• 文献检索
  • 文档翻译
  • 深度研究
  • 学术资讯
  • Suppr Zotero 插件Zotero 插件
  • 邀请有礼
  • 套餐&价格
  • 历史记录
应用&插件
Suppr Zotero 插件Zotero 插件浏览器插件Mac 客户端Windows 客户端微信小程序
定价
高级版会员购买积分包购买API积分包
服务
文献检索文档翻译深度研究API 文档MCP 服务
关于我们
关于 Suppr公司介绍联系我们用户协议隐私条款
关注我们

Suppr 超能文献

核心技术专利:CN118964589B侵权必究
粤ICP备2023148730 号-1Suppr @ 2026

文献检索

告别复杂PubMed语法,用中文像聊天一样搜索,搜遍4000万医学文献。AI智能推荐,让科研检索更轻松。

立即免费搜索

文件翻译

保留排版,准确专业,支持PDF/Word/PPT等文件格式,支持 12+语言互译。

免费翻译文档

深度研究

AI帮你快速写综述,25分钟生成高质量综述,智能提取关键信息,辅助科研写作。

立即免费体验

老年社区居住成年人中蛋白尿与间质性肺异常的关联受年龄因素干扰。

Associations of albuminuria with interstitial lung abnormalities in older community-dwelling adults confounded by age.

作者信息

Husain-Syed Faeq, Mallawaarachchi Indika V, Axelsson Gísli Thor, Ma Jennie Z, Debban Catherine L, Hoffman Eric A, McGroder Claire, Anderson Michaela R, Raghu Ganesh, Kawut Steven M, Podolanczuk Anna J, Manichaikul Ani, Rich Stephen S, Hunninghake Gary Matthew, Hatabu Hiroto, Hida Tomoyuki, Launer Lenore J, Scialla Julia J, Guðnason Vilmundur, Guðmundsson Gunnar, Garcia Christine Kim, Oelsner Elizabeth C, Barr R Graham, Kim John S

机构信息

Department of Medicine, University of Virginia School of Medicine, Charlottesville, VA, USA.

Department of Internal Medicine II, University Hospital Giessen and Marburg, Justus-Liebig-University Giessen, Giessen, Germany.

出版信息

ERJ Open Res. 2025 Jun 23;11(3). doi: 10.1183/23120541.01221-2024. eCollection 2025 May.

DOI:
10.1183/23120541.01221-2024
PMID:40551804
原文链接:https://pmc.ncbi.nlm.nih.gov/articles/PMC12183733/
Abstract

BACKGROUND

Pulmonary microvascular dysfunction has been suggested to be an early feature of interstitial lung changes, which may precede interstitial lung disease. The prospective association of albuminuria, a marker of endothelial dysfunction, with interstitial lung abnormalities (ILA) and high-attenuation areas (HAA) remains unexplored.

METHODS

The study included participants with available spot urinary albumin-creatinine ratio (UACR) and computed tomography data for ILA and HAA enrolled in two independent cohorts, Multi-Ethnic Study of Atherosclerosis (MESA; n=2248) and Age Gene/Environment Susceptibility (AGES)-Reykjavik (n=3509). HAA were defined as the percentage of imaged lungs with attenuation between -600 and -250 HU (MESA only). Regression modelling was performed to assess the associations of UACR with ILA and HAA, adjusted for anthropometric and demographic variables and kidney function. Cox proportional-hazard models were used to examine whether ILA modified the association between albuminuria and all-cause mortality.

