• 文献检索
  • 文档翻译
  • 深度研究
  • 学术资讯
  • Suppr Zotero 插件Zotero 插件
  • 邀请有礼
  • 套餐&价格
  • 历史记录
应用&插件
Suppr Zotero 插件Zotero 插件浏览器插件Mac 客户端Windows 客户端微信小程序
定价
高级版会员购买积分包购买API积分包
服务
文献检索文档翻译深度研究API 文档MCP 服务
关于我们
关于 Suppr公司介绍联系我们用户协议隐私条款
关注我们

Suppr 超能文献

核心技术专利:CN118964589B侵权必究
粤ICP备2023148730 号-1Suppr @ 2026

文献检索

告别复杂PubMed语法,用中文像聊天一样搜索,搜遍4000万医学文献。AI智能推荐,让科研检索更轻松。

立即免费搜索

文件翻译

保留排版,准确专业,支持PDF/Word/PPT等文件格式,支持 12+语言互译。

免费翻译文档

深度研究

AI帮你快速写综述,25分钟生成高质量综述,智能提取关键信息,辅助科研写作。

立即免费体验

水培萝卜(L.)中铯的积累模式与应激反应:一项生理转录组学研究

Cesium Accumulation Patterns and Stress Response in Hydroponic Radish ( L.): A Physiological-Transcriptomic Study.

作者信息

Wen Yu-Han, Chen Xi, Sun Ming, Yang Chao-Hui, Xu Meng-Yuan, Lai Feng-Xiang, Fu Si-Qi, Fan Yu-Meng, Guo Xin-Peng, Li Qun, Wu Guo

机构信息

College of Life Science, Sichuan Normal University, Chengdu 610101, China.

College of Resources and Environmental Sciences, Nanjing Agricultural University, Nanjing 210095, China.

出版信息

Plants (Basel). 2025 Jun 12;14(12):1802. doi: 10.3390/plants14121802.

DOI:10.3390/plants14121802
PMID:40573789
原文链接:https://pmc.ncbi.nlm.nih.gov/articles/PMC12196763/
Abstract

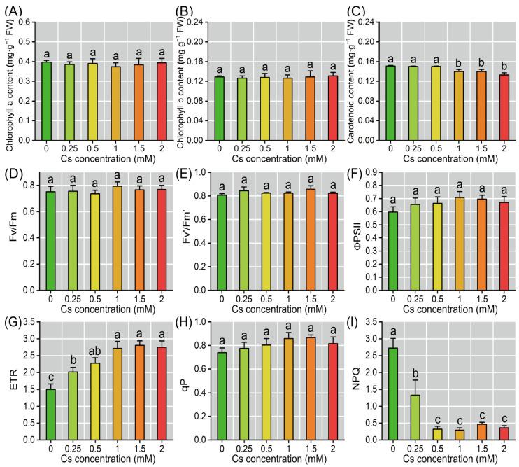
The present study systematically investigated the cesium (Cs) enrichment characteristics and physiological responses to Cs exposure in radish ( L.) seedlings under hydroponic conditions through integrated physiological, biochemical, and transcriptome analyses. The results showed that the Cs content in radish roots, stems, and cotyledons increased progressively with rising Cs concentrations (0.25-2 mM), and Cs mainly accumulated in the cotyledon. The transfer factor (TF) increased by 63.29% (TF = 3.87) as the Cs concentration increased from 0.25 to 2 mM, while the biological concentration factor (BCF) decreased by 72.56% (BCF = 14.87). Severe growth inhibition was observed at 2 mM Cs stress, with biomass reduction reaching 29.73%. The carotenoid content decreased by 11.92%; however, the total chlorophyll content did not change significantly, and the photosynthesis of radish was not affected. In addition, Cs exposure disrupted mineral nutrient homeostasis, decreasing potassium (K), sodium (Na), magnesium (Mg), and iron (Fe) content. The superoxide dismutase (SOD), peroxidase (POD), and catalase (CAT) activities, reactive oxygen species (ROS), and malondialdehyde (MDA) content increased under the different Cs treatments, which indicated that Cs exposure induced oxidative stress response in radish seedlings. Transcriptome analysis detected a total of 4326 differentially expressed genes (DEGs), in which altered expression patterns in genes associated with mineral transport, antioxidant systems, and carotenoid biosynthesis pathways in radish under 2 mM Cs treatment were observed. In conclusion, this study comprehensively investigated the physiological and molecular responses of radish to Cs stress, revealing that Cs accumulation exhibited site-specific preference and concentration dependence and induced physiological disturbances, including growth inhibition and photosynthetic pigment metabolism alterations. At the transcription level, Cs activated the enzymatic antioxidant system, related genes, and stress-response pathways. Notably, this study is the first to demonstrate that Cs disrupts plant mineral nutrition homeostasis and inhibits carotenoid biosynthesis. These findings establish a crucial theoretical foundation for utilizing radish in Cs-contaminated phytoremediation strategies.

