• 文献检索
  • 文档翻译
  • 深度研究
  • 学术资讯
  • Suppr Zotero 插件Zotero 插件
  • 邀请有礼
  • 套餐&价格
  • 历史记录
应用&插件
Suppr Zotero 插件Zotero 插件浏览器插件Mac 客户端Windows 客户端微信小程序
定价
高级版会员购买积分包购买API积分包
服务
文献检索文档翻译深度研究API 文档MCP 服务
关于我们
关于 Suppr公司介绍联系我们用户协议隐私条款
关注我们

Suppr 超能文献

核心技术专利:CN118964589B侵权必究
粤ICP备2023148730 号-1Suppr @ 2026

文献检索

告别复杂PubMed语法,用中文像聊天一样搜索,搜遍4000万医学文献。AI智能推荐,让科研检索更轻松。

立即免费搜索

文件翻译

保留排版,准确专业,支持PDF/Word/PPT等文件格式,支持 12+语言互译。

免费翻译文档

深度研究

AI帮你快速写综述,25分钟生成高质量综述,智能提取关键信息,辅助科研写作。

立即免费体验

循环中的前列腺素酶是特发性肺纤维化患者死亡风险的独立标志物。

Circulating prostasin is an independent marker of mortality risk in patients with idiopathic pulmonary fibrosis.

作者信息

Todd Jamie L, Page Courtney, Wu Peitao, Belperio John A, Maher Toby M, Palmer Scott M, Leonard Thomas B, Hesslinger Christian, Neely Megan L, Schlange Thomas

机构信息

Duke Clinical Research Institute, Durham, NC, USA.

Duke University Medical Center, Durham, NC, USA.

出版信息

ERJ Open Res. 2025 Jun 23;11(3). doi: 10.1183/23120541.00738-2024. eCollection 2025 May.

DOI:10.1183/23120541.00738-2024
PMID:40551789
原文链接:https://pmc.ncbi.nlm.nih.gov/articles/PMC12183712/
Abstract

BACKGROUND

Prostasin is expressed in the lung epithelium where it regulates fluid and electrolyte balance sodium channel proteolysis. We investigated whether circulating prostasin levels are associated with the presence and severity of idiopathic pulmonary fibrosis (IPF) and whether prostasin levels, or changes in them, are associated with mortality.

METHODS

Patients with IPF came from the IPF-PRO Registry. Controls without lung disease had a similar age/sex distribution. Prostasin was quantified in plasma taken at enrolment and, in the IPF cohort, ∼6 months post-enrolment, by immunoassay. Linear regression was used to compare prostasin levels at enrolment in patients with IPF controls and, in the IPF cohort, determine associations between prostasin level and lung function. Multivariable Cox proportional hazards models determined associations between prostasin level at enrolment and change in prostasin level over 6 months and respiratory death.

