Suppr超能文献

老年癌症患者放射治疗疗程的实践水平支出差异

Practice-Level Spending Variation for Radiation Treatment Episodes Among Older Adults With Cancer.

作者信息

Lam Miranda B, Landrum Mary Beth, McWilliams J Michael, Buzzee Benjamin, Wright Alexi A, Keating Nancy L, Landon Bruce E

机构信息

Department of Radiation Oncology, Brigham and Women's Hospital, Dana-Farber Cancer Institute, Boston, Massachusetts.

Department of Health Care Policy, Harvard Medical School, Boston, Massachusetts.

出版信息

JAMA Health Forum. 2025 Jul 3;6(7):e251952. doi: 10.1001/jamahealthforum.2025.1952.

Abstract

IMPORTANCE

Radiation treatments are an essential but expensive component of cancer care.

OBJECTIVE

To elucidate trends in radiation spending and identify factors associated with practice-level variations across the US health care system to inform alternative payment model design.

DESIGN, SETTING, AND PARTICIPANTS: This population-based cross-sectional study analyzed fee-for-service Medicare beneficiaries from 2009 to 2020. Patients were continuously enrolled in fee-for-service Medicare Parts A and B during the 1 year prior through 28 days after a radiation treatment episode. Data were analyzed from January 2023 to September 2024.

EXPOSURES

Medicare beneficiaries with cancer who received radiation therapy.

MAIN OUTCOMES AND MEASURES

Radiation treatment-specific standardized spending and utilization during 90-day treatment episodes were examined and characterized by radiation type (conformal, intensity modulated, stereotactic, proton, or brachytherapy) and number of fractions. Linear regression models with practice random effects to understand practice-level variation in standardized radiation spending were estimated. Variables were added to adjust for year, patient demographics, cancer type, geography, radiation technology, and number of fractions per episode.

RESULTS

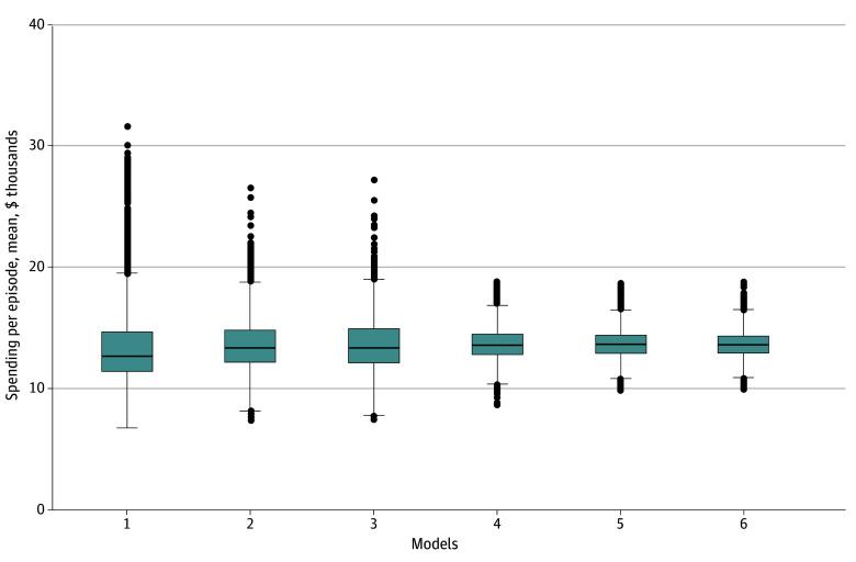
From 2009 to 2020, 1 898 864 beneficiaries with cancer (mean [SD] age, 74 [8.4] years; 48.5% female) initiated 2 149 385 radiation treatment episodes at 2150 practices. Mean (SD) 90-day standardized radiation treatment-specific spending was $13 683 ($8628). Practice-level per-episode radiation-specific spending variation was high (SD after adjusting for year, $4121). It remained high even after adjusting for patient demographic characteristics, cancer type, geography, radiation technology, and number of fractions (SD, $1487). From 2009 to 2020, unadjusted per-episode standardized radiation-specific spending increased slightly from $12 978 to $13 689 (P = .04). During this time, the median (IQR) number of fractions per episode decreased from 25 (10-33) to 16 (5-29) (P < .001), while the proportion of radiation episodes using intensity-modulated or proton radiation treatment increased (from 5% to 18% and 0.4% to 2%, respectively [both P < .001]) and use of conformal radiation treatment decreased from 61% to 38% (P < .001).

CONCLUSIONS AND RELEVANCE

In this cross-sectional study, there was substantial variation in practice-level radiation spending and number of fractions for older patients with cancer undergoing radiation treatment both within and across health care markets. This practice-level variation suggests that there may be opportunities for savings under population-based payment models.

摘要

重要性

放射治疗是癌症治疗的一个重要但昂贵的组成部分。

目的

阐明放射治疗支出趋势,并确定与美国医疗保健系统中机构层面差异相关的因素,为替代支付模式设计提供信息。

设计、设置和参与者:这项基于人群的横断面研究分析了2009年至2020年按服务收费的医疗保险受益人。患者在