• 文献检索
  • 文档翻译
  • 深度研究
  • 学术资讯
  • Suppr Zotero 插件Zotero 插件
  • 邀请有礼
  • 套餐&价格
  • 历史记录
应用&插件
Suppr Zotero 插件Zotero 插件浏览器插件Mac 客户端Windows 客户端微信小程序
定价
高级版会员购买积分包购买API积分包
服务
文献检索文档翻译深度研究API 文档MCP 服务
关于我们
关于 Suppr公司介绍联系我们用户协议隐私条款
关注我们

Suppr 超能文献

核心技术专利:CN118964589B侵权必究
粤ICP备2023148730 号-1Suppr @ 2026

文献检索

告别复杂PubMed语法,用中文像聊天一样搜索,搜遍4000万医学文献。AI智能推荐,让科研检索更轻松。

立即免费搜索

文件翻译

保留排版,准确专业,支持PDF/Word/PPT等文件格式,支持 12+语言互译。

免费翻译文档

深度研究

AI帮你快速写综述,25分钟生成高质量综述,智能提取关键信息,辅助科研写作。

立即免费体验

人工智能在预测眼压升高向青光眼进展中的作用

The Role of Artificial Intelligence in Predicting the Progression of Intraocular Hypertension to Glaucoma.

作者信息

Anton Nicoleta, Lisa Cătălin, Doroftei Bogdan, Pîrvulescu Ruxandra Angela, Barac Ramona Ileana, Lungu Ionuț Iulian, Bogdănici Camelia Margareta

机构信息

Department of Ophtalmology, "Grigore T. Popa" University of Medicine and Pharmacy, 16 Universității Street, 700115 Iasi, Romania.

Ophthalmology Clinic, Sf. Spiridon Emergency Clinical Hospital, 700111 Iasi, Romania.

出版信息

Life (Basel). 2025 May 27;15(6):865. doi: 10.3390/life15060865.

DOI:10.3390/life15060865
PMID:40566519
原文链接:https://pmc.ncbi.nlm.nih.gov/articles/PMC12194571/
Abstract

UNLABELLED

AI systems, especially artificial neural networks (ANNs), are increasingly involved in the diagnosis and personalized management of ophthalmologic disorders.

BACKGROUND

This study shows the practical applications of artificial intelligence for predicting the progression of intraocular hypertension (IOH) to glaucoma.

METHODS

This study involved two groups of patients with IOH and a control group, analyzed using the commercial Neurosolution simulator. The findings were compared with experimental data. The performance of the neural models was evaluated using several metrics: Mean Squared Error (MSE), Normalized Mean Squared Error (NMSE), correlation coefficient (r), and percentage error (Ep).

RESULTS

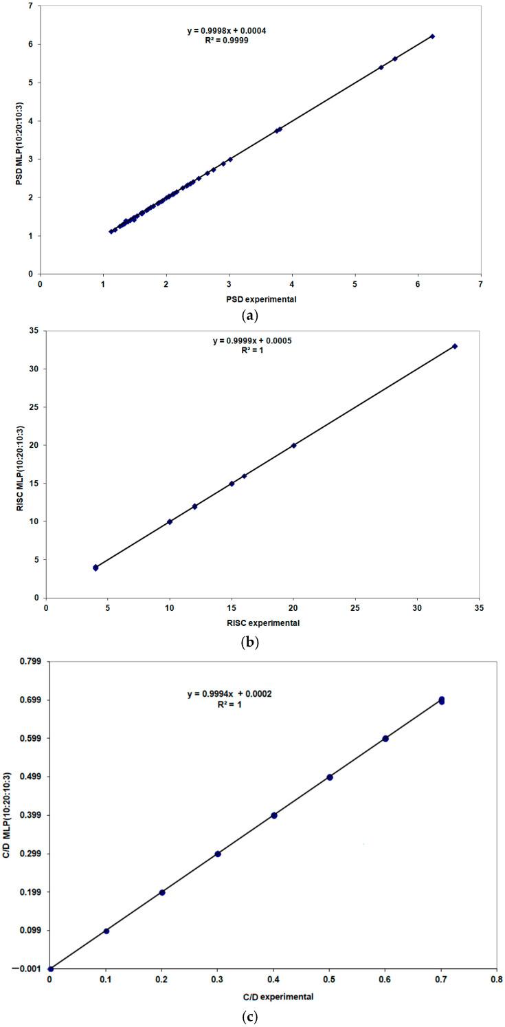
For all three patient groups, the best performance was achieved with neural networks featuring two hidden layers: MLP(9:18:9:3) for group 1, MLP(10:20:10:3) for group 2, and MLP(10:30:20:3) for group 3. The MSE values during validation were 0.39 for groups 1 and 2, and 0.34 for group 3. For these neural networks, the probability of producing correct outputs during validation was 75% (i.e., 9 correct responses out of a possible 12). The findings in this study are in line with those reported by other researchers in the field.