RESULTS

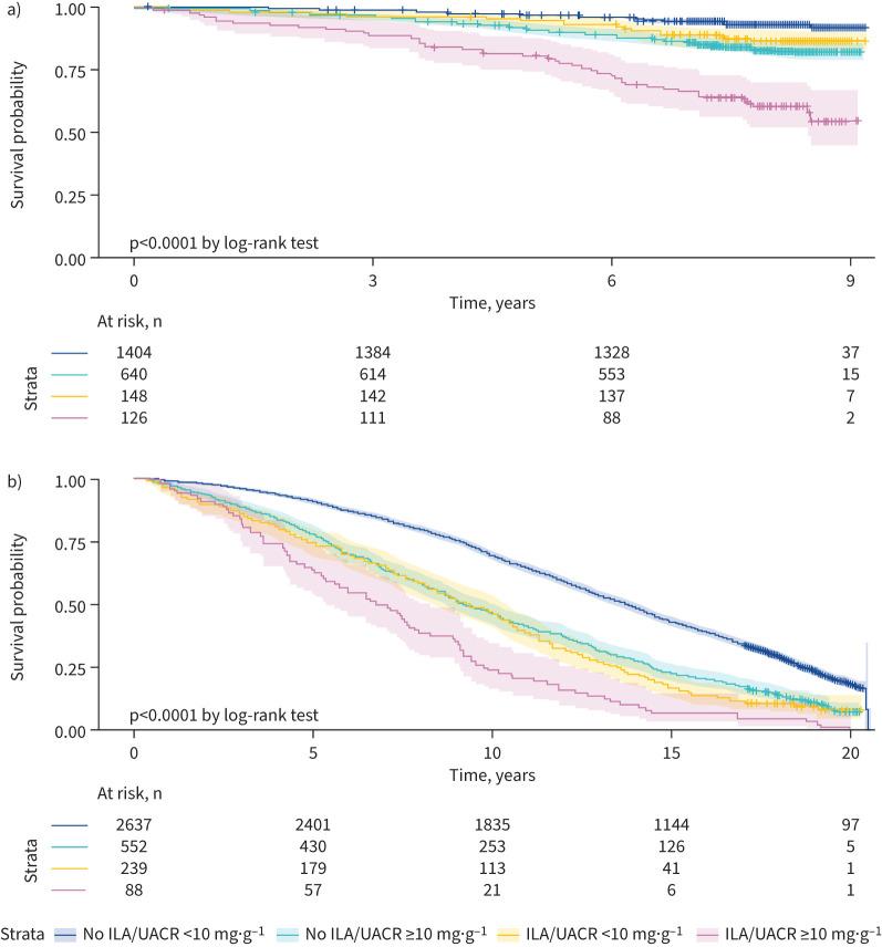
Log-transformed UACR was significantly associated with ILA, with an OR 1.21 (95% CI 1.12-1.30) in MESA and OR 1.13 (95% CI 1.06-1.21) in AGES-Reykjavik. In multivariable-adjusted models incorporating age, albuminuria was no longer associated with ILA, nor with ILA progression in AGES-Reykjavik. In MESA, higher levels of albuminuria were associated with greater HAA (mean increase of 1.01% per 1-unit increment in log-transformed UACR, 95% CI 1.01-1.02%), even after adjusting for covariates including age. Albuminuria was more strongly associated with death among those with ILA in MESA, but not in AGES-Reykjavik.

CONCLUSIONS

Albuminuria was not associated with ILA after accounting for chronological age. Our findings suggest that there may be a common systemic pathology of ageing that underlies albuminuria and interstitial lung changes.

摘要

背景

肺微血管功能障碍被认为是间质性肺改变的早期特征,可能先于间质性肺病出现。内皮功能障碍标志物蛋白尿与间质性肺异常(ILA)和高衰减区(HAA)之间的前瞻性关联尚待探索。

方法

该研究纳入了两个独立队列——动脉粥样硬化多族裔研究(MESA;n = 2248)和年龄基因/环境易感性(AGES)-雷克雅未克研究(n = 3509)中可获取即时尿白蛋白肌酐比值(UACR)以及ILA和HAA的计算机断层扫描数据的参与者。HAA定义为影像中衰减值在-600至-250 HU之间的肺组织百分比(仅适用于MESA)。进行回归建模以评估UACR与ILA和HAA之间的关联,并对人体测量和人口统计学变量以及肾功能进行了调整。采用Cox比例风险模型来检验ILA是否改变了蛋白尿与全因死亡率之间的关联。

