• 文献检索
  • 文档翻译
  • 深度研究
  • 学术资讯
  • Suppr Zotero 插件Zotero 插件
  • 邀请有礼
  • 套餐&价格
  • 历史记录
应用&插件
Suppr Zotero 插件Zotero 插件浏览器插件Mac 客户端Windows 客户端微信小程序
定价
高级版会员购买积分包购买API积分包
服务
文献检索文档翻译深度研究API 文档MCP 服务
关于我们
关于 Suppr公司介绍联系我们用户协议隐私条款
关注我们

Suppr 超能文献

核心技术专利:CN118964589B侵权必究
粤ICP备2023148730 号-1Suppr @ 2026

文献检索

告别复杂PubMed语法,用中文像聊天一样搜索,搜遍4000万医学文献。AI智能推荐,让科研检索更轻松。

立即免费搜索

文件翻译

保留排版,准确专业,支持PDF/Word/PPT等文件格式,支持 12+语言互译。

免费翻译文档

深度研究

AI帮你快速写综述,25分钟生成高质量综述,智能提取关键信息,辅助科研写作。

立即免费体验

8岁儿童的脑白质发育与母亲孕期心理健康状况相关。

Brain white matter development in 8-year-old children is associated with maternal mental health during pregnancy.

作者信息

Huang Yali, Koscik Timothy R, Andres Aline, Bellando Jayne, Glasier Charles M, Ram Adhitya, Ou Xiawei

机构信息

Department of Radiology, University of Arkansas for Medical Sciences, Little Rock, AR, United States.

Department of Pediatrics, University of Arkansas for Medical Sciences, Little Rock, AR, United States.

出版信息

Front Hum Neurosci. 2025 Jun 18;19:1603022. doi: 10.3389/fnhum.2025.1603022. eCollection 2025.

DOI:10.3389/fnhum.2025.1603022
PMID:40606496
原文链接:https://pmc.ncbi.nlm.nih.gov/articles/PMC12213767/
Abstract

BACKGROUND

Maternal mental health during pregnancy can influence fetal brain development, yet its long-term effects remain unclear. This study investigates the association between prenatal maternal depression and anxiety symptoms and white matter microstructure in the limbic system of 8-year-old children.

METHODS

Fifty-one healthy pregnant women and typically developing 8-year-old children dyads were included in this prospective and longitudinal study. Maternal depression and anxiety symptoms were assessed at 12, 24, and 36 weeks of gestation using the Beck Depression Inventory-II (BDI-II) and State-Trait Anxiety Inventory (STAI). Their children underwent a brain MRI examination at age 8 years with multi-shell diffusion imaging analyzed using diffusion tensor imaging (DTI), diffusional kurtosis imaging (DKI), and neurite orientation dispersion and density imaging (NODDI) models for a multi-aspect evaluation of microstructural development. Key diffusion metrics (FA: fractional anisotropy; MD: mean diffusivity; AD: axial diffusivity; RD: radial diffusivity; MK: mean kurtosis; AK: axial kurtosis; RK: radial kurtosis; NDI: neurite density index; ODI: orientation dispersion index; FWF: free water fraction) were extracted from the limbic system white matter structures including cingulum, fornix, and uncinate fasciculus, which are closely associated with emotional and motivational processes.

RESULTS

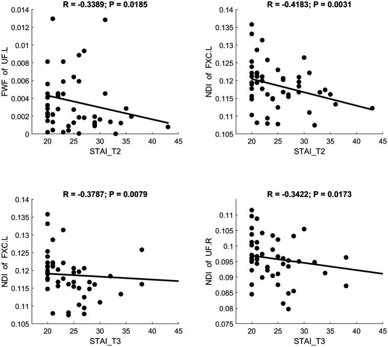
Higher maternal depression symptom scores were associated with lower FA ( = -0.3126,  = 0.0305, in CGH.R;  = -0.3025,  = 0.0366, in FXC.R) and MK ( = -0.3284,  = 0.0227, in CGG.R) and higher MD ( = 0.2879,  = 0.0472, in CGH.R) and RD ( = 0.3451,  = 0.0163, in CGH.R;  = 0.3456,  = 0.0161, in FXC.R) in predominately right-hemisphere limbic tracts. Higher maternal anxiety symptom scores were associated with increased MD ( = 0.2897,  = 0.0458, in FXC.L;  = 0.2859,  = 0.0488, in UF.L) and RD ( = 0.3168,  = 0.0283, in FXC.L), decreased NDI ( = -0.3787,  = 0.0079, in FXC.L;  = -0.3422,  = 0.0173, in UF.R), and increased AK ( = 0.3154,  = 0.029, in UF.L) in predominately left-hemisphere limbic tracts.