CONCLUSIONS

The neural network models developed in this study demonstrated their potential for predicting the progression of intraocular hypertension to glaucoma.

摘要

未标注

人工智能系统,尤其是人工神经网络(ANNs),越来越多地参与到眼科疾病的诊断和个性化管理中。

背景

本研究展示了人工智能在预测高眼压症(IOH)向青光眼进展方面的实际应用。

方法

本研究纳入了两组高眼压症患者和一组对照组,使用商业神经解决方案模拟器进行分析。研究结果与实验数据进行了比较。使用多种指标评估神经模型的性能:均方误差(MSE)、归一化均方误差(NMSE)、相关系数(r)和百分比误差(Ep)。

结果

对于所有三组患者,具有两个隐藏层的神经网络表现最佳:第一组为MLP(9:18:9:3),第二组为MLP(10:20:10:3),第三组为MLP(10:30:20:3)。验证期间第一组和第二组的MSE值为0.39,第三组为0.34。对于这些神经网络,验证期间产生正确输出的概率为75%(即,在可能的12个响应中有9个正确响应)。本研究的结果与该领域其他研究人员报告的结果一致。

结论

本研究开发的神经网络模型展示了其在预测高眼压症向青光眼进展方面的潜力。

https://cdn.ncbi.nlm.nih.gov/pmc/blobs/6adb/12194571/bafeb9745ee5/life-15-00865-g013a.jpg
https://cdn.ncbi.nlm.nih.gov/pmc/blobs/6adb/12194571/aeb7714c44fd/life-15-00865-g001.jpg
https://cdn.ncbi.nlm.nih.gov/pmc/blobs/6adb/12194571/80e774cf6c56/life-15-00865-g002.jpg
https://cdn.ncbi.nlm.nih.gov/pmc/blobs/6adb/12194571/a616fb69a902/life-15-00865-g003.jpg
https://cdn.ncbi.nlm.nih.gov/pmc/blobs/6adb/12194571/c6893113ef31/life-15-00865-g004.jpg
https://cdn.ncbi.nlm.nih.gov/pmc/blobs/6adb/12194571/1f4f209c6038/life-15-00865-g005.jpg
https://cdn.ncbi.nlm.nih.gov/pmc/blobs/6adb/12194571/f6f7005560c8/life-15-00865-g006a.jpg
https://cdn.ncbi.nlm.nih.gov/pmc/blobs/6adb/12194571/1ee158944ca9/life-15-00865-g007a.jpg
https://cdn.ncbi.nlm.nih.gov/pmc/blobs/6adb/12194571/d2a953f384b7/life-15-00865-g008.jpg
https://cdn.ncbi.nlm.nih.gov/pmc/blobs/6adb/12194571/3a3c0d7ca963/life-15-00865-g009.jpg
https://cdn.ncbi.nlm.nih.gov/pmc/blobs/6adb/12194571/d1deaf1455af/life-15-00865-g010a.jpg
https://cdn.ncbi.nlm.nih.gov/pmc/blobs/6adb/12194571/36a980e050e1/life-15-00865-g011.jpg
https://cdn.ncbi.nlm.nih.gov/pmc/blobs/6adb/12194571/9d7212f385ee/life-15-00865-g012a.jpg
https://cdn.ncbi.nlm.nih.gov/pmc/blobs/6adb/12194571/bafeb9745ee5/life-15-00865-g013a.jpg
https://cdn.ncbi.nlm.nih.gov/pmc/blobs/6adb/12194571/aeb7714c44fd/life-15-00865-g001.jpg
https://cdn.ncbi.nlm.nih.gov/pmc/blobs/6adb/12194571/80e774cf6c56/life-15-00865-g002.jpg
https://cdn.ncbi.nlm.nih.gov/pmc/blobs/6adb/12194571/a616fb69a902/life-15-00865-g003.jpg
https://cdn.ncbi.nlm.nih.gov/pmc/blobs/6adb/12194571/c6893113ef31/life-15-00865-g004.jpg
https://cdn.ncbi.nlm.nih.gov/pmc/blobs/6adb/12194571/1f4f209c6038/life-15-00865-g005.jpg
https://cdn.ncbi.nlm.nih.gov/pmc/blobs/6adb/12194571/f6f7005560c8/life-15-00865-g006a.jpg
https://cdn.ncbi.nlm.nih.gov/pmc/blobs/6adb/12194571/1ee158944ca9/life-15-00865-g007a.jpg
https://cdn.ncbi.nlm.nih.gov/pmc/blobs/6adb/12194571/d2a953f384b7/life-15-00865-g008.jpg
