Suppr超能文献

生长发育期患者Ⅲ类错颌正畸治疗中骨支抗与传统支抗的临床疗效:系统评价与Meta分析

Clinical Outcomes of Skeletal Anchorage Versus Conventional Anchorage in the Class III Orthopaedic Treatment in Growing Patients: A Systematic Review and Meta-Analysis.

作者信息

Podda Rachele, Imondi Francesca, De Stefano Adriana Assunta, Horodynski Martina, Vernucci Roberto Antonio, Galluccio Gabriella

机构信息

Sapienza University of Rome, Department of Odontostomatological and Maxillofacial Sciences, Rome, Italy.

出版信息

Turk J Orthod. 2025 Jul 2;38(2):133-141. doi: 10.4274/TurkJOrthod.2025.2024.38.

Abstract

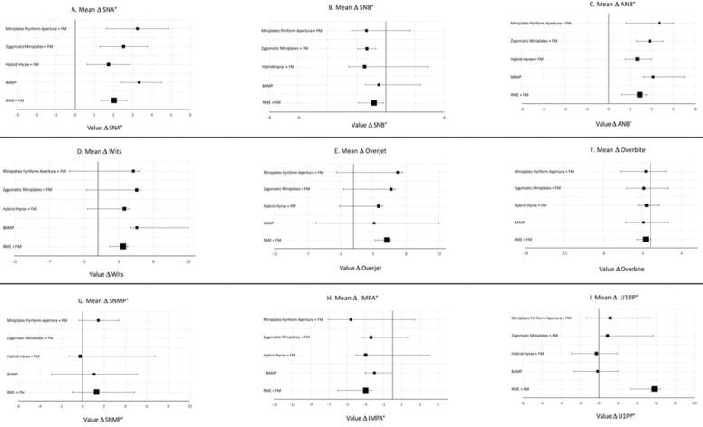
The aim of this systematic review was to evaluate the clinical outcomes of skeletal anchorage, compared to conventional anchorage, in the treatment of skeletal Class III malocclusion in growing patients. A systematic review was conducted following PRISMA guidelines. A specific search strategy was developed for PubMed, Web of Science, Embase, and Cochrane searching for randomized controlled trials and non-randomized clinical trials. Eleven interventions were assessed, three employing conventional anchorage (group A) and eight skeletal anchorage (group B). Nine pre-treatment (T0) and post-treatment (T1) mean cephalometric outcomes were statistically polled (SNA, SNB, ANB, Wits, Overjet, Overbite, SNMP, IMPA, U1PP). In total, 196 studies were identified, 17 studies were included in the qualitative and quantitative analysis. In the skeletal anchorage group, a greater increase in both ANB (+2.511°) and Wits (+4.691 mm) were observed and the increase in SNMP resulted well-controlled (+0.758°). The conventional anchorage group showed higher dentoalveolar side effects: increase in U1PP (+5.624°), decrease in IMPA (-0.866°) and increase in overjet (+5.255 mm). Treatments exploiting skeletal anchorage determined a better correction of skeletal Class III, thanks to a combination of greater advancement of the maxilla and more enhanced retrusion of the mandible. In all treatment protocols exploiting dental anchorage, the increase in the inclination of the central incisor resulted significantly greater. Further longitudinal studies are required to evaluate the long-term effects of skeletal anchorage in growing patients.

摘要

本系统评价的目的是评估与传统支抗相比,骨支抗在治疗生长发育期患者骨性III类错牙合畸形中的临床效果。按照PRISMA指南进行系统评价。针对PubMed、Web of Science、Embase和Cochrane制定了特定的检索策略,以搜索随机对照试验和非随机临床试验。评估了11种干预措施,其中3种采用传统支抗(A组),8种采用骨支抗(B组)。对9项治疗前(T0)和治疗后(T1)的平均头影测量结果进行了统计学汇总(SNA、SNB、ANB、Wits、覆盖、覆牙合、SNMP、IMPA、U1PP)。总共识别出196项研究,17项研究纳入定性和定量分析。在骨支抗组中,观察到ANB(增加2.511°)和Wits(增加4.691 mm)均有更大增加,且SNMP的增加得到良好控制(增加0.758°)。传统支抗组显示出更高的牙牙槽副作用:U1PP增加(增加5.624°)、IMPA降低(降低0.866°)和覆盖增加(增加5.255 mm)。由于上颌骨更大程度的前移和下颌骨更明显的后缩相结合,采用骨支抗的治疗对骨性III类错牙合畸形有更好的矫治效果。在所有采用牙支抗的治疗方案中,中切牙倾斜度的增加明显更大。需要进一步的纵向研究来评估骨支抗对生长发育期患者的长期影响。

https://cdn.ncbi.nlm.nih.gov/pmc/blobs/bf08/12236123/0177b37bf857/TurkJOrthod-38-2-133-figure-1.jpg

文献AI研究员

20分钟写一篇综述,助力文献阅读效率提升50倍。

立即体验

用中文搜PubMed

大模型驱动的PubMed中文搜索引擎

马上搜索

文档翻译

学术文献翻译模型,支持多种主流文档格式。

立即体验