CONCLUSION

Our findings suggest that maternal depression and anxiety during pregnancy may have long-lasting impacts on offspring white matter microstructure maturation in the limbic system. This highlights the need for prenatal mental health screening and potential interventions to promote brain development and support optimal neurodevelopmental outcomes in children.

摘要

背景

孕期母亲的心理健康会影响胎儿大脑发育,但其长期影响尚不清楚。本研究调查产前母亲抑郁和焦虑症状与8岁儿童边缘系统白质微观结构之间的关联。

方法

本前瞻性纵向研究纳入了51对健康孕妇及其发育正常的8岁儿童。在妊娠12、24和36周时,使用贝克抑郁量表第二版(BDI-II)和状态-特质焦虑量表(STAI)评估母亲的抑郁和焦虑症状。他们的孩子在8岁时接受脑部MRI检查,采用扩散张量成像(DTI)、扩散峰度成像(DKI)和神经突方向离散度与密度成像(NODDI)模型对多壳扩散成像进行分析,以多方面评估微观结构发育。从与情绪和动机过程密切相关的边缘系统白质结构(包括扣带、穹窿和钩束)中提取关键扩散指标(FA:分数各向异性;MD:平均扩散率;AD:轴向扩散率;RD:径向扩散率;MK:平均峰度;AK:轴向峰度;RK:径向峰度;NDI:神经突密度指数;ODI:方向离散度指数;FWF:自由水分数)。

结果

母亲抑郁症状得分较高与主要位于右半球的边缘束中较低的FA(在CGH.R中,β = -0.3126,P = 0.0305;在FXC.R中,β = -0.3025,P = 0.0366)和MK(在CGG.R中,β = -0.3284,P = 0.0227)以及较高的MD(在CGH.R中,β = 0.2879,P = 0.0472)和RD(在CGH.R中,β = 0.3451,P = 0.0163;在FXC.R中,β = 0.3456,P = 0.0161)相关。母亲焦虑症状得分较高与主要位于左半球的边缘束中增加的MD(在FXC.L中,β = 0.2897,P = 0.0458;在UF.L中,β = 0.2859,P = 0.0488)和RD(在FXC.L中,β = 0.3168,P = 0.0283)、降低的NDI(在FXC.L中,β = -0.3787,P = 0.0079;在UF.R中,β = -0.3422,P = 0.0173)以及增加的AK(在UF.L中,β = 0.3154,P = 0.029)相关。

结论

我们的研究结果表明,孕期母亲的抑郁和焦虑可能对后代边缘系统白质微观结构成熟产生长期影响。这凸显了产前心理健康筛查和潜在干预措施的必要性,以促进大脑发育并支持儿童实现最佳神经发育结果。