RESULTS

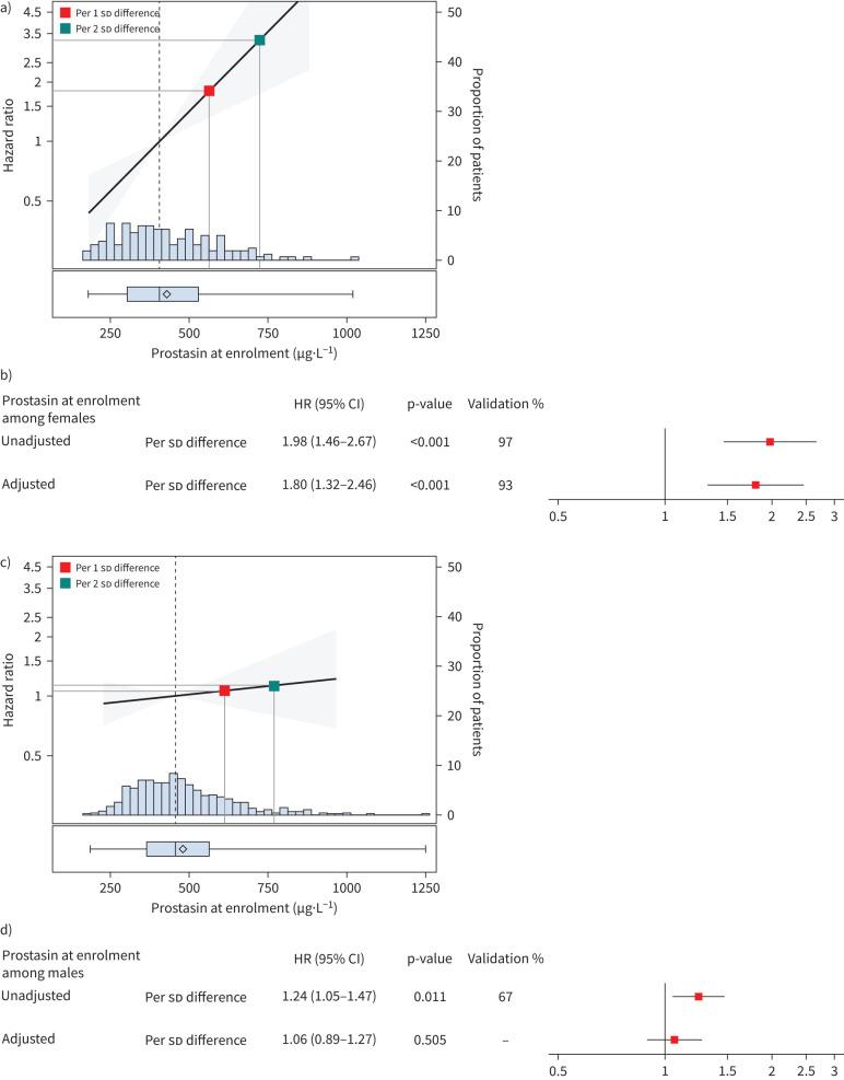
Prostasin level at enrolment was higher in patients with IPF (n=624) controls (n=100) (fold-difference 1.75; p<0.001). In the IPF cohort, the difference in disease severity per 1 standard deviation (sd) difference in prostasin was -3.85 for forced vital capacity % predicted and -4.24 for diffusing capacity of the lung for carbon monoxide % predicted (both p<0.001). The adjusted hazard ratio (HR) for respiratory death per 1 sd difference in prostasin at enrolment was 1.20 (95% CI 1.04-1.40, p=0.014, n=624). The adjusted HR for subsequent respiratory death per 1 sd difference in change in prostasin over 6 months was 1.33 (95% CI 1.01-1.74, p=0.041, n=290).

CONCLUSIONS

Circulating prostasin is an independent marker of mortality risk in patients with IPF.

摘要

背景

前列腺素酶在肺上皮细胞中表达,在那里它调节液体和电解质平衡以及钠通道蛋白水解。我们研究了循环前列腺素酶水平是否与特发性肺纤维化(IPF)的存在和严重程度相关,以及前列腺素酶水平或其变化是否与死亡率相关。

方法

IPF患者来自IPF-PRO注册研究。无肺部疾病的对照组年龄/性别分布相似。通过免疫测定法对入组时采集的血浆以及IPF队列中入组后约6个月的血浆中的前列腺素酶进行定量。使用线性回归比较IPF患者与对照组入组时的前列腺素酶水平,并在IPF队列中确定前列腺素酶水平与肺功能之间的关联。多变量Cox比例风险模型确定入组时的前列腺素酶水平以及6个月内前列腺素酶水平的变化与呼吸死亡之间的关联。

结果

IPF患者(n = 624)入组时的前列腺素酶水平高于对照组(n = 100)(倍数差异1.75;p < 0.001)。在IPF队列中,前列腺素酶每1个标准差(sd)差异导致的疾病严重程度差异,对于预测的用力肺活量百分比为-3.85,对于预测的一氧化碳肺弥散量百分比为-4.24(均p < 0.001)。入组时前列腺素酶每1个标准差差异导致的呼吸死亡调整风险比(HR)为1.20(95% CI 1.04 - 1.40,p = 0.014,n = 624)。6个月内前列腺素酶变化每1个标准差差异导致的后续呼吸死亡调整HR为1.33(95% CI 1.01 - 1.74,p = 0.041,n = 290)。

