Suppr超能文献

45岁以下年轻患者肾细胞癌的临床病理特征及预后因素:一项单中心回顾性研究

Clinicopathological Features and Prognostic Factors of Renal Cell Carcinoma in Young Patients Under 45 Years: A Single-Center Retrospective Study.

作者信息

Gao Yu, Yan Haisheng, Zhang Tao, Lu Guanjun, Ma Lianghong

机构信息

Urology Department of General Hospital of Ningxia Medical University, Yinchuan, 750004, People's Republic of China.

The First Clinical Medical College, Ningxia Medical University, Yinchuan, 750004, People's Republic of China.

出版信息

Cancer Manag Res. 2025 Jun 25;17:1233-1242. doi: 10.2147/CMAR.S526583. eCollection 2025.

Abstract

OBJECTIVE

To explore the clinicopathological characteristics, diagnostic approaches, and therapeutic strategies for renal cell carcinoma (RCC) in young patients under 45 years of age, aiming to provide insights for early detection and improved prognosis.

METHODS

We retrospectively analyzed the clinical data of 150 RCC patients aged 18 to 45 years treated at the General Hospital of Ningxia Medical University from 2011 to 2023. Clinicopathological features, surgical outcomes, and long-term follow-up data were evaluated.

RESULTS

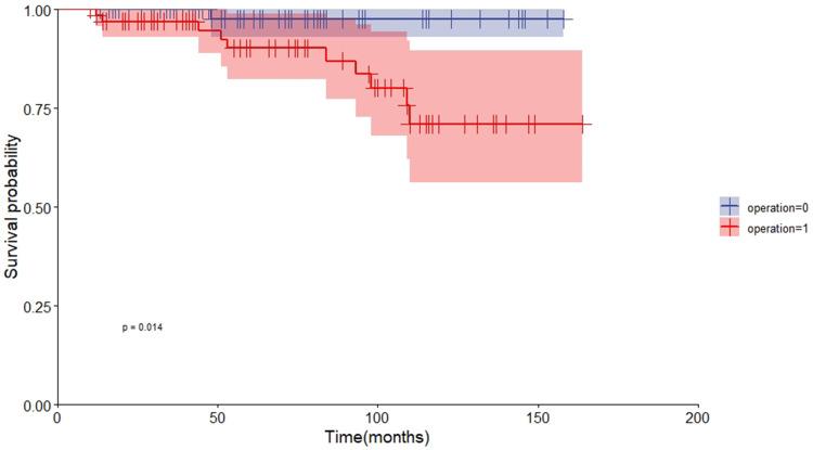
The study included 82 males and 68 females, with a mean age of 38.89 ± 5.56 years. Clear cell RCC was the most common subtype (72.6%), followed by chromophobe RCC (12%) and papillary RCC (4%). Other rare subtypes included XP11.2 translocation/TFE3 gene fusion - associated RCC (2.7%) and collecting duct RCC (0.7%). In terms of clinical staging, 89% of patients were classified as T1 stage. Follow - up data, ranging from 12 to 153 months, showed that 11 patients died of the disease and 14 exhibited metastasis. Postoperative glomerular filtration rate (GFR) and serum creatinine (CREA)) levels were lower than preoperative levels, and patients who underwent radical nephrectomy (RN) had worse renal function than those who underwent partial nephrectomy (PN). The 3 - year and 5 - year survival rates for the asymptomatic group were 100% and 97%, respectively, while for the symptomatic group, they were 94% and 83%, respectively. Single - factor Cox regression analysis revealed that symptoms, hypertension, clinical stage, pathological grade, and pathological type were independent risk factors for overall survival in young renal cancer patients.

CONCLUSION

Young RCC patients present with unique clinicopathological characteristics and prognostic factors. Although the overall prognosis is relatively favorable, rare subtypes such as XP11.2 translocation/TFE3 gene fusion - associated RCC and collecting duct RCC are associated with worse outcomes. Early detection through regular physical examinations and prompt treatment are crucial for improving outcomes. PN should be prioritized when feasible, and effective management of comorbidities like hypertension is essential.

摘要

目的

探讨45岁以下年轻肾细胞癌(RCC)患者的临床病理特征、诊断方法及治疗策略,旨在为早期发现和改善预后提供见解。

方法

回顾性分析2011年至2023年在宁夏医科大学总医院接受治疗的150例年龄在18至45岁的RCC患者的临床资料。评估临床病理特征、手术结果及长期随访数据。

结果

该研究包括82例男性和68例女性,平均年龄为38.89±5.56岁。透明细胞RCC是最常见的亚型(72.6%),其次是嫌色细胞RCC(12%)和乳头状RCC(4%)。其他罕见亚型包括XP11.2易位/TFE3基因融合相关RCC(2.7%)和集合管RCC(0.7%)。在临床分期方面,89%的患者被归类为T1期。随访数据为12至153个月,显示11例患者死于该疾病,14例出现转移。术后肾小球滤过率(GFR)和血清肌酐(CREA)水平低于术前水平,接受根治性肾切除术(RN)的患者肾功能比接受部分肾切除术(PN)的患者更差。无症状组的3年和5年生存率分别为100%和97%,而有症状组分别为94%和83%。单因素Cox回归分析显示,症状、高血压、临床分期、病理分级和病理类型是年轻肾癌患者总生存的独立危险因素。

结论

年轻RCC患者具有独特的临床病理特征和预后因素。尽管总体预后相对良好,但诸如XP11.2易位/TFE3基因融合相关RCC和集合管RCC等罕见亚型与较差的结局相关。通过定期体检进行早期发现和及时治疗对于改善结局至关重要。可行时应优先选择PN,有效管理高血压等合并症至关重要。

https://cdn.ncbi.nlm.nih.gov/pmc/blobs/70eb/12206416/adcd5f782ca1/CMAR-17-1233-g0001.jpg

文献AI研究员

20分钟写一篇综述,助力文献阅读效率提升50倍。

立即体验

用中文搜PubMed

大模型驱动的PubMed中文搜索引擎

马上搜索

文档翻译

学术文献翻译模型,支持多种主流文档格式。

立即体验