https://cdn.ncbi.nlm.nih.gov/pmc/blobs/1e3c/12213767/f6bce35dceec/fnhum-19-1603022-g008.jpg
https://cdn.ncbi.nlm.nih.gov/pmc/blobs/1e3c/12213767/540d1bfd446a/fnhum-19-1603022-g001.jpg
https://cdn.ncbi.nlm.nih.gov/pmc/blobs/1e3c/12213767/dc1467ef798f/fnhum-19-1603022-g002.jpg
https://cdn.ncbi.nlm.nih.gov/pmc/blobs/1e3c/12213767/63b656f6f288/fnhum-19-1603022-g003.jpg
https://cdn.ncbi.nlm.nih.gov/pmc/blobs/1e3c/12213767/e49351c6b3c6/fnhum-19-1603022-g004.jpg
https://cdn.ncbi.nlm.nih.gov/pmc/blobs/1e3c/12213767/22feb83995d1/fnhum-19-1603022-g005.jpg
https://cdn.ncbi.nlm.nih.gov/pmc/blobs/1e3c/12213767/21d97d6e9259/fnhum-19-1603022-g006.jpg
https://cdn.ncbi.nlm.nih.gov/pmc/blobs/1e3c/12213767/464972836ac2/fnhum-19-1603022-g007.jpg
https://cdn.ncbi.nlm.nih.gov/pmc/blobs/1e3c/12213767/f6bce35dceec/fnhum-19-1603022-g008.jpg
https://cdn.ncbi.nlm.nih.gov/pmc/blobs/1e3c/12213767/540d1bfd446a/fnhum-19-1603022-g001.jpg
https://cdn.ncbi.nlm.nih.gov/pmc/blobs/1e3c/12213767/dc1467ef798f/fnhum-19-1603022-g002.jpg
https://cdn.ncbi.nlm.nih.gov/pmc/blobs/1e3c/12213767/63b656f6f288/fnhum-19-1603022-g003.jpg
https://cdn.ncbi.nlm.nih.gov/pmc/blobs/1e3c/12213767/e49351c6b3c6/fnhum-19-1603022-g004.jpg
https://cdn.ncbi.nlm.nih.gov/pmc/blobs/1e3c/12213767/22feb83995d1/fnhum-19-1603022-g005.jpg
https://cdn.ncbi.nlm.nih.gov/pmc/blobs/1e3c/12213767/21d97d6e9259/fnhum-19-1603022-g006.jpg
https://cdn.ncbi.nlm.nih.gov/pmc/blobs/1e3c/12213767/464972836ac2/fnhum-19-1603022-g007.jpg
https://cdn.ncbi.nlm.nih.gov/pmc/blobs/1e3c/12213767/f6bce35dceec/fnhum-19-1603022-g008.jpg

相似文献

1
Brain white matter development in 8-year-old children is associated with maternal mental health during pregnancy.8岁儿童的脑白质发育与母亲孕期心理健康状况相关。
Front Hum Neurosci. 2025 Jun 18;19:1603022. doi: 10.3389/fnhum.2025.1603022. eCollection 2025.
2
Disentangling in-vivo microstructural changes of white and gray matter in mild cognitive impairment and Alzheimer's disease: a systematic review and meta-analysis.解析轻度认知障碍和阿尔茨海默病患者脑白质和灰质的体内微观结构变化:系统评价和荟萃分析。
Brain Imaging Behav. 2023 Dec;17(6):764-777. doi: 10.1007/s11682-023-00805-2. Epub 2023 Sep 27.
3
How gliomas affect white matter tract bundles associated with the limbic cortex.神经胶质瘤如何影响与边缘皮质相关的白质束。
Neuroimage Rep. 2025 Mar 23;5(2):100256. doi: 10.1016/j.ynirp.2025.100256. eCollection 2025 Jun.
4
Cardiac diffusion kurtosis imaging in the human heart in vivo using 300 mT/m gradients.使用300 mT/m梯度在人体心脏中进行活体心脏扩散峰度成像。
Magn Reson Med. 2025 Nov;94(5):2100-2112. doi: 10.1002/mrm.30626. Epub 2025 Jul 3.
5
Associations among white matter microstructural changes and the development of emotional reactivity and regulation in infancy.白质微观结构变化与婴儿期情绪反应性和调节能力发展之间的关联。
Mol Psychiatry. 2025 Apr 23. doi: 10.1038/s41380-025-03025-w.
6
Evolution of magnetic resonance diffusion tensor imaging metrics in the normal fetal brain.正常胎儿脑磁共振扩散张量成像指标的演变
Ultrasound Obstet Gynecol. 2025 Jul 3. doi: 10.1002/uog.29275.
7
Translating state-of-the-art spinal cord MRI techniques to clinical use: A systematic review of clinical studies utilizing DTI, MT, MWF, MRS, and fMRI.将最先进的脊髓磁共振成像技术应用于临床:对利用扩散张量成像(DTI)、磁化传递成像(MT)、髓鞘水分数成像(MWF)、磁共振波谱成像(MRS)和功能磁共振成像(fMRI)的临床研究的系统评价
Neuroimage Clin. 2015 Dec 4;10:192-238. doi: 10.1016/j.nicl.2015.11.019. eCollection 2016.
8
Gray matter microstructure alterations with excess extra-cellular free water contribute to cognitive dysfunction in bipolar disorder: A comparative analysis with white matter pathology.伴有细胞外游离水过多的灰质微结构改变导致双相情感障碍的认知功能障碍:与白质病理学的比较分析。
Neuroimage. 2025 Aug 15;317:121342. doi: 10.1016/j.neuroimage.2025.121342. Epub 2025 Jun 19.
9
Role of Sleep and White Matter in the Link Between Screen Time and Depression in Childhood and Early Adolescence.睡眠和白质在儿童期及青少年早期屏幕使用时间与抑郁之间联系中的作用。
JAMA Pediatr. 2025 Jun 23. doi: 10.1001/jamapediatrics.2025.1718.
10
The gray matter microstructure and psychological resilience in patients with depression: A preliminary study using DSI/NODDI imaging.
J Psychiatr Res. 2025 Sep;189:335-342. doi: 10.1016/j.jpsychires.2025.06.032. Epub 2025 Jun 19.

