• 文献检索
  • 文档翻译
  • 深度研究
  • 学术资讯
  • Suppr Zotero 插件Zotero 插件
  • 邀请有礼
  • 套餐&价格
  • 历史记录
应用&插件
Suppr Zotero 插件Zotero 插件浏览器插件Mac 客户端Windows 客户端微信小程序
定价
高级版会员购买积分包购买API积分包
服务
文献检索文档翻译深度研究API 文档MCP 服务
关于我们
关于 Suppr公司介绍联系我们用户协议隐私条款
关注我们

Suppr 超能文献

核心技术专利:CN118964589B侵权必究
粤ICP备2023148730 号-1Suppr @ 2026

文献检索

告别复杂PubMed语法,用中文像聊天一样搜索,搜遍4000万医学文献。AI智能推荐,让科研检索更轻松。

立即免费搜索

文件翻译

保留排版,准确专业,支持PDF/Word/PPT等文件格式,支持 12+语言互译。

免费翻译文档

深度研究

AI帮你快速写综述,25分钟生成高质量综述,智能提取关键信息,辅助科研写作。

立即免费体验

中国石灰岩地区不同林分中植物-凋落物-土壤的生态化学计量特征

Ecological Stoichiometric Characteristics of Plant-Litter-Soil Among Different Forest Stands in a Limestone Region of China.

作者信息

Wang Yeqiao, Tu Haochuan, Zheng Jingjing, Li Xiongjie, Wang Guibin, Guo Jing

机构信息

State Key Laboratory of Tree Genetics and Breeding, Co-Innovation Center for Sustainable Forestry in Southern China, Nanjing Forestry University, Nanjing 210037, China.

出版信息

Plants (Basel). 2025 Jun 8;14(12):1758. doi: 10.3390/plants14121758.

DOI:10.3390/plants14121758
PMID:40573746
原文链接:https://pmc.ncbi.nlm.nih.gov/articles/PMC12196920/
Abstract

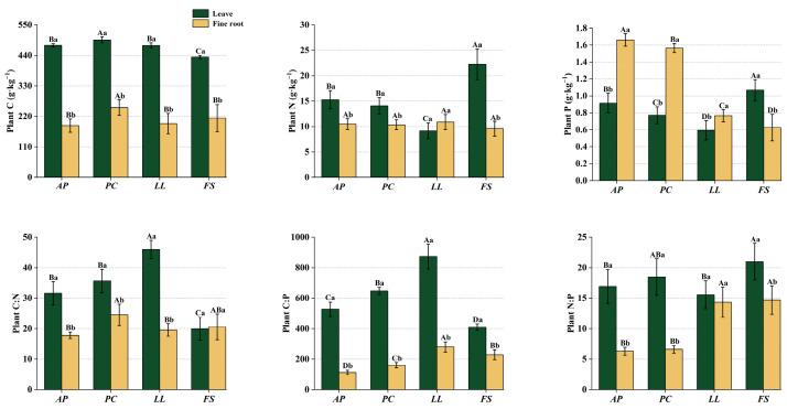
The transformation of degraded stands represents an essential strategy for enhancing stand productivity and optimizing site adaptability. This study examined four typical monoculture forest stands transformed from underperforming () forests in the limestone area of Xuzhou, China: (), (), (), and (). The contents of carbon (C), nitrogen (N), and phosphorus (P), along with the C:N:P stoichiometric ratios, were analyzed in plants (leaves and fine roots), litter, and soil. The relationships among these components and their main influencing factors were explored. The results indicated that leaves contained higher levels of N and P, whereas litter presented significantly elevated C:N and N:P ratios in comparison with those of the other forest stands ( < 0.05). With the exception of , leaves displayed lower P than fine roots, which presented pronounced P enrichment. The soil C, N, and P contents decreased with depth, with both the forest stand and depth significantly impacting the soil stoichiometry ( < 0.01). Redundancy analysis identified available potassium, total nitrogen, and microbial biomass carbon in the soil as key factors influencing the stoichiometric characteristics of the leaf-fine root-litter continuum. Collectively, the leaf N:P ratios (>16) and low soil P contents indicate that plantation growth was primarily constrained by P limitation. In response, , , and allocate more P to fine roots to adapt to the environment.

