• 文献检索
  • 文档翻译
  • 深度研究
  • 学术资讯
  • Suppr Zotero 插件Zotero 插件
  • 邀请有礼
  • 套餐&价格
  • 历史记录
应用&插件
Suppr Zotero 插件Zotero 插件浏览器插件Mac 客户端Windows 客户端微信小程序
定价
高级版会员购买积分包购买API积分包
服务
文献检索文档翻译深度研究API 文档MCP 服务
关于我们
关于 Suppr公司介绍联系我们用户协议隐私条款
关注我们

Suppr 超能文献

核心技术专利:CN118964589B侵权必究
粤ICP备2023148730 号-1Suppr @ 2026

文献检索

告别复杂PubMed语法,用中文像聊天一样搜索,搜遍4000万医学文献。AI智能推荐,让科研检索更轻松。

立即免费搜索

文件翻译

保留排版,准确专业,支持PDF/Word/PPT等文件格式,支持 12+语言互译。

免费翻译文档

深度研究

AI帮你快速写综述,25分钟生成高质量综述,智能提取关键信息,辅助科研写作。

立即免费体验

与成人皮质下脑容量相关的常见基因变异也与出生时的皮质下脑容量有关。

Common genetic variation associated with adult subcortical brain volume is also associated with subcortical brain volume at birth.

作者信息

Cullen Harriet, Dimitrakopoulou Konstantina, Patel Hamel, Curtis Charles, Batalle Dafnis, Gale-Grant Oliver, Cordero-Grande Lucilio, Price Anthony, Hajnal Joseph V, Edwards A David

机构信息

School of Biomedical Engineering and Imaging Sciences, Centre for the Developing Brain, King's College London, London, United Kingdom.

Department of Medical and Molecular Genetics, School of Basic and Medical Biosciences, King's College London, London, United Kingdom.

出版信息

Front Neurosci. 2025 Jun 10;19:1546845. doi: 10.3389/fnins.2025.1546845. eCollection 2025.

DOI:10.3389/fnins.2025.1546845
PMID:40556868
原文链接:https://pmc.ncbi.nlm.nih.gov/articles/PMC12185412/
Abstract

INTRODUCTION

Recent genome-wide association studies have identified numerous single nucleotide polymorphisms (SNPs) associated with subcortical brain volumes. These studies have been undertaken in largely adult cohorts. In this work we explore the role of common genetic variability in fetal and perinatal brain development. We investigate how genetic variation, known to be associated with adult subcortical brain volume, affects the infant subcortical brain.

METHODS

We examine the influence of specific genetic loci and genome-wide polygenic scores on development of the fetal brain. Using a cohort of 208 term-born infants from the Developing Human Connectome Project, we ask whether eight SNPs, previously associated with adult subcortical brain volumes, show similar associations at birth. In addition, we compute genome-wide polygenic scores for the amygdala, brainstem, caudate, hippocampus, pallidum, putamen and thalamus and ask whether these scores are associated with the corresponding neonatal brain volumes.

RESULTS

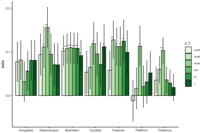
We find that the association between SNP rs945270 and putamen volume, seen in adults, is present at birth ( = 3.67 × 10, β = 0.13, SE = 0.04). We also show that neonatal hippocampal, brainstem, putamen and thalamic volumes are all significantly associated with the genome-wide polygenic scores for their corresponding adult subcortical brain volume.

CONCLUSIONS

Our results suggest that common genetic variation, important in shaping adult subcortical brain volume, also plays a significant role in fetal and perinatal brain development.

摘要

引言

最近的全基因组关联研究已经确定了许多与皮质下脑容量相关的单核苷酸多态性(SNP)。这些研究主要是在成年人群体中进行的。在这项工作中,我们探讨了常见基因变异在胎儿和围产期脑发育中的作用。我们研究了已知与成人大脑皮质下体积相关的基因变异如何影响婴儿的大脑皮质下结构。

方法

我们研究了特定基因位点和全基因组多基因评分对胎儿脑发育的影响。利用来自人类连接组计划的208名足月出生婴儿的队列,我们询问先前与成人大脑皮质下体积相关的8个SNP在出生时是否显示出类似的关联。此外,我们计算了杏仁核、脑干、尾状核、海马体、苍白球、壳核和丘脑的全基因组多基因评分,并询问这些评分是否与相应的新生儿脑容量相关。

结果

我们发现,在成年人中观察到的SNP rs945270与壳核体积之间的关联在出生时就存在(P = 3.67×10⁻³,β = 0.13,SE = 0.04)。我们还表明,新生儿海马体、脑干、壳核和丘脑的体积都与它们相应的成人大脑皮质下体积的全基因组多基因评分显著相关。

结论

我们的结果表明,在塑造成人大脑皮质下体积方面起重要作用的常见基因变异,在胎儿和围产期脑发育中也起着重要作用。

https://cdn.ncbi.nlm.nih.gov/pmc/blobs/16c0/12185412/5451d3b6893e/fnins-19-1546845-g0001.jpg
https://cdn.ncbi.nlm.nih.gov/pmc/blobs/16c0/12185412/5451d3b6893e/fnins-19-1546845-g0001.jpg
https://cdn.ncbi.nlm.nih.gov/pmc/blobs/16c0/12185412/5451d3b6893e/fnins-19-1546845-g0001.jpg

