Suppr超能文献

河流溢油的不同应急响应策略导致不同的污染成分和微生物群落响应特征。

Different Emergency Response Strategies to Oil Spills in Rivers Lead to Divergent Contamination Compositions and Microbial Community Response Characteristics.

作者信息

Wen Xinyu, Fan An, Wang Jinsong, Xia Yulin, Chen Sili, Yang Yuyin

机构信息

School of Civil Engineering, University of South China, Hengyang 421001, China.

South China Institute of Environmental Sciences (SCIES), Ministry of Ecology and Environment (MEE), Guangzhou 510655, China.

出版信息

Microorganisms. 2025 May 23;13(6):1193. doi: 10.3390/microorganisms13061193.

Abstract

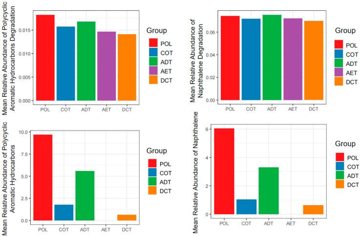
Oil spills in inland rivers pose a significant threat to the surrounding environment, and the emergency response differs greatly from that in ocean or coastal areas. In this study, we focused on several commonly used emergency water treatment strategies in China's inland oil spills, as well as the spilled washing oil in a serious accident case. We investigated the changes in oil-related chemical components before and after water treatment using GCxGC-TOF MS (Comprehensive Two-dimensional Gas Chromatography Time of Flight Mass Spectrometer). We tracked the shifts of microbial communities in the microcosms incubated with clean river water, simulated oil-contaminated water, and the treatment effluent. The results revealed that typical components, especially nitrogen-containing heterocyclic compounds, had different removal efficiencies among treatments. The diversity, composition, and potential functions of microbial communities responded differently to the treatments, and could be related to various substances, including PAHs (polycyclic aromatic hydrocarbons) and heterocyclic compounds. A few genera, such as , exhibited a high correlation with washing oil-related components and could serve as an indicator in such an oil spill emergency response. Our findings indicated that simply using petroleum oil or PAHs to evaluate oil spills was likely to underestimate the ecological impact, especially when the spilled substances were coal chemical products widely used in China. This will provide an important scientific basis for decision-making and strategy evaluation in emergency responses to inland oil spills.

摘要

内陆河流的石油泄漏对周边环境构成重大威胁,其应急响应与海洋或沿海地区有很大不同。在本研究中,我们聚焦于中国内陆石油泄漏中几种常用的应急水处理策略,以及一起严重事故案例中的泄漏洗涤油。我们使用全二维气相色谱-飞行时间质谱仪(GCxGC-TOF MS)研究了水处理前后与油相关的化学成分变化。我们追踪了在分别用清洁河水、模拟油污染水和处理后出水培养的微观世界中微生物群落的变化。结果表明,典型成分,尤其是含氮杂环化合物,在不同处理中的去除效率不同。微生物群落的多样性、组成和潜在功能对处理的反应各不相同,并且可能与包括多环芳烃(PAHs)和杂环化合物在内的各种物质有关。一些属,如 ,与洗涤油相关成分表现出高度相关性,可作为此类石油泄漏应急响应中的一个指标。我们的研究结果表明,仅用石油或多环芳烃来评估石油泄漏可能会低估其生态影响,尤其是当泄漏物质是在中国广泛使用的煤化工产品时。这将为内陆石油泄漏应急响应中的决策和策略评估提供重要的科学依据。

https://cdn.ncbi.nlm.nih.gov/pmc/blobs/f825/12195274/07347ad15dff/microorganisms-13-01193-g001.jpg

文献AI研究员

20分钟写一篇综述,助力文献阅读效率提升50倍。

立即体验

用中文搜PubMed

大模型驱动的PubMed中文搜索引擎

马上搜索

文档翻译

学术文献翻译模型,支持多种主流文档格式。

立即体验