Suppr超能文献

冠状动脉搭桥术后患者应激性高血糖比值与心房颤动发生率的关系:一项基于MIMIC-IV数据库的回顾性研究

Relationship between stress hyperglycemia ratio and the incidence of atrial fibrillation in patients after coronary artery bypass grafting: a retrospective study based on the MIMIC-IV database.

作者信息

Liu Runjia, Li Jiatong, Zeng Jing, Tao Yuxuan, Chen Dong, Li Haixia

机构信息

Department of Cardiology, Guang'anmen Hospital, China Academy of Chinese Medical Sciences, Beijing, People's Republic of China.

Shandong University of Traditional Chinese Medicine, Jinan, China.

出版信息

Diabetol Metab Syndr. 2025 Jul 11;17(1):261. doi: 10.1186/s13098-025-01832-3.

Abstract

BACKGROUND

The stress hyperglycemia ratio (SHR) is a clinical index that quantifies acute stress-induced hyperglycemia by comparing immediate blood glucose levels with chronic glucose control (reflected by HbA1c). It is especially valuable in cardiovascular disease and surgical prognosis. However, there is still a lack of research on the relationship between SHR and new-onset atrial fibrillation (AF) in patients after coronary artery bypass grafting (CABG). This study investigates the impact of postoperative SHR on AF risk following CABG.

METHODS

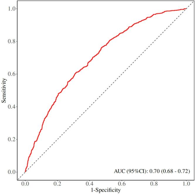
This study is a retrospective cohort analysis conducted through the MIMIC-IV database, which included adult patients who underwent CABG and were admitted to the ICU. These patients were categorized into three distinct groups according to the tertiles of the baseline SHR level, and the primary outcome was the incidence of postoperative atrial fibrillation (POAF). We employed logistic regression models, restricted cubic splines (RCS), threshold effect analysis, ubgroup analysis, Boruta algorithm, lasso algorithm, and receiver operating characteristics (ROC) to analyze the relationship between SHR and POAF incidence comprehensively.

RESULTS

2112 patients undergoing CABG were included in this study, with a median age of 69 years (IQR: 62-76), of whom 1643 (77.79%) were male. Logistic regression results showed that the incidence of AF was significantly increased in patients in the highest third of the SHR group compared with the lowest third group (OR = 1.31, 95%CI = 1.03-1.67; P = 0.0275). SHR was an independent risk factor for the incidence of POAF (OR = 1.63, 95%CI = 1.19-2.23; P = 0.0023). At the same time, RCS analysis showed that SHR was positively and linearly correlated with the incidence of POAF in patients after cardiac surgery (P = 0.009, P for Nonliner = 0.848). Threshold effect analysis identified no significant threshold and further supported a linear relationship between SHR and POAF. In addition, SHR was double-screened by Boruta and Lasso algorithms, indicating that it was statistically and biologically significantly associated with AF after CABG.

CONCLUSION

SHR is significantly related to AF after CABG. As SHR increases, the risk of POAF increases. Incorporating SHR into post-CABG risk assessment enhances AF prediction, offering a valuable reference for clinical decision-making. It may also be a potential biomarker for studying pathological mechanisms in patients after cardiac surgery. In the future, combining multi-omics data with clinical intervention trials is necessary to verify its clinical application value further.

摘要

背景

应激高血糖比值(SHR)是一种临床指标,通过将即时血糖水平与慢性血糖控制情况(由糖化血红蛋白[HbA1c]反映)进行比较,来量化急性应激诱导的高血糖。它在心血管疾病和手术预后方面具有特别重要的价值。然而,关于冠状动脉旁路移植术(CABG)后患者SHR与新发心房颤动(AF)之间的关系仍缺乏研究。本研究调查了CABG术后SHR对AF风险的影响。

方法

本研究是一项通过MIMIC-IV数据库进行的回顾性队列分析,纳入了接受CABG并入住重症监护病房(ICU)的成年患者。根据基线SHR水平的三分位数将这些患者分为三个不同的组,主要结局是术后心房颤动(POAF)的发生率。我们采用逻辑回归模型、限制性立方样条(RCS)、阈值效应分析、亚组分析、Boruta算法、套索算法和受试者工作特征(ROC)来全面分析SHR与POAF发生率之间的关系。

结果

本研究纳入了2112例接受CABG的患者,中位年龄为69岁(四分位间距:62 - 76岁),其中1643例(77.79%)为男性。逻辑回归结果显示,SHR组中处于最高三分位数的患者与最低三分位数组相比,AF发生率显著增加(OR = 1.31,95%CI = 1.03 - 1.67;P = 0.0275)。SHR是POAF发生率的独立危险因素(OR = 1.63,95%CI = 1.19 - 2.23;P = 0.0023)。同时,RCS分析表明,心脏手术后患者的SHR与POAF发生率呈正线性相关(P = 0.009,非线性P = 0.848)。阈值效应分析未发现显著阈值,进一步支持了SHR与POAF之间的线性关系。此外,通过Boruta和套索算法对SHR进行双重筛选,表明其与CABG术后AF在统计学和生物学上具有显著相关性。

结论

CABG术后SHR与AF显著相关。随着SHR升高,POAF风险增加。将SHR纳入CABG术后风险评估可增强AF预测能力,为临床决策提供有价值的参考。它也可能是研究心脏手术后患者病理机制的潜在生物标志物。未来,有必要将多组学数据与临床干预试验相结合,以进一步验证其临床应用价值。

https://cdn.ncbi.nlm.nih.gov/pmc/blobs/ec29/12255109/9076db2d509e/13098_2025_1832_Fig1_HTML.jpg

文献检索

告别复杂PubMed语法,用中文像聊天一样搜索,搜遍4000万医学文献。AI智能推荐,让科研检索更轻松。

立即免费搜索

文件翻译

保留排版,准确专业,支持PDF/Word/PPT等文件格式,支持 12+语言互译。

免费翻译文档

深度研究

AI帮你快速写综述,25分钟生成高质量综述,智能提取关键信息,辅助科研写作。

立即免费体验