本文引用的文献

1
Implementing ABCD study MRI sequences for multi-site cohort studies: Practical guide to necessary steps, preprocessing methods, and challenges.为多中心队列研究实施ABCD研究MRI序列:必要步骤、预处理方法及挑战的实用指南
MethodsX. 2024 Jun 1;12:102789. doi: 10.1016/j.mex.2024.102789. eCollection 2024 Jun.
2
Brain structural and functional outcomes in the offspring of women experiencing psychological distress during pregnancy.孕期经历心理困扰的女性的后代的大脑结构和功能结果。
Mol Psychiatry. 2024 Jul;29(7):2223-2240. doi: 10.1038/s41380-024-02449-0. Epub 2024 Feb 28.
3
Assessment of prenatal depression among U.S. pregnant women without access to paid sick leave and regular place of care: National Health Interview Survey of U.S.-born and non-U.S.-born.
对无法享受带薪病假和固定医疗场所的美国孕妇进行产前抑郁评估:美国本土出生和非美国本土出生人群的国民健康访谈调查
Prev Med Rep. 2023 Jul 14;35:102322. doi: 10.1016/j.pmedr.2023.102322. eCollection 2023 Oct.
4
White Matter Abnormalities and Cognitive Deficit After Mild Traumatic Brain Injury: Comparing DTI, DKI, and NODDI.轻度创伤性脑损伤后的白质异常与认知缺陷:比较扩散张量成像(DTI)、扩散峰度成像(DKI)和神经突方向离散与密度成像(NODDI)
Front Neurol. 2022 Mar 10;13:803066. doi: 10.3389/fneur.2022.803066. eCollection 2022.
5
Prenatal depression exposure alters white matter integrity and neurodevelopment in early childhood.产前抑郁暴露会改变幼儿期的白质完整性和神经发育。
Brain Imaging Behav. 2022 Jun;16(3):1324-1336. doi: 10.1007/s11682-021-00616-3. Epub 2022 Jan 9.
6
Diffusional Kurtosis Imaging in the Diffusion Imaging in Python Project.Python项目中扩散成像中的扩散峰度成像。
Front Hum Neurosci. 2021 Jul 19;15:675433. doi: 10.3389/fnhum.2021.675433. eCollection 2021.
7
Brain Development From Newborn to Adolescence: Evaluation by Neurite Orientation Dispersion and Density Imaging.从新生儿到青少年的脑发育:通过神经突方向离散度和密度成像进行评估
Front Hum Neurosci. 2021 Mar 15;15:616132. doi: 10.3389/fnhum.2021.616132. eCollection 2021.
8
Maternal Anxiety and Depression during Late Pregnancy and Newborn Brain White Matter Development.孕妇晚期焦虑和抑郁与新生儿脑白质发育。
AJNR Am J Neuroradiol. 2020 Oct;41(10):1908-1915. doi: 10.3174/ajnr.A6759. Epub 2020 Sep 10.
9
Magnitude and timing of major white matter tract maturation from infancy through adolescence with NODDI.利用 NODDI 研究从婴儿期到青春期主要白质束的发育程度和时间。
Neuroimage. 2020 May 15;212:116672. doi: 10.1016/j.neuroimage.2020.116672. Epub 2020 Feb 21.
10
Detecting normal pediatric brain development with diffusional kurtosis imaging.应用扩散峰度成像技术检测正常小儿脑发育。
Eur J Radiol. 2019 Nov;120:108690. doi: 10.1016/j.ejrad.2019.108690. Epub 2019 Sep 25.