Abdel-Rhman Mohamed H, Samir Ghada, Hosny Nasser M
Chemistry Department, Faculty of Science, Mansoura University, Mansoura, Egypt.
Chemistry Department, Faculty of Science, Port Said University, P.O. Box 4252, Port Said, Egypt.
Sci Rep. 2025 Jun 27;15(1):20335. doi: 10.1038/s41598-025-07689-w.
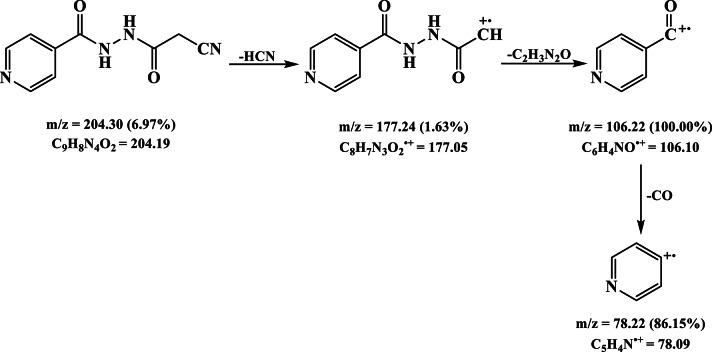
The novel ligand (HL), N'-(2-cyanoacetyl)isonicotinohydrazide, has been synthesized via reacting the isonicotinic hydrazide with 1-cyanoacetyl-3,5-dimethylpyrazole. The keto-form of the free ligand has been evoked from its spectral data. Based on elemental analyses and mass spectra, the ligand formed 1:1 (M: L) metal complexes with the acetate salts of Cu(II), Co(II), Ni(II) and Zn(II). The complexes' spectral analyses revealed that the ligand behaved as a mononegative bidentate via the hydrazonyl N and deprotonated enolized acetyl oxygen. Moreover, the DFT quantum chemical calculations revealed that the ligand had higher HOMO and lower LUMO energies than metal complexes, implying an electron donating character. Furthermore, the in vitro anticancer activity against HepG2 and HCT-116 cell lines displayed that the ligand was more potent than doxorubicin against both cell lines, although the metal complexes displayed lower efficacy.
新型配体(HL),即N'-(2-氰基乙酰基)异烟酰肼,是通过异烟酰肼与1-氰基乙酰基-3,5-二甲基吡唑反应合成的。根据其光谱数据推测出游离配体的酮式结构。基于元素分析和质谱,该配体与铜(II)、钴(II)、镍(II)和锌(II)的醋酸盐形成了1:1(M:L)的金属配合物。配合物的光谱分析表明,配体通过肼基氮和去质子化的烯醇化乙酰氧基表现为单负二齿配体。此外,密度泛函理论(DFT)量子化学计算表明,该配体比金属配合物具有更高的最高占据分子轨道(HOMO)能量和更低的最低未占据分子轨道(LUMO)能量,这意味着其具有供电子特性。此外,对肝癌细胞系HepG2和结肠癌细胞系HCT-116的体外抗癌活性显示,该配体对这两种细胞系的抗癌活性均强于阿霉素,尽管金属配合物的疗效较低。