摘要

本研究通过综合生理、生化和转录组分析,系统地研究了水培条件下萝卜(L.)幼苗对铯(Cs)的富集特性及对Cs暴露的生理响应。结果表明,随着Cs浓度(0.25 - 2 mM)升高,萝卜根、茎和子叶中的Cs含量逐渐增加,且Cs主要积累在子叶中。当Cs浓度从0.25 mM增加到2 mM时,转移因子(TF)增加了63.29%(TF = 3.87),而生物富集系数(BCF)下降了72.56%(BCF = 14.87)。在2 mM Cs胁迫下观察到严重的生长抑制,生物量减少达29.73%。类胡萝卜素含量下降了11.92%;然而,总叶绿素含量没有显著变化,萝卜的光合作用未受影响。此外,Cs暴露破坏了矿质营养稳态,降低了钾(K)、钠(Na)、镁(Mg)和铁(Fe)的含量。在不同的Cs处理下,超氧化物歧化酶(SOD)、过氧化物酶(POD)和过氧化氢酶(CAT)活性、活性氧(ROS)和丙二醛(MDA)含量增加,这表明Cs暴露诱导了萝卜幼苗的氧化应激反应。转录组分析共检测到4326个差异表达基因(DEGs),其中观察到在2 mM Cs处理下萝卜中与矿质运输、抗氧化系统和类胡萝卜素生物合成途径相关的基因表达模式发生改变。总之,本研究全面调查了萝卜对Cs胁迫的生理和分子响应,揭示了Cs积累表现出部位特异性偏好和浓度依赖性,并诱导了包括生长抑制和光合色素代谢改变在内的生理紊乱。在转录水平上,Cs激活了酶促抗氧化系统、相关基因和应激反应途径。值得注意的是,本研究首次证明Cs破坏了植物矿质营养稳态并抑制了类胡萝卜素生物合成。这些发现为利用萝卜进行Cs污染植物修复策略奠定了关键的理论基础。

https://cdn.ncbi.nlm.nih.gov/pmc/blobs/0101/12196763/7f424cfbec31/plants-14-01802-g010.jpg
https://cdn.ncbi.nlm.nih.gov/pmc/blobs/0101/12196763/55fc92f1a283/plants-14-01802-g001.jpg
https://cdn.ncbi.nlm.nih.gov/pmc/blobs/0101/12196763/0b2e5535fd5b/plants-14-01802-g002.jpg
https://cdn.ncbi.nlm.nih.gov/pmc/blobs/0101/12196763/630f464fb94f/plants-14-01802-g003.jpg
https://cdn.ncbi.nlm.nih.gov/pmc/blobs/0101/12196763/bceb1d45a07e/plants-14-01802-g004.jpg
https://cdn.ncbi.nlm.nih.gov/pmc/blobs/0101/12196763/baa3985ee3e2/plants-14-01802-g005.jpg
https://cdn.ncbi.nlm.nih.gov/pmc/blobs/0101/12196763/f6e90a7e7159/plants-14-01802-g006.jpg
https://cdn.ncbi.nlm.nih.gov/pmc/blobs/0101/12196763/c4f882277c28/plants-14-01802-g007.jpg
https://cdn.ncbi.nlm.nih.gov/pmc/blobs/0101/12196763/d9395661640c/plants-14-01802-g008.jpg
https://cdn.ncbi.nlm.nih.gov/pmc/blobs/0101/12196763/f35ee46e3615/plants-14-01802-g009.jpg
https://cdn.ncbi.nlm.nih.gov/pmc/blobs/0101/12196763/7f424cfbec31/plants-14-01802-g010.jpg
https://cdn.ncbi.nlm.nih.gov/pmc/blobs/0101/12196763/55fc92f1a283/plants-14-01802-g001.jpg
https://cdn.ncbi.nlm.nih.gov/pmc/blobs/0101/12196763/0b2e5535fd5b/plants-14-01802-g002.jpg
https://cdn.ncbi.nlm.nih.gov/pmc/blobs/0101/12196763/630f464fb94f/plants-14-01802-g003.jpg
https://cdn.ncbi.nlm.nih.gov/pmc/blobs/0101/12196763/bceb1d45a07e/plants-14-01802-g004.jpg
https://cdn.ncbi.nlm.nih.gov/pmc/blobs/0101/12196763/baa3985ee3e2/plants-14-01802-g005.jpg
https://cdn.ncbi.nlm.nih.gov/pmc/blobs/0101/12196763/f6e90a7e7159/plants-14-01802-g006.jpg
https://cdn.ncbi.nlm.nih.gov/pmc/blobs/0101/12196763/c4f882277c28/plants-14-01802-g007.jpg
https://cdn.ncbi.nlm.nih.gov/pmc/blobs/0101/12196763/d9395661640c/plants-14-01802-g008.jpg
https://cdn.ncbi.nlm.nih.gov/pmc/blobs/0101/12196763/f35ee46e3615/plants-14-01802-g009.jpg
https://cdn.ncbi.nlm.nih.gov/pmc/blobs/0101/12196763/7f424cfbec31/plants-14-01802-g010.jpg