https://cdn.ncbi.nlm.nih.gov/pmc/blobs/6adb/12194571/3a3c0d7ca963/life-15-00865-g009.jpg
https://cdn.ncbi.nlm.nih.gov/pmc/blobs/6adb/12194571/d1deaf1455af/life-15-00865-g010a.jpg
https://cdn.ncbi.nlm.nih.gov/pmc/blobs/6adb/12194571/36a980e050e1/life-15-00865-g011.jpg
https://cdn.ncbi.nlm.nih.gov/pmc/blobs/6adb/12194571/9d7212f385ee/life-15-00865-g012a.jpg
https://cdn.ncbi.nlm.nih.gov/pmc/blobs/6adb/12194571/bafeb9745ee5/life-15-00865-g013a.jpg

相似文献

1
The Role of Artificial Intelligence in Predicting the Progression of Intraocular Hypertension to Glaucoma.人工智能在预测眼压升高向青光眼进展中的作用
Life (Basel). 2025 May 27;15(6):865. doi: 10.3390/life15060865.
2
Artificial intelligence for detecting keratoconus.人工智能在圆锥角膜检测中的应用。
Cochrane Database Syst Rev. 2023 Nov 15;11(11):CD014911. doi: 10.1002/14651858.CD014911.pub2.
3
Laser trabeculoplasty for open-angle glaucoma and ocular hypertension.激光小梁成形术治疗开角型青光眼和高眼压症。
Cochrane Database Syst Rev. 2022 Aug 9;8(8):CD003919. doi: 10.1002/14651858.CD003919.pub3.
4
Multifaceted behavioral interventions to improve topical glaucoma therapy adherence in adults.多方面行为干预以提高成人局部青光眼治疗的依从性。
Cochrane Database Syst Rev. 2025 Jun 11;6(6):CD015788. doi: 10.1002/14651858.CD015788.pub2.
5
Surgical interventions for bilateral congenital cataract in children aged two years and under.儿童两岁及以下双侧先天性白内障的手术干预。
Cochrane Database Syst Rev. 2022 Sep 15;9(9):CD003171. doi: 10.1002/14651858.CD003171.pub3.
6
Perioperative medications for preventing temporarily increased intraocular pressure after laser trabeculoplasty.用于预防激光小梁成形术后眼压暂时升高的围手术期药物。
Cochrane Database Syst Rev. 2017 Feb 23;2(2):CD010746. doi: 10.1002/14651858.CD010746.pub2.
7
SMOTE-Enhanced Explainable Artificial Intelligence Model for Predicting Visual Field Progression in Myopic Normal Tension Glaucoma.用于预测近视性正常眼压性青光眼视野进展的SMOTE增强型可解释人工智能模型
J Glaucoma. 2025 Jul 1;34(7):520-527. doi: 10.1097/IJG.0000000000002579. Epub 2025 Apr 21.
8
Artificial intelligence systems in dental shade-matching: A systematic review.人工智能系统在牙科比色中的应用:系统评价。
J Prosthodont. 2024 Jul;33(6):519-532. doi: 10.1111/jopr.13805. Epub 2023 Dec 6.
9
Artificial Intelligence-Based prediction model for surgical site infection in metastatic spinal disease: a multicenter development and validation study.基于人工智能的转移性脊柱疾病手术部位感染预测模型:一项多中心开发与验证研究。
Int J Surg. 2025 Jun 27. doi: 10.1097/JS9.0000000000002806.
10
Hypnosis for pain management during labour and childbirth.分娩过程中疼痛管理的催眠疗法。
Cochrane Database Syst Rev. 2016 May 19;2016(5):CD009356. doi: 10.1002/14651858.CD009356.pub3.

