• 文献检索
  • 文档翻译
  • 深度研究
  • 学术资讯
  • Suppr Zotero 插件Zotero 插件
  • 邀请有礼
  • 套餐&价格
  • 历史记录
应用&插件
Suppr Zotero 插件Zotero 插件浏览器插件Mac 客户端Windows 客户端微信小程序
定价
高级版会员购买积分包购买API积分包
服务
文献检索文档翻译深度研究API 文档MCP 服务
关于我们
关于 Suppr公司介绍联系我们用户协议隐私条款
关注我们

Suppr 超能文献

核心技术专利:CN118964589B侵权必究
粤ICP备2023148730 号-1Suppr @ 2026

文献检索

告别复杂PubMed语法,用中文像聊天一样搜索,搜遍4000万医学文献。AI智能推荐,让科研检索更轻松。

立即免费搜索

文件翻译

保留排版,准确专业,支持PDF/Word/PPT等文件格式,支持 12+语言互译。

免费翻译文档

深度研究

AI帮你快速写综述,25分钟生成高质量综述,智能提取关键信息,辅助科研写作。

立即免费体验

中年成年人中的2型炎症与心脏代谢疾病

Type 2 inflammation and cardiometabolic disease in middle-aged adults.

作者信息

Haglund Johanna, Sundbom Fredrik, Malinovschi Andrei, Janson Christer

机构信息

Department of Medical Sciences: Respiratory, Allergy and Sleep Research, Uppsala University, Uppsala, Sweden.

Department of Medical Sciences: Clinical Physiology, Uppsala University, Uppsala, Sweden.

出版信息

ERJ Open Res. 2025 Jun 30;11(3). doi: 10.1183/23120541.01085-2024. eCollection 2025 May.

DOI:10.1183/23120541.01085-2024
PMID:40589912
原文链接:https://pmc.ncbi.nlm.nih.gov/articles/PMC12208564/
Abstract

BACKGROUND

Asthma has been associated with a higher risk for cardiometabolic disease. One possible explanation is the activation of type 2 inflammation. We aimed to investigate whether there is an association between type 2 inflammation and cardiometabolic disease and whether the association varies between different biomarkers.

METHODS

This cross-sectional study included a total of 4277 non-smoking participants with data on cardiometabolic disease and type 2 inflammation (blood eosinophil count, exhaled nitric oxide fraction ( ) and IgE sensitisation). The cut-off values of the biomarkers were ≥0.3×10 L for blood eosinophil count, ≥25 ppb for and ≥0.35 PAU·L for IgE sensitisation.

RESULTS

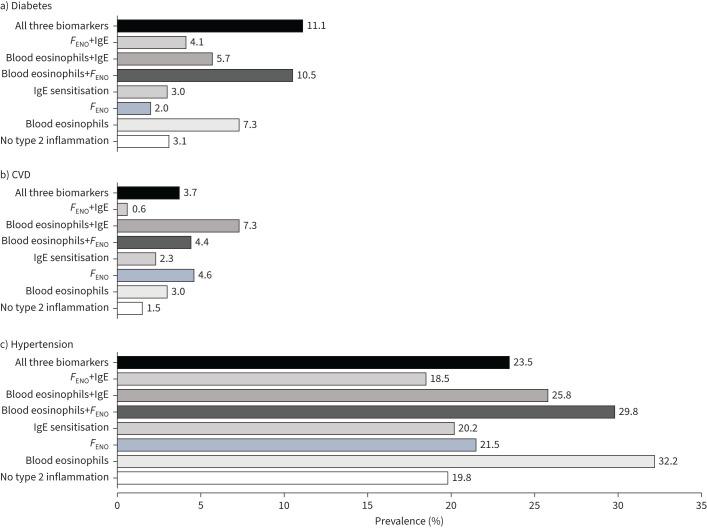
There was a higher prevalence of cardiometabolic disease among participants with any type 2 biomarker: diabetes (5.2% 3.3%; p=0.002), cardiovascular disease (CVD) (3.3% 1.8%; p=0.002) and hypertension (23.7% 20.2%; p=0.007). Diabetes had the strongest association with having all three biomarkers elevated (OR 4.03 (95% CI 1.84-8.87)), followed by elevation of both blood eosinophil count and (OR 2.38 (95% CI 1.15-4.91)) and of only blood eosinophil count (2.02 (95% CI 1.21-3.36); p=0.007). CVD was associated with the combination of elevated blood eosinophil count and IgE sensitisation (OR 4.77 (95% CI 2.11-10.79)) and with elevated (OR 2.57 (95% CI 1.31-5.06)). Hypertension was associated with elevated blood eosinophil count (OR 1.65 (95% CI 1.26-2.18)).