结果

对数转换后的UACR与ILA显著相关,在MESA中比值比(OR)为1.21(95%置信区间[CI] 1.12 - 1.30),在AGES-雷克雅未克中OR为1.13(95% CI 1.06 - 1.21)。在纳入年龄的多变量调整模型中,蛋白尿在AGES-雷克雅未克中不再与ILA相关,也与ILA进展无关。在MESA中,即使在调整包括年龄在内的协变量后,较高水平的蛋白尿仍与更大的HAA相关(对数转换后的UACR每增加1个单位,平均增加1.01%,95% CI 1.01 - 1.02%)。在MESA中,ILA患者中蛋白尿与死亡的关联更强,但在AGES-雷克雅未克中并非如此。

结论

在考虑年龄因素后,蛋白尿与ILA无关。我们的研究结果表明,可能存在一种共同的衰老系统性病理机制,它是蛋白尿和间质性肺改变的基础。

https://cdn.ncbi.nlm.nih.gov/pmc/blobs/eb22/12183733/cb50dd30dceb/01221-2024.02.jpg
https://cdn.ncbi.nlm.nih.gov/pmc/blobs/eb22/12183733/e229cf701f75/01221-2024.01.jpg
https://cdn.ncbi.nlm.nih.gov/pmc/blobs/eb22/12183733/cb50dd30dceb/01221-2024.02.jpg
https://cdn.ncbi.nlm.nih.gov/pmc/blobs/eb22/12183733/e229cf701f75/01221-2024.01.jpg
https://cdn.ncbi.nlm.nih.gov/pmc/blobs/eb22/12183733/cb50dd30dceb/01221-2024.02.jpg

相似文献

1
Associations of albuminuria with interstitial lung abnormalities in older community-dwelling adults confounded by age.老年社区居住成年人中蛋白尿与间质性肺异常的关联受年龄因素干扰。
ERJ Open Res. 2025 Jun 23;11(3). doi: 10.1183/23120541.01221-2024. eCollection 2025 May.
2
Systematic review on urine albumin testing for early detection of diabetic complications.关于尿白蛋白检测用于早期发现糖尿病并发症的系统评价。
Health Technol Assess. 2005 Aug;9(30):iii-vi, xiii-163. doi: 10.3310/hta9300.
3
Comparison of cellulose, modified cellulose and synthetic membranes in the haemodialysis of patients with end-stage renal disease.纤维素、改性纤维素和合成膜在终末期肾病患者血液透析中的比较。
Cochrane Database Syst Rev. 2001(3):CD003234. doi: 10.1002/14651858.CD003234.
4
Systemic treatments for metastatic cutaneous melanoma.转移性皮肤黑色素瘤的全身治疗
Cochrane Database Syst Rev. 2018 Feb 6;2(2):CD011123. doi: 10.1002/14651858.CD011123.pub2.
5
Sertindole for schizophrenia.用于治疗精神分裂症的舍吲哚。
Cochrane Database Syst Rev. 2005 Jul 20;2005(3):CD001715. doi: 10.1002/14651858.CD001715.pub2.
6
The effectiveness and cost-effectiveness of carmustine implants and temozolomide for the treatment of newly diagnosed high-grade glioma: a systematic review and economic evaluation.卡莫司汀植入剂与替莫唑胺治疗新诊断的高级别胶质瘤的有效性和成本效益:一项系统评价与经济学评估
Health Technol Assess. 2007 Nov;11(45):iii-iv, ix-221. doi: 10.3310/hta11450.
7
Home treatment for mental health problems: a systematic review.心理健康问题的居家治疗:一项系统综述
Health Technol Assess. 2001;5(15):1-139. doi: 10.3310/hta5150.
8
Impact of residual disease as a prognostic factor for survival in women with advanced epithelial ovarian cancer after primary surgery.原发性手术后晚期上皮性卵巢癌患者残留病灶对生存预后的影响。
Cochrane Database Syst Rev. 2022 Sep 26;9(9):CD015048. doi: 10.1002/14651858.CD015048.pub2.
9
Development and Progression of Interstitial Lung Abnormalities in the Framingham Heart Study.弗雷明汉心脏研究中间质性肺异常的发展与进展
Am J Respir Crit Care Med. 2016 Dec 15;194(12):1514-1522. doi: 10.1164/rccm.201512-2523OC.
10
Systemic pharmacological treatments for chronic plaque psoriasis: a network meta-analysis.慢性斑块状银屑病的全身药理学治疗:一项网状荟萃分析。
Cochrane Database Syst Rev. 2017 Dec 22;12(12):CD011535. doi: 10.1002/14651858.CD011535.pub2.