摘要

退化林分的改造是提高林分生产力和优化立地适应性的一项重要策略。本研究调查了中国徐州石灰岩地区由生长不良的()森林改造而来的四种典型人工纯林:()、()、()和()。分析了植物(叶片和细根)、凋落物和土壤中碳(C)、氮(N)和磷(P)的含量以及C:N:P化学计量比。探讨了这些组分之间的关系及其主要影响因素。结果表明,()叶片中的N和P含量较高,而()凋落物的C:N和N:P比与其他林分相比显著升高(<0.05)。除()外,叶片中的P含量低于细根,细根表现出明显的P富集。土壤C、N和P含量随深度降低,林分和深度均对土壤化学计量有显著影响(<0.01)。冗余分析确定土壤中有效钾、全氮和微生物生物量碳是影响叶-细根-凋落物连续体化学计量特征的关键因素。总体而言,叶片N:P比(>16)和土壤低P含量表明人工林生长主要受P限制。作为响应,()、()和()将更多的P分配到细根以适应环境。

https://cdn.ncbi.nlm.nih.gov/pmc/blobs/b109/12196920/22eba919cde4/plants-14-01758-g006.jpg
https://cdn.ncbi.nlm.nih.gov/pmc/blobs/b109/12196920/4fda6b376f9d/plants-14-01758-g001.jpg
https://cdn.ncbi.nlm.nih.gov/pmc/blobs/b109/12196920/d85badf577bc/plants-14-01758-g002.jpg
https://cdn.ncbi.nlm.nih.gov/pmc/blobs/b109/12196920/94ecc4ca0597/plants-14-01758-g003.jpg
https://cdn.ncbi.nlm.nih.gov/pmc/blobs/b109/12196920/bd98737bb3d1/plants-14-01758-g004.jpg
https://cdn.ncbi.nlm.nih.gov/pmc/blobs/b109/12196920/8a11fff929db/plants-14-01758-g005.jpg
https://cdn.ncbi.nlm.nih.gov/pmc/blobs/b109/12196920/22eba919cde4/plants-14-01758-g006.jpg
https://cdn.ncbi.nlm.nih.gov/pmc/blobs/b109/12196920/4fda6b376f9d/plants-14-01758-g001.jpg
https://cdn.ncbi.nlm.nih.gov/pmc/blobs/b109/12196920/d85badf577bc/plants-14-01758-g002.jpg
https://cdn.ncbi.nlm.nih.gov/pmc/blobs/b109/12196920/94ecc4ca0597/plants-14-01758-g003.jpg
https://cdn.ncbi.nlm.nih.gov/pmc/blobs/b109/12196920/bd98737bb3d1/plants-14-01758-g004.jpg
https://cdn.ncbi.nlm.nih.gov/pmc/blobs/b109/12196920/8a11fff929db/plants-14-01758-g005.jpg
https://cdn.ncbi.nlm.nih.gov/pmc/blobs/b109/12196920/22eba919cde4/plants-14-01758-g006.jpg

相似文献

1
Ecological Stoichiometric Characteristics of Plant-Litter-Soil Among Different Forest Stands in a Limestone Region of China.中国石灰岩地区不同林分中植物-凋落物-土壤的生态化学计量特征
Plants (Basel). 2025 Jun 8;14(12):1758. doi: 10.3390/plants14121758.
2
[Influence of Straw Return and Fertilizer Matching on Microbial Quantity and Stoichiometric Characteristics and Microbial Entropy of Winter Wheat Soils].秸秆还田与肥料配施对冬小麦土壤微生物数量、化学计量特征及微生物熵的影响
Huan Jing Ke Xue. 2025 Jun 8;46(6):3957-3964. doi: 10.13227/j.hjkx.202405157.
3
Linking Ecological Stoichiometry to Biomass Allocation in Plants Under Cadmium and Petroleum Stress in the Yellow River Delta.黄河三角洲镉和石油胁迫下植物生态化学计量学与生物量分配的关联
Biology (Basel). 2025 Jun 10;14(6):673. doi: 10.3390/biology14060673.
4
Altitude-Related Variation in Carbon, Nitrogen, and Phosphorus Contents and Their Stoichiometry of Woody Organs in the Subtropical Mountain Forests, South China.中国南方亚热带山地森林木本器官碳、氮、磷含量及其化学计量比的海拔相关变化
Ecol Evol. 2025 Jun 17;15(6):e71451. doi: 10.1002/ece3.71451. eCollection 2025 Jun.
5
Actinobacteria Emerge as Novel Dominant Soil Bacterial Taxa in Long-Term Post-Fire Recovery of Taiga Forests.放线菌在泰加林火灾后长期恢复过程中成为新型优势土壤细菌类群。
Microorganisms. 2025 May 29;13(6):1262. doi: 10.3390/microorganisms13061262.
6
[Effects of Soil Water and Availability of Carbon and Nitrogen on CH and CO Emissions in Paddy Soil].[土壤水分及碳氮有效性对稻田土壤CH和CO排放的影响]
Huan Jing Ke Xue. 2025 Jun 8;46(6):3999-4010. doi: 10.13227/j.hjkx.202406182.
7
[Spatial Partitioning and Influencing Factors of Soil Organic Carbon in Karst and Non-Karst Regions of Southeast Yunnan Province].[滇东南岩溶与非岩溶地区土壤有机碳的空间分异及影响因素]
Huan Jing Ke Xue. 2025 Jun 8;46(6):3846-3855. doi: 10.13227/j.hjkx.202405239.
8
Sertindole for schizophrenia.用于治疗精神分裂症的舍吲哚。
Cochrane Database Syst Rev. 2005 Jul 20;2005(3):CD001715. doi: 10.1002/14651858.CD001715.pub2.
9
Behavioral interventions to reduce risk for sexual transmission of HIV among men who have sex with men.降低男男性行为者中艾滋病毒性传播风险的行为干预措施。
Cochrane Database Syst Rev. 2008 Jul 16(3):CD001230. doi: 10.1002/14651858.CD001230.pub2.
10
Adefovir dipivoxil and pegylated interferon alfa-2a for the treatment of chronic hepatitis B: a systematic review and economic evaluation.阿德福韦酯与聚乙二醇化干扰素α-2a治疗慢性乙型肝炎:系统评价与经济学评估
Health Technol Assess. 2006 Aug;10(28):iii-iv, xi-xiv, 1-183. doi: 10.3310/hta10280.