相似文献

1
Cesium Accumulation Patterns and Stress Response in Hydroponic Radish ( L.): A Physiological-Transcriptomic Study.水培萝卜(L.)中铯的积累模式与应激反应:一项生理转录组学研究
Plants (Basel). 2025 Jun 12;14(12):1802. doi: 10.3390/plants14121802.
2
Enhancement of plant growth in lentil (Lens culinaris) under salinity stress by exogenous application or seed priming with salicylic acid and hydrogen peroxide.通过外源施用或用水杨酸和过氧化氢进行种子引发来提高盐胁迫下小扁豆(Lens culinaris)的植物生长。
PLoS One. 2025 Jun 20;20(6):e0326093. doi: 10.1371/journal.pone.0326093. eCollection 2025.
3
Exogenous acetylsalicylic acid mitigates cold stress in common bean seedlings by enhancing antioxidant defense and photosynthetic efficiency.外源乙酰水杨酸通过增强抗氧化防御和光合效率减轻菜豆幼苗的冷胁迫。
Front Plant Sci. 2025 Jun 13;16:1589706. doi: 10.3389/fpls.2025.1589706. eCollection 2025.
4
The analysis of changes in antioxidant enzyme activity and gene expression caused by lead contamination in .铅污染导致的抗氧化酶活性和基因表达变化分析 。(原句不完整,感觉少了具体研究对象等内容)
Int J Phytoremediation. 2025 Jun 28:1-14. doi: 10.1080/15226514.2025.2521402.
5
Morphophysiological Reconfiguration and Antioxidant Networking Underpin Selenium-Mediated Drought Adaptation in Nicotiana tabacum.形态生理重构与抗氧化网络支撑烟草中硒介导的干旱适应性
ACS Omega. 2025 Jun 5;10(23):24832-24846. doi: 10.1021/acsomega.5c02028. eCollection 2025 Jun 17.
6
Systemic pharmacological treatments for chronic plaque psoriasis: a network meta-analysis.系统性药理学治疗慢性斑块状银屑病:网络荟萃分析。
Cochrane Database Syst Rev. 2021 Apr 19;4(4):CD011535. doi: 10.1002/14651858.CD011535.pub4.
7
Systemic pharmacological treatments for chronic plaque psoriasis: a network meta-analysis.慢性斑块状银屑病的全身药理学治疗:一项网状Meta分析。
Cochrane Database Syst Rev. 2020 Jan 9;1(1):CD011535. doi: 10.1002/14651858.CD011535.pub3.
8
Cadmium phytotoxicity, related physiological changes in Pontederia cordata: antioxidative, osmoregulatory substances, phytochelatins, photosynthesis, and chlorophyll fluorescence.镉的植物毒性,水鳖生理变化与之相关:抗氧化、渗透调节物质、植物螯合肽、光合作用和叶绿素荧光。
Environ Sci Pollut Res Int. 2020 Nov;27(33):41596-41608. doi: 10.1007/s11356-020-10002-z. Epub 2020 Jul 20.
9
Arsenic-induced toxicity in Ocimum basilicum L.: A comprehensive analysis of physio-biochemical, microscopic, histochemical, chromatographic, and reactive oxygen species alterations.砷对罗勒的毒性作用:生理生化、微观、组织化学、色谱及活性氧变化的综合分析
Environ Pollut. 2025 Sep 15;381:126579. doi: 10.1016/j.envpol.2025.126579. Epub 2025 Jun 4.
10
Integrated Transcriptome and Metabolome Analyses Reveal Complex Oxidative Damage Mechanisms in Rice Seedling Roots Under Different Carbonate Stresses.整合转录组和代谢组分析揭示不同碳酸盐胁迫下水稻幼苗根系复杂的氧化损伤机制
Antioxidants (Basel). 2025 May 30;14(6):658. doi: 10.3390/antiox14060658.