本文引用的文献

1
Genomic and Serological Rheumatoid Arthritis Biomarkers, Promoter Variant, and Interstitial Lung Abnormalities.基因组和血清学类风湿性关节炎生物标志物、启动子变异与间质性肺异常。
Ann Am Thorac Soc. 2024 Oct 15;22(1):64-71. doi: 10.1513/AnnalsATS.202403-238OC.
2
A Polygenic Risk Score for Idiopathic Pulmonary Fibrosis and Interstitial Lung Abnormalities.特发性肺纤维化和间质性肺异常的多基因风险评分。
Am J Respir Crit Care Med. 2023 Oct 1;208(7):791-801. doi: 10.1164/rccm.202212-2257OC.
3
Elevated markers of DNA damage and senescence are associated with the progression of albuminuria and restrictive lung disease in patients with type 2 diabetes.
高水平的 DNA 损伤和衰老标志物与 2 型糖尿病患者白蛋白尿和限制性肺病的进展有关。
EBioMedicine. 2023 Apr;90:104516. doi: 10.1016/j.ebiom.2023.104516. Epub 2023 Mar 17.
4
, telomere length and longitudinal quantitative interstitial lung changes: the MESA Lung Study.端粒长度与纵向定量间质肺改变:MESA 肺研究。
Thorax. 2023 Jun;78(6):566-573. doi: 10.1136/thorax-2021-218139. Epub 2022 Aug 5.
5
The relationship between interstitial lung abnormalities, mortality, and multimorbidity: a cohort study.间质性肺异常、死亡率和多种疾病之间的关系:一项队列研究。
Thorax. 2023 Jun;78(6):559-565. doi: 10.1136/thoraxjnl-2021-218315. Epub 2022 Jul 1.
6
Interstitial lung abnormalities are associated with decreased mean telomere length.肺间质异常与端粒平均长度缩短有关。
Eur Respir J. 2022 Aug 25;60(2). doi: 10.1183/13993003.01814-2021. Print 2022 Aug.
7
Associations of Monocyte Count and Other Immune Cell Types with Interstitial Lung Abnormalities.单核细胞计数和其他免疫细胞类型与间质性肺异常的相关性。
Am J Respir Crit Care Med. 2022 Apr 1;205(7):795-805. doi: 10.1164/rccm.202108-1967OC.
8
Clusters of comorbidities in idiopathic pulmonary fibrosis.特发性肺纤维化中的合并症群。
Respir Med. 2021 Aug-Sep;185:106490. doi: 10.1016/j.rmed.2021.106490. Epub 2021 Jun 1.
9
Associations of D-Dimer with Computed Tomographic Lung Abnormalities, Serum Biomarkers of Lung Injury, and Forced Vital Capacity: MESA Lung Study.D-二聚体与计算机断层扫描肺部异常、血清肺损伤生物标志物和用力肺活量的相关性:MESA 肺部研究。
Ann Am Thorac Soc. 2021 Nov;18(11):1839-1848. doi: 10.1513/AnnalsATS.202012-1557OC.
10
The Association of Aging Biomarkers, Interstitial Lung Abnormalities, and Mortality.衰老生物标志物、间质性肺异常与死亡率的关联
Am J Respir Crit Care Med. 2021 May 1;203(9):1149-1157. doi: 10.1164/rccm.202007-2993OC.