Suppr超能文献

腓肠背侧神经在早期糖尿病神经病变临床关联及检测中的应用

Utility of Dorsal Sural Nerve for Clinical Correlation and Detection of Early Diabetic Neuropathy.

作者信息

Gupta Partisha, Sodani Ajoy Kumar, Jain Rahul, Gaur Ashish

机构信息

Department of Neurology, Sri Aurobindo Institute of Medical Sciences, Indore, Madhya Pradesh, India.

Department of Preventive and Social Medicine, Sri Aurobindo Institute of Medical Sciences, Indore, Madhya Pradesh, India.

出版信息

Ann Indian Acad Neurol. 2025 Jul 1;28(4):560-567. doi: 10.4103/aian.aian_1121_24. Epub 2025 Jul 7.

Abstract

BACKGROUND AND OBJECTIVES

Monofilament and tuning fork are commonly applied in clinical testing for distal sensory peripheral neuropathy (DSP). However, a dependable diagnosis of DSP requires nerve conduction studies (NCS). In the present study, we emphasize on the utility of dorsal sural sensory nerve action potential (dsSNAP) abnormality over sural sensory nerve action potential (SNAP) abnormality in detecting early DSP. Furthermore, we study the correlation between the clinical findings and sural SNAP and dsSNAP abnormalities.

METHODS

The study included 101 persons with type 2 diabetes mellitus (T2DM) (PWD; 202 lower extremities [LEs]) aged 18-70 years, with the duration of T2DM being ≥6 months. Normative data was generated from controls (200 LEs). Clinical and electrophysiological findings of the study group were analyzed and discussed in comparison with the normative data. Furthermore, receiver operating characteristic (ROC) curve analysis determined the optimal cut-off for different sensory modalities, and Spearman's correlation tests were applied to analyze the correlation between NCS and clinical parameters.

RESULTS

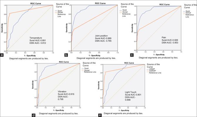
dsSNAP was abnormal in 39.1%, while sural SNAP was abnormal in 9.8% of asymptomatic PWD. Early neuropathy was detectable with subjective losses of 10% in temperature and pain sensations, 20% in touch sensation, and vibration duration <12 sec. Conventionally, the lower limit of normal of SNAP is considered as the cut-off for abnormality in the Electrophysiology (EP) lab. On ROC analysis, we found different optimal cut-offs for different sensory modalities.

CONCLUSIONS

Incorporating dorsal sural nerve into routine NCS enhances the detection of early DSP. Clinical sensory abnormalities, especially temperature and vibration sensation, showed the highest sensitivity and specificity, respectively, in relation to NCS abnormalities. Relying solely on standard institute-based reference SNAP amplitudes may potentially overlook early DSP.

摘要

背景与目的

单丝检查和音叉检查常用于远端感觉性周围神经病(DSP)的临床检测。然而,DSP的可靠诊断需要进行神经传导研究(NCS)。在本研究中,我们强调在检测早期DSP方面,腓肠背侧感觉神经动作电位(dsSNAP)异常比腓肠感觉神经动作电位(SNAP)异常更具实用性。此外,我们研究了临床发现与腓肠SNAP和dsSNAP异常之间的相关性。

方法

本研究纳入了101例年龄在18至70岁之间、2型糖尿病(T2DM)病程≥6个月的患者(202条下肢)。对照组(200条下肢)提供了正常数据。将研究组的临床和电生理结果与正常数据进行分析和讨论。此外,通过受试者操作特征(ROC)曲线分析确定不同感觉模式的最佳截断值,并应用Spearman相关性检验分析NCS与临床参数之间的相关性。

结果

在无症状的T2DM患者中,39.1%的患者dsSNAP异常,而9.8%的患者腓肠SNAP异常。当温度觉和痛觉主观丧失10%、触觉丧失20%且振动持续时间<12秒时,可检测到早期神经病变。传统上,电生理(EP)实验室将SNAP的正常下限作为异常的截断值。通过ROC分析,我们发现不同感觉模式的最佳截断值不同。

结论

将腓肠背侧神经纳入常规NCS可提高早期DSP的检测率。临床感觉异常,尤其是温度觉和振动觉,分别与NCS异常表现出最高的敏感性和特异性。仅依靠基于机构的标准参考SNAP振幅可能会遗漏早期DSP。

https://cdn.ncbi.nlm.nih.gov/pmc/blobs/310d/12393845/2a83017931d7/AIAN-28-560-g001.jpg

文献AI研究员

20分钟写一篇综述,助力文献阅读效率提升50倍。

立即体验

用中文搜PubMed

大模型驱动的PubMed中文搜索引擎

马上搜索

文档翻译

学术文献翻译模型,支持多种主流文档格式。

立即体验