结论

循环前列腺素酶是IPF患者死亡风险的独立标志物。

https://cdn.ncbi.nlm.nih.gov/pmc/blobs/5472/12183712/4c9508892ee5/00738-2024.08.jpg
https://cdn.ncbi.nlm.nih.gov/pmc/blobs/5472/12183712/57b2610308cb/00738-2024.01.jpg
https://cdn.ncbi.nlm.nih.gov/pmc/blobs/5472/12183712/21c3d0b53147/00738-2024.02.jpg
https://cdn.ncbi.nlm.nih.gov/pmc/blobs/5472/12183712/2d00a3d6a970/00738-2024.03.jpg
https://cdn.ncbi.nlm.nih.gov/pmc/blobs/5472/12183712/be8b8b639406/00738-2024.04.jpg
https://cdn.ncbi.nlm.nih.gov/pmc/blobs/5472/12183712/18107452dfa3/00738-2024.05.jpg
https://cdn.ncbi.nlm.nih.gov/pmc/blobs/5472/12183712/0b79c180c9fd/00738-2024.06.jpg
https://cdn.ncbi.nlm.nih.gov/pmc/blobs/5472/12183712/10a0eb7ed8dd/00738-2024.07.jpg
https://cdn.ncbi.nlm.nih.gov/pmc/blobs/5472/12183712/4c9508892ee5/00738-2024.08.jpg
https://cdn.ncbi.nlm.nih.gov/pmc/blobs/5472/12183712/57b2610308cb/00738-2024.01.jpg
https://cdn.ncbi.nlm.nih.gov/pmc/blobs/5472/12183712/21c3d0b53147/00738-2024.02.jpg
https://cdn.ncbi.nlm.nih.gov/pmc/blobs/5472/12183712/2d00a3d6a970/00738-2024.03.jpg
https://cdn.ncbi.nlm.nih.gov/pmc/blobs/5472/12183712/be8b8b639406/00738-2024.04.jpg
https://cdn.ncbi.nlm.nih.gov/pmc/blobs/5472/12183712/18107452dfa3/00738-2024.05.jpg
https://cdn.ncbi.nlm.nih.gov/pmc/blobs/5472/12183712/0b79c180c9fd/00738-2024.06.jpg
https://cdn.ncbi.nlm.nih.gov/pmc/blobs/5472/12183712/10a0eb7ed8dd/00738-2024.07.jpg
https://cdn.ncbi.nlm.nih.gov/pmc/blobs/5472/12183712/4c9508892ee5/00738-2024.08.jpg

相似文献

1
Circulating prostasin is an independent marker of mortality risk in patients with idiopathic pulmonary fibrosis.循环中的前列腺素酶是特发性肺纤维化患者死亡风险的独立标志物。
ERJ Open Res. 2025 Jun 23;11(3). doi: 10.1183/23120541.00738-2024. eCollection 2025 May.
2
Long-Term Air Pollution Exposure and Severity of Idiopathic Pulmonary Fibrosis: Data from the Idiopathic Pulmonary Fibrosis Prospective Outcomes (IPF-PRO) Registry.长期暴露于空气污染与特发性肺纤维化的严重程度:来自特发性肺纤维化前瞻性结局(IPF-PRO)注册研究的数据。
Ann Am Thorac Soc. 2025 Mar;22(3):378-386. doi: 10.1513/AnnalsATS.202404-382OC.
3
Pulmonary rehabilitation for interstitial lung disease.间质性肺疾病的肺康复治疗。
Cochrane Database Syst Rev. 2021 Feb 1;2(2):CD006322. doi: 10.1002/14651858.CD006322.pub4.
4
Jinbei oral liquid for idiopathic pulmonary fibrosis: a randomized placebo-controlled trial.金贝口服液治疗特发性肺纤维化:一项随机安慰剂对照试验
Sci Rep. 2025 Jan 23;15(1):3007. doi: 10.1038/s41598-025-87474-x.
5
Systematic Review and Network Meta-analysis of Idiopathic Pulmonary Fibrosis Treatments.特发性肺纤维化治疗的系统评价和网络荟萃分析。
J Manag Care Spec Pharm. 2017 Mar;23(3-b Suppl):S5-S16. doi: 10.18553/jmcp.2017.23.3-b.s5.
6
Cyclophosphamide for connective tissue disease-associated interstitial lung disease.环磷酰胺用于治疗结缔组织病相关的间质性肺疾病。
Cochrane Database Syst Rev. 2018 Jan 3;1(1):CD010908. doi: 10.1002/14651858.CD010908.pub2.
7
Intravenous antibiotics for pulmonary exacerbations in people with cystic fibrosis.用于囊性纤维化患者肺部加重期的静脉用抗生素
Cochrane Database Syst Rev. 2025 Jan 20;1(1):CD009730. doi: 10.1002/14651858.CD009730.pub3.
8
Chronic non-invasive ventilation for chronic obstructive pulmonary disease.慢性阻塞性肺疾病的慢性无创通气。
Cochrane Database Syst Rev. 2021 Aug 9;8(8):CD002878. doi: 10.1002/14651858.CD002878.pub3.
9
Basement membrane repair response biomarker PRO-C4 predicts progression in idiopathic pulmonary fibrosis: analysis of the PFBIO and PROFILE cohorts.基底膜修复反应生物标志物PRO-C4可预测特发性肺纤维化的病情进展:PFBIO和PROFILE队列分析
Thorax. 2025 Jun 19. doi: 10.1136/thorax-2024-221868.
10
Interventions for the eradication of meticillin-resistant Staphylococcus aureus (MRSA) in people with cystic fibrosis.针对囊性纤维化患者中耐甲氧西林金黄色葡萄球菌(MRSA)的清除干预措施。
Cochrane Database Syst Rev. 2022 Dec 13;12(12):CD009650. doi: 10.1002/14651858.CD009650.pub5.