本文引用的文献

1
Lights and Shadows on Artificial Intelligence in Glaucoma: Transforming Screening, Monitoring, and Prognosis.青光眼人工智能领域的机遇与挑战:变革筛查、监测与预后
J Clin Med. 2025 Mar 21;14(7):2139. doi: 10.3390/jcm14072139.
2
Artificial Intelligence for Optical Coherence Tomography in Glaucoma.用于青光眼光学相干断层扫描的人工智能
Transl Vis Sci Technol. 2025 Jan 2;14(1):27. doi: 10.1167/tvst.14.1.27.
3
Predicting Adverse Neurodevelopmental Outcomes in Premature Neonates with Intrauterine Growth Restriction Using a Three-Layered Neural Network.
使用三层神经网络预测宫内生长受限早产新生儿的不良神经发育结局
Diagnostics (Basel). 2025 Jan 5;15(1):111. doi: 10.3390/diagnostics15010111.
4
The use of artificial neural networks in studying the progression of glaucoma.人工神经网络在青光眼进展研究中的应用。
Sci Rep. 2024 Aug 23;14(1):19597. doi: 10.1038/s41598-024-70748-1.
5
Relationship between Blood Pressure and Rates of Glaucomatous Visual Field Progression: The Vascular Imaging in Glaucoma Study.血压与青光眼性视野进展率之间的关系:青光眼血管成像研究
Ophthalmology. 2025 Jan;132(1):30-38. doi: 10.1016/j.ophtha.2024.07.026. Epub 2024 Aug 6.
6
Diagnosing glaucoma in primary eye care and the role of Artificial Intelligence applications for reducing the prevalence of undetected glaucoma in Australia.初级眼保健中的青光眼诊断和人工智能应用在降低澳大利亚未检出青光眼患病率中的作用。
Eye (Lond). 2024 Aug;38(11):2003-2013. doi: 10.1038/s41433-024-03026-z. Epub 2024 Mar 21.
7
Prediction of Intrauterine Growth Restriction and Preeclampsia Using Machine Learning-Based Algorithms: A Prospective Study.基于机器学习算法预测胎儿生长受限和子痫前期:一项前瞻性研究。
Diagnostics (Basel). 2024 Feb 19;14(4):453. doi: 10.3390/diagnostics14040453.
8
Advancing Glaucoma Care: Integrating Artificial Intelligence in Diagnosis, Management, and Progression Detection.青光眼护理进展:将人工智能整合到诊断、管理和病情进展检测中。
Bioengineering (Basel). 2024 Jan 26;11(2):122. doi: 10.3390/bioengineering11020122.
9
GRAPE: A multi-modal dataset of longitudinal follow-up visual field and fundus images for glaucoma management.GRAPE:用于青光眼管理的纵向随访视野和眼底图像的多模态数据集。
Sci Data. 2023 Aug 5;10(1):520. doi: 10.1038/s41597-023-02424-4.
10
Use of artificial intelligence in forecasting glaucoma progression.人工智能在预测青光眼进展中的应用。
Taiwan J Ophthalmol. 2023 May 23;13(2):168-183. doi: 10.4103/tjo.TJO-D-23-00022. eCollection 2023 Apr-Jun.