本文引用的文献

1
Ecological stoichiometry of C, N, P and Si of Karst Masson pine forests: Insights for the forest management in southern China.喀斯特马尾松林 C、N、P 和 Si 的生态化学计量学:对中国南方森林管理的启示。
Sci Total Environ. 2024 Feb 20;912:169490. doi: 10.1016/j.scitotenv.2023.169490. Epub 2023 Dec 22.
2
Ecological Stoichiometry and Stock Distribution of C, N, and P in Three Forest Types in a Karst Region of China.中国喀斯特地区三种森林类型中碳、氮、磷的生态化学计量学与储量分布
Plants (Basel). 2023 Jun 30;12(13):2503. doi: 10.3390/plants12132503.
3
Seasonal variations in carbon, nitrogen, and phosphorus of at different stand ages.
不同林龄下碳、氮和磷的季节变化。
Front Plant Sci. 2023 May 9;14:1107961. doi: 10.3389/fpls.2023.1107961. eCollection 2023.
4
Soil C/N ratios cause opposing effects in forests compared to grasslands on decomposition rates and stabilization factors in southern European ecosystems.与草原相比,土壤碳氮比在南欧生态系统中对分解速率和稳定因子产生相反的影响。
Sci Total Environ. 2023 Aug 25;888:164118. doi: 10.1016/j.scitotenv.2023.164118. Epub 2023 May 13.
5
Global distributions of foliar nitrogen and phosphorus resorption in forest ecosystems.森林生态系统中叶片氮磷再吸收的全球分布。
Sci Total Environ. 2023 May 1;871:162075. doi: 10.1016/j.scitotenv.2023.162075. Epub 2023 Feb 8.
6
Adaptation strategy of karst forests: Evidence from the community-weighted mean of plant functional traits.喀斯特森林的适应策略:来自植物功能性状群落加权均值的证据
Ecol Evol. 2022 Mar 1;12(3):e8680. doi: 10.1002/ece3.8680. eCollection 2022 Feb.
7
Current situation and prospects of the studies of ecological industries and ecological products in eco-fragile areas.生态脆弱区生态产业与生态产品研究的现状与展望。
Environ Res. 2021 Oct;201:111613. doi: 10.1016/j.envres.2021.111613. Epub 2021 Jul 2.
8
N : P ratios in terrestrial plants: variation and functional significance.陆地植物中的氮磷比:变化及其功能意义
New Phytol. 2004 Nov;164(2):243-266. doi: 10.1111/j.1469-8137.2004.01192.x.
9
Ecological stoichiometric characteristics of Carbon (C), Nitrogen (N) and Phosphorus (P) in leaf, root, stem, and soil in four wetland plants communities in Shengjin Lake, China.中国胜金湖四种湿地植物群落叶片、根系、茎和土壤中碳(C)、氮(N)和磷(P)的生态化学计量特征。
PLoS One. 2020 Aug 6;15(8):e0230089. doi: 10.1371/journal.pone.0230089. eCollection 2020.
10
Meta-analysis of the impacts of global change factors on soil microbial diversity and functionality.全球变化因素对土壤微生物多样性和功能影响的荟萃分析。
Nat Commun. 2020 Jun 17;11(1):3072. doi: 10.1038/s41467-020-16881-7.