本文引用的文献

1
New insights into plant physiological responses to uranium: An integrative analysis of autophagy, DNA repair, and antioxidant systems in radish.植物对铀生理反应的新见解:萝卜自噬、DNA修复和抗氧化系统的综合分析
Plant Physiol Biochem. 2025 Apr;221:109641. doi: 10.1016/j.plaphy.2025.109641. Epub 2025 Feb 11.
2
Heavy metal immobilization and radish growth improvement using Ca(OH)-treated cypress biochar in contaminated soil.利用经氢氧化钙处理的柏木生物炭固定重金属并改善污染土壤中萝卜的生长。
Chemosphere. 2024 Jul;360:142385. doi: 10.1016/j.chemosphere.2024.142385. Epub 2024 May 20.
3
Recent trends in the phytoremediation of radionuclide contamination of soil by cesium and strontium: Sources, mechanisms and methods: A comprehensive review.
铯和锶对土壤放射性核素污染的植物修复研究新进展:来源、机制与方法:综述
Chemosphere. 2024 Jul;359:142273. doi: 10.1016/j.chemosphere.2024.142273. Epub 2024 May 13.
4
The 14-3-3 Protein BdGF14a Increases the Transcriptional Regulation Activity of BdbZIP62 to Confer Drought and Salt Resistance in Tobacco.14-3-3蛋白BdGF14a增强BdbZIP62的转录调控活性以赋予烟草抗旱和抗盐性。
Plants (Basel). 2024 Jan 15;13(2):245. doi: 10.3390/plants13020245.
5
Arabidopsis transcriptomic analysis reveals cesium inhibition of root growth involves abscisic acid signaling.拟南芥转录组分析表明,铯抑制根生长涉及脱落酸信号转导。
Planta. 2024 Jan 15;259(2):36. doi: 10.1007/s00425-023-04304-y.
6
Effects of Cesium on Physiological Traits of the Catherine's Moss Hedw.铯对尖叶提灯藓生理特性的影响
Plants (Basel). 2023 Dec 23;13(1):54. doi: 10.3390/plants13010054.
7
Effects of exogenous calcium on growth, chlorophyll fluorescence characteristics and antioxidant system of Fraxinus malacophylla seedlings.外源钙对麻栎实生苗生长、叶绿素荧光特性及抗氧化系统的影响。
Plant Physiol Biochem. 2023 Aug;201:107860. doi: 10.1016/j.plaphy.2023.107860. Epub 2023 Jun 22.
8
Synergistic interplay between ABA-generating bacteria and biochar in the reduction of heavy metal accumulation in radish, pakchoi, and tomato.ABA 产生菌与生物炭协同作用降低萝卜、白菜和番茄中重金属积累。
Environ Pollut. 2023 Sep 15;333:122084. doi: 10.1016/j.envpol.2023.122084. Epub 2023 Jun 23.
9
Improving radish phosphorus utilization efficiency and inhibiting Cd and Pb uptake by using heavy metal-immobilizing and phosphate-solubilizing bacteria.利用重金属固定化和磷溶解细菌提高萝卜磷利用率并抑制 Cd 和 Pb 吸收。
Sci Total Environ. 2023 Apr 10;868:161685. doi: 10.1016/j.scitotenv.2023.161685. Epub 2023 Jan 20.
10
Effects of strontium on the morphological and photosynthetic physiological characteristics of seedlings.锶对幼苗形态及光合生理特性的影响。
Int J Phytoremediation. 2023;25(7):811-821. doi: 10.1080/15226514.2022.2110037. Epub 2022 Aug 12.