Suppr超能文献

墨西哥人群中碳水化合物代谢基因单核苷酸多态性与胰岛素抵抗指标的关联

Association of SNPs in carbohydrate metabolism genes with insulin resistance indicators in the Mexican population.

作者信息

Méndez-García Andrea, Aguilar-Galarza Adriana, García-Muñoz Willebaldo, Araujo-Mendoza Juan Brandon, García-Gasca Teresa, Anaya-Loyola Miriam Aracely, Kuri-García Aarón, Veyna-Salazar Nerina, Haddad-Talancón Lorenza, de Lourdes Anzures-Cortés Ma, Moreno-Celis Ulisses, Rodríguez-García Víctor Manuel

机构信息

Escuela de Ingeniería y Ciencias, Tecnologico de Monterrey, 76130, San Pablo, Querétaro, Mexico.

Facultad de Ciencias Naturales, Universidad Autónoma de Querétaro, 76230, Juriquilla, Querétaro, Mexico.

出版信息

Nutr Metab (Lond). 2025 Jul 1;22(1):65. doi: 10.1186/s12986-025-00926-z.

Abstract

INTRODUCTION

Insulin resistance (IR) is a key feature in the pathophysiology of metabolic disorders such as type 2 diabetes mellitus (T2DM) and obesity, both of which have a high prevalence in the Mexican population. Genetic predisposition plays a critical role in the development of IR, particularly through variants in carbohydrate metabolism genes. However, the specific contributions of these genetic factors in young Mexicans remain poorly characterized.

OBJECTIVES

This study aimed to identify associations between single nucleotide polymorphisms (SNPs) in carbohydrate metabolism-related genes and insulin resistance markers in a young Mexican population. Additionally, we sought to identify novel genetic variants that may contribute to metabolic risk and explore sex-specific genetic effects.

METHODS

A genome-wide association study was conducted on 455 urban college students from Mexico. A total of 430 SNPs related to carbohydrate metabolism were genotyped. Clinical markers of IR, including fasting glucose, insulin, the homeostasis model assessment for insulin resistance (HOMA-IR), body mass index (BMI), body fat percentage (BF%), and waist circumference (WC), were evaluated. Associations between SNPs and metabolic traits were analyzed using logistic regression models adjusted for relevant covariates. Bonferroni correction was applied to account for multiple testing.

RESULTS

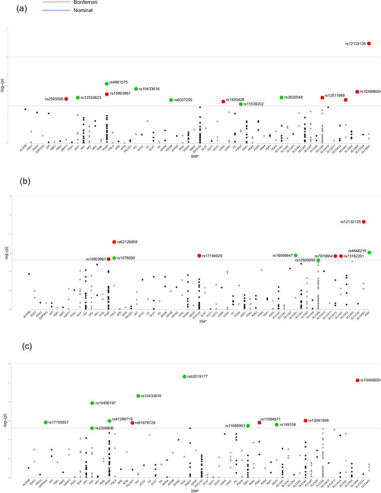
Several SNPs were significantly associated with IR-related traits. SNPs in glucose metabolism genes, including GCK (rs1799884), SLC2 A9 (rs1122141), and IDH3B (rs6037255), were linked to fasting glucose levels, with IDH3B showing the strongest effect (OR 12.17, p = 0.0144). Variants in insulin-related genes, such as SLC2 A9, PFKP (rs3814591), and SLC45 A1 (rs12132135), were associated with elevated insulin and HOMA-IR. Adiposity-related SNPs, including those in PDK3 (rs7889665), PGK1 (rs2076630), and IDH2 (rs62019177), influenced body fat percentage and BMI. Notably, the novel variant rs77487659 (PGLS) was significantly associated with IR, particularly in women (OR 5.5, p = 0.00005), highlighting a potential sex-specific effect. The SLC45 A1 variant rs12132135 demonstrated significant associations with multiple metabolic traits, including BMI, WC, and insulin resistance.

CONCLUSION

This study provides a comprehensive genetic analysis of IR-related traits in young Mexicans, highlighting both previously reported and novel associations. The findings suggest that genetic predisposition plays an important role in metabolic risk, with potential implications for early screening and personalized interventions. Sex-specific effects emphasize the need for tailored approaches in genetic risk assessment. Future research should focus on functional validation of these SNPs and their integration into precision medicine strategies for metabolic disease prevention.

摘要

引言

胰岛素抵抗(IR)是2型糖尿病(T2DM)和肥胖等代谢紊乱病理生理学的关键特征,这两种疾病在墨西哥人群中都有很高的患病率。遗传易感性在IR的发生发展中起关键作用,特别是通过碳水化合物代谢基因的变异。然而,这些遗传因素在年轻墨西哥人中的具体作用仍未得到充分表征。

目的

本研究旨在确定年轻墨西哥人群中碳水化合物代谢相关基因的单核苷酸多态性(SNP)与胰岛素抵抗标志物之间的关联。此外,我们试图识别可能导致代谢风险的新型遗传变异,并探索性别特异性遗传效应。

方法

对455名来自墨西哥城市的大学生进行了全基因组关联研究。对总共430个与碳水化合物代谢相关的SNP进行基因分型。评估了IR的临床标志物,包括空腹血糖、胰岛素、胰岛素抵抗稳态模型评估(HOMA-IR)、体重指数(BMI)、体脂百分比(BF%)和腰围(WC)。使用针对相关协变量进行调整的逻辑回归模型分析SNP与代谢特征之间的关联。采用Bonferroni校正来处理多重检验。

结果

几个SNP与IR相关特征显著相关。葡萄糖代谢基因中的SNP,包括GCK(rs1799884)、SLC2A9(rs1122141)和IDH3B(rs6037255),与空腹血糖水平相关,其中IDH3B显示出最强的效应(OR 12.17,p = 0.0144)。胰岛素相关基因的变异,如SLC2A9、PFKP(rs3814591)和SLC45A1(rs12132135),与胰岛素升高和HOMA-IR相关。与肥胖相关的SNP,包括PDK3(rs7889665)、PGK1(rs2076630)和IDH2(rs62019177)中的SNP,影响体脂百分比和BMI。值得注意的是,新型变异rs77487659(PGLS)与IR显著相关,特别是在女性中(OR 5.5,p = 0.00005),突出了潜在的性别特异性效应。SLC45A1变异rs12132135与多种代谢特征显著相关,包括BMI、WC和胰岛素抵抗。

结论

本研究对年轻墨西哥人中与IR相关的特征进行了全面的遗传分析,突出了先前报道的和新的关联。研究结果表明,遗传易感性在代谢风险中起重要作用,对早期筛查和个性化干预具有潜在意义。性别特异性效应强调了在遗传风险评估中采用针对性方法的必要性。未来的研究应专注于这些SNP的功能验证及其纳入代谢疾病预防的精准医学策略。

https://cdn.ncbi.nlm.nih.gov/pmc/blobs/0bcd/12210724/dd5856ac91fd/12986_2025_926_Fig1_HTML.jpg

文献检索

告别复杂PubMed语法,用中文像聊天一样搜索,搜遍4000万医学文献。AI智能推荐,让科研检索更轻松。

立即免费搜索

文件翻译

保留排版,准确专业,支持PDF/Word/PPT等文件格式,支持 12+语言互译。

免费翻译文档

深度研究

AI帮你快速写综述,25分钟生成高质量综述,智能提取关键信息,辅助科研写作。

立即免费体验