本文引用的文献

1
Circulating biomarker analyses in a longitudinal cohort of patients with IPF.特发性肺纤维化患者纵向队列的循环生物标志物分析。
Am J Physiol Lung Cell Mol Physiol. 2024 Mar 1;326(3):L303-L312. doi: 10.1152/ajplung.00222.2023. Epub 2024 Jan 16.
2
Proteomic Biomarkers of Survival in Idiopathic Pulmonary Fibrosis.特发性肺纤维化生存的蛋白质组学生物标志物。
Am J Respir Crit Care Med. 2024 May 1;209(9):1111-1120. doi: 10.1164/rccm.202301-0117OC.
3
Baseline serum Krebs von den Lungen-6 as a biomarker for the disease progression in idiopathic pulmonary fibrosis.
血清 Krebs von den Lungen-6 作为特发性肺纤维化疾病进展的生物标志物。
Sci Rep. 2022 May 20;12(1):8564. doi: 10.1038/s41598-022-12399-8.
4
Idiopathic Pulmonary Fibrosis (an Update) and Progressive Pulmonary Fibrosis in Adults: An Official ATS/ERS/JRS/ALAT Clinical Practice Guideline.特发性肺纤维化(更新版)和成人进展性肺纤维化:美国胸科学会/欧洲呼吸学会/日本呼吸学会/拉丁美洲胸科学会临床实践指南。
Am J Respir Crit Care Med. 2022 May 1;205(9):e18-e47. doi: 10.1164/rccm.202202-0399ST.
5
CYFRA 21-1 Predicts Progression in Idiopathic Pulmonary Fibrosis: A Prospective Longitudinal Analysis of the PROFILE Cohort.细胞角蛋白 19 片段 21-1 预测特发性肺纤维化进展:PROFILE 队列的前瞻性纵向分析。
Am J Respir Crit Care Med. 2022 Jun 15;205(12):1440-1448. doi: 10.1164/rccm.202107-1769OC.
6
Emerging Roles of Airway Epithelial Cells in Idiopathic Pulmonary Fibrosis.气道上皮细胞在特发性肺纤维化中的新作用。
Cells. 2022 Mar 19;11(6):1050. doi: 10.3390/cells11061050.
7
Proteomic biomarkers of progressive fibrosing interstitial lung disease: a multicentre cohort analysis.进行性纤维化间质性肺病的蛋白质组学生物标志物:一项多中心队列分析。
Lancet Respir Med. 2022 Jun;10(6):593-602. doi: 10.1016/S2213-2600(21)00503-8. Epub 2022 Jan 18.
8
New Perspectives on the Aberrant Alveolar Repair of Idiopathic Pulmonary Fibrosis.特发性肺纤维化异常肺泡修复的新视角
Front Cell Dev Biol. 2020 Sep 30;8:580026. doi: 10.3389/fcell.2020.580026. eCollection 2020.
9
Circulating Plasma Biomarkers of Survival in Antifibrotic-Treated Patients With Idiopathic Pulmonary Fibrosis.抗纤维化治疗的特发性肺纤维化患者的循环血浆生存标志物。
Chest. 2020 Oct;158(4):1526-1534. doi: 10.1016/j.chest.2020.04.066. Epub 2020 May 22.
10
Sputum trypsin-like protease activity relates to clinical outcome in cystic fibrosis.痰液胰蛋白酶样蛋白酶活性与囊性纤维化的临床结局相关。
J Cyst Fibros. 2020 Jul;19(4):647-653. doi: 10.1016/j.jcf.2019.12.014. Epub 2020 Jan 11.