相似文献

1
Common genetic variation associated with adult subcortical brain volume is also associated with subcortical brain volume at birth.与成人皮质下脑容量相关的常见基因变异也与出生时的皮质下脑容量有关。
Front Neurosci. 2025 Jun 10;19:1546845. doi: 10.3389/fnins.2025.1546845. eCollection 2025.
2
Systemic pharmacological treatments for chronic plaque psoriasis: a network meta-analysis.慢性斑块状银屑病的全身药理学治疗:一项网状荟萃分析。
Cochrane Database Syst Rev. 2017 Dec 22;12(12):CD011535. doi: 10.1002/14651858.CD011535.pub2.
3
Systemic pharmacological treatments for chronic plaque psoriasis: a network meta-analysis.系统性药理学治疗慢性斑块状银屑病:网络荟萃分析。
Cochrane Database Syst Rev. 2021 Apr 19;4(4):CD011535. doi: 10.1002/14651858.CD011535.pub4.
4
Antidepressants for pain management in adults with chronic pain: a network meta-analysis.抗抑郁药治疗成人慢性疼痛的疼痛管理:一项网络荟萃分析。
Health Technol Assess. 2024 Oct;28(62):1-155. doi: 10.3310/MKRT2948.
5
Antenatal corticosteroids prior to planned caesarean at term for improving neonatal outcomes.择期剖宫产术前应用产前皮质激素以改善新生儿结局。
Cochrane Database Syst Rev. 2021 Dec 22;12(12):CD006614. doi: 10.1002/14651858.CD006614.pub4.
6
Survivor, family and professional experiences of psychosocial interventions for sexual abuse and violence: a qualitative evidence synthesis.性虐待和暴力的心理社会干预的幸存者、家庭和专业人员的经验:定性证据综合。
Cochrane Database Syst Rev. 2022 Oct 4;10(10):CD013648. doi: 10.1002/14651858.CD013648.pub2.
7
Routine vaginal examinations compared to other methods for assessing progress of labour to improve outcomes for women and babies at term.常规阴道检查与其他评估分娩进展的方法相比,以改善足月妇女和婴儿的结局。
Cochrane Database Syst Rev. 2022 Mar 4;3(3):CD010088. doi: 10.1002/14651858.CD010088.pub3.
8
Maternal and neonatal outcomes of elective induction of labor.择期引产的母婴结局
Evid Rep Technol Assess (Full Rep). 2009 Mar(176):1-257.
9
Planned birth at or near term for improving health outcomes for pregnant women with gestational diabetes and their infants.在足月或接近足月时计划分娩,以改善患有妊娠期糖尿病的孕妇及其婴儿的健康结局。
Cochrane Database Syst Rev. 2018 Jan 5;1(1):CD012910. doi: 10.1002/14651858.CD012910.
10
Adapting Safety Plans for Autistic Adults with Involvement from the Autism Community.在自闭症群体的参与下为成年自闭症患者调整安全计划。
Autism Adulthood. 2025 May 28;7(3):293-302. doi: 10.1089/aut.2023.0124. eCollection 2025 Jun.

本文引用的文献

1
The Developing Human Connectome Project Neonatal Data Release.人类连接组计划新生儿数据发布
Front Neurosci. 2022 May 23;16:886772. doi: 10.3389/fnins.2022.886772. eCollection 2022.
2
Predicting age and clinical risk from the neonatal connectome.从新生儿连接组预测年龄和临床风险。
Neuroimage. 2022 Aug 15;257:119319. doi: 10.1016/j.neuroimage.2022.119319. Epub 2022 May 16.
3
The COPILOT Raw Illumina Genotyping QC Protocol.COPILOT原始Illumina基因分型质量控制方案。
Curr Protoc. 2022 Apr;2(4):e373. doi: 10.1002/cpz1.373.
4
Genomic Studies Across the Lifespan Point to Early Mechanisms Determining Subcortical Volumes.贯穿一生的基因组研究指向了决定皮层下体积的早期机制。
Biol Psychiatry Cogn Neurosci Neuroimaging. 2022 Jun;7(6):616-628. doi: 10.1016/j.bpsc.2021.10.011. Epub 2021 Oct 23.
5
Subcortical volumes across the lifespan: Data from 18,605 healthy individuals aged 3-90 years.全生命周期的皮质下脑区体积:来自 18605 名 3-90 岁健康个体的数据。
Hum Brain Mapp. 2022 Jan;43(1):452-469. doi: 10.1002/hbm.25320. Epub 2021 Feb 11.
6
Genetic scores for adult subcortical volumes associate with subcortical volumes during infancy and childhood.成人皮质下体积的遗传评分与婴儿期和儿童期的皮质下体积相关。
Hum Brain Mapp. 2021 Apr 15;42(6):1583-1593. doi: 10.1002/hbm.25292. Epub 2021 Feb 2.
7
Genetic architecture of subcortical brain structures in 38,851 individuals.38851 个人的皮质下脑结构的遗传结构。
Nat Genet. 2019 Nov;51(11):1624-1636. doi: 10.1038/s41588-019-0511-y. Epub 2019 Oct 21.
8
Genome-wide Association Studies in Ancestrally Diverse Populations: Opportunities, Methods, Pitfalls, and Recommendations.全基因组关联研究在遗传背景多样化的人群中的应用:机遇、方法、陷阱和建议。
Cell. 2019 Oct 17;179(3):589-603. doi: 10.1016/j.cell.2019.08.051. Epub 2019 Oct 10.
9
PRSice-2: Polygenic Risk Score software for biobank-scale data.PRSice-2:用于生物库规模数据的多基因风险评分软件。
Gigascience. 2019 Jul 1;8(7). doi: 10.1093/gigascience/giz082.
10
Common Polygenic Variations for Psychiatric Disorders and Cognition in Relation to Brain Morphology in the General Pediatric Population.常见精神障碍和认知的多基因变异与一般儿科人群的大脑形态学的关系。
J Am Acad Child Adolesc Psychiatry. 2019 Jun;58(6):600-607. doi: 10.1016/j.jaac.2018.09.443. Epub 2019 Jan 9.