecum recognition system on adenoma detection metrics in a screening colonoscopy setting.一种新型基于人工智能的盲肠识别系统对筛查结肠镜检查中腺瘤检测指标的影响。
Gastrointest Endosc. 2025 Feb;101(2):452-455. doi: 10.1016/j.gie.2024.09.019. Epub 2024 Sep 18.
5
Artificial intelligence in colonoscopy: from detection to diagnosis.结肠镜检查中的人工智能:从检测到诊断。
Korean J Intern Med. 2024 Jul;39(4):555-562. doi: 10.3904/kjim.2023.332. Epub 2024 May 2.
6
Endocuff With or Without Artificial Intelligence-Assisted Colonoscopy in Detection of Colorectal Adenoma: A Randomized Colonoscopy Trial.内镜黏膜下剥离术治疗结直肠侧向发育型肿瘤的疗效分析
Am J Gastroenterol. 2024 Jul 1;119(7):1318-1325. doi: 10.14309/ajg.0000000000002684. Epub 2024 Feb 2.
7
Artificial intelligence for colorectal neoplasia detection during colonoscopy: a systematic review and meta-analysis of randomized clinical trials.结肠镜检查中用于结直肠肿瘤检测的人工智能:随机临床试验的系统评价和荟萃分析
EClinicalMedicine. 2023 Nov 30;66:102341. doi: 10.1016/j.eclinm.2023.102341. eCollection 2023 Dec.
8
Effect of artificial intelligence on novice-performed colonoscopy: a multicenter randomized controlled tandem study.人工智能对新手进行结肠镜检查的影响:一项多中心随机对照串联研究。
Gastrointest Endosc. 2024 Jan;99(1):91-99.e9. doi: 10.1016/j.gie.2023.07.044. Epub 2023 Aug 1.
9
Impact of an artificial intelligence-aided endoscopic diagnosis system on improving endoscopy quality for trainees in colonoscopy: Prospective, randomized, multicenter study.人工智能辅助内镜诊断系统对提高结肠镜检查中受训者内镜质量的影响:前瞻性、随机、多中心研究。
Dig Endosc. 2024 Jan;36(1):40-48. doi: 10.1111/den.14573. Epub 2023 May 29.
10
Effectiveness of artificial intelligence-assisted colonoscopy in early diagnosis of colorectal cancer: a systematic review.人工智能辅助结肠镜检查在结直肠癌早期诊断中的有效性:系统评价。
Int J Surg. 2023 Apr 1;109(4):946-952. doi: 10.1097/JS9.0000000000000285.