CONCLUSION

We found an association between type 2 inflammation and cardiometabolic disorder, but the association with the combination of markers varied between the diseases.

摘要

背景

哮喘与发生心脏代谢疾病的较高风险相关。一种可能的解释是2型炎症的激活。我们旨在研究2型炎症与心脏代谢疾病之间是否存在关联,以及这种关联在不同生物标志物之间是否有所不同。

方法

这项横断面研究共纳入了4277名不吸烟参与者,他们有关于心脏代谢疾病和2型炎症(血液嗜酸性粒细胞计数、呼出一氧化氮分数( )和IgE致敏)的数据。生物标志物的临界值为血液嗜酸性粒细胞计数≥0.3×10⁹/L, ≥25 ppb,IgE致敏≥0.35 PAU·L。

结果

在具有任何一种2型生物标志物的参与者中,心脏代谢疾病的患病率更高:糖尿病(5.2% 对3.3%;p = 0.002)、心血管疾病(CVD)(3.3% 对1.8%;p = 0.002)和高血压(23.7% 对20.2%;p = 0.007)。糖尿病与所有三种生物标志物升高的关联最强(比值比4.03(95%置信区间1.84 - 8.87)),其次是血液嗜酸性粒细胞计数和 均升高(比值比2.38(95%置信区间1.15 - 4.91))以及仅血液嗜酸性粒细胞计数升高(2.02(95%置信区间1.21 - 3.36);p = 0.007)。CVD与血液嗜酸性粒细胞计数升高和IgE致敏的组合相关(比值比4.77(95%置信区间2.11 - 10.79))以及与 升高相关(比值比2.57(95%置信区间1.31 - 5.06))。高血压与血液嗜酸性粒细胞计数升高相关(比值比1.65(95%置信区间1.26 - 2.18))。

结论

我们发现2型炎症与心脏代谢紊乱之间存在关联,但与标志物组合的关联在不同疾病之间有所不同。

https://cdn.ncbi.nlm.nih.gov/pmc/blobs/0bd4/12208564/51c3e0701838/01085-2024.04.jpg
https://cdn.ncbi.nlm.nih.gov/pmc/blobs/0bd4/12208564/60330b33f796/01085-2024.01.jpg
https://cdn.ncbi.nlm.nih.gov/pmc/blobs/0bd4/12208564/a27d115a035b/01085-2024.02.jpg
https://cdn.ncbi.nlm.nih.gov/pmc/blobs/0bd4/12208564/7b030245f6d0/01085-2024.03.jpg
https://cdn.ncbi.nlm.nih.gov/pmc/blobs/0bd4/12208564/51c3e0701838/01085-2024.04.jpg
https://cdn.ncbi.nlm.nih.gov/pmc/blobs/0bd4/12208564/60330b33f796/01085-2024.01.jpg
https://cdn.ncbi.nlm.nih.gov/pmc/blobs/0bd4/12208564/a27d115a035b/01085-2024.02.jpg
https://cdn.ncbi.nlm.nih.gov/pmc/blobs/0bd4/12208564/7b030245f6d0/01085-2024.03.jpg
https://cdn.ncbi.nlm.nih.gov/pmc/blobs/0bd4/12208564/51c3e0701838/01085-2024.04.jpg

相似文献

1
Type 2 inflammation and cardiometabolic disease in middle-aged adults.中年成年人中的2型炎症与心脏代谢疾病
ERJ Open Res. 2025 Jun 30;11(3). doi: 10.1183/23120541.01085-2024. eCollection 2025 May.
2
Inflammatory and clinical risk factors for asthma attacks (ORACLE2): a patient-level meta-analysis of control groups of 22 randomised trials.哮喘发作的炎症和临床危险因素(ORACLE2):22项随机试验对照组的患者水平荟萃分析。
Lancet Respir Med. 2025 Jun;13(6):505-516. doi: 10.1016/S2213-2600(25)00037-2. Epub 2025 Apr 8.
3
Sertindole for schizophrenia.用于治疗精神分裂症的舍吲哚。
Cochrane Database Syst Rev. 2005 Jul 20;2005(3):CD001715. doi: 10.1002/14651858.CD001715.pub2.
4
Impact of residual disease as a prognostic factor for survival in women with advanced epithelial ovarian cancer after primary surgery.原发性手术后晚期上皮性卵巢癌患者残留病灶对生存预后的影响。
Cochrane Database Syst Rev. 2022 Sep 26;9(9):CD015048. doi: 10.1002/14651858.CD015048.pub2.
5
Signs and symptoms to determine if a patient presenting in primary care or hospital outpatient settings has COVID-19.在基层医疗机构或医院门诊环境中,如果患者出现以下症状和体征,可判断其是否患有 COVID-19。
Cochrane Database Syst Rev. 2022 May 20;5(5):CD013665. doi: 10.1002/14651858.CD013665.pub3.
6
Systemic pharmacological treatments for chronic plaque psoriasis: a network meta-analysis.慢性斑块状银屑病的全身药理学治疗:一项网状荟萃分析。
Cochrane Database Syst Rev. 2017 Dec 22;12(12):CD011535. doi: 10.1002/14651858.CD011535.pub2.
7
Prophylactic platelet transfusion for prevention of bleeding in patients with haematological disorders after chemotherapy and stem cell transplantation.预防性血小板输注用于预防血液系统疾病患者化疗和干细胞移植后的出血。
Cochrane Database Syst Rev. 2012 May 16;2012(5):CD004269. doi: 10.1002/14651858.CD004269.pub3.
8
Effects of a gluten-reduced or gluten-free diet for the primary prevention of cardiovascular disease.减少或无麸质饮食对心血管疾病一级预防的影响。
Cochrane Database Syst Rev. 2022 Feb 24;2(2):CD013556. doi: 10.1002/14651858.CD013556.pub2.
9
Exhaled nitric oxide levels to guide treatment for children with asthma.呼出一氧化氮水平用于指导儿童哮喘治疗。
Cochrane Database Syst Rev. 2016 Nov 9;11(11):CD011439. doi: 10.1002/14651858.CD011439.pub2.
10
Systemic pharmacological treatments for chronic plaque psoriasis: a network meta-analysis.系统性药理学治疗慢性斑块状银屑病:网络荟萃分析。
Cochrane Database Syst Rev. 2021 Apr 19;4(4):CD011535. doi: 10.1002/14651858.CD011535.pub4.

本文引用的文献

1
Rethinking blood eosinophil counts: Epidemiology, associated chronic diseases, and increased risks of cardiovascular disease.重新审视血液嗜酸性粒细胞计数:流行病学、相关慢性疾病及心血管疾病风险增加
J Allergy Clin Immunol Glob. 2022 Nov;1(4):233-240. doi: 10.1016/j.jacig.2022.09.001. Epub 2022 Sep 12.
2
Meta-Analysis of the Association Between Asthma and the Risk of Stroke.哮喘与中风风险关联的荟萃分析
Front Neurol. 2022 Jun 24;13:900438. doi: 10.3389/fneur.2022.900438. eCollection 2022.
3
The impact of type 2 immunity and allergic diseases in atherosclerosis.
2 型免疫和过敏性疾病对动脉粥样硬化的影响。
Allergy. 2022 Nov;77(11):3249-3266. doi: 10.1111/all.15426. Epub 2022 Jul 18.
4
The role of immunoglobulin E and mast cells in hypertension.免疫球蛋白 E 和肥大细胞在高血压中的作用。
Cardiovasc Res. 2022 Nov 10;118(14):2985-2999. doi: 10.1093/cvr/cvac010.
5
Inflammation in obesity, diabetes, and related disorders.肥胖、糖尿病及相关紊乱中的炎症。
Immunity. 2022 Jan 11;55(1):31-55. doi: 10.1016/j.immuni.2021.12.013.
6
Global Initiative for Asthma Strategy 2021: executive summary and rationale for key changes.全球哮喘倡议 2021 战略:执行摘要和关键变更的理由。
Eur Respir J. 2021 Dec 31;59(1). doi: 10.1183/13993003.02730-2021. Print 2022 Jan.
7
Importance of type and degree of IgE sensitisation for defining fractional exhaled nitric oxide reference values.IgE 致敏类型和程度对定义呼出气一氧化氮参考值的重要性。
Respir Med. 2021 Nov;188:106621. doi: 10.1016/j.rmed.2021.106621. Epub 2021 Sep 21.
8
Blood eosinophil counts in the general population and airways disease: a comprehensive review and meta-analysis.人群中血液嗜酸性粒细胞计数与气道疾病:全面综述和荟萃分析。
Eur Respir J. 2022 Jan 13;59(1). doi: 10.1183/13993003.04590-2020. Print 2022 Jan.
9
The influence of individual characteristics and non-respiratory diseases on blood eosinophil count.个体特征和非呼吸道疾病对血液嗜酸性粒细胞计数的影响。
Clin Transl Allergy. 2021 Jun 3;11(4):e12036. doi: 10.1002/clt2.12036. eCollection 2021 Jun.
10
The basic immunology of asthma.哮喘的基础免疫学。
Cell. 2021 Mar 18;184(6):1469-1485. doi: 10.1016/j.cell.2021.02.016. Epub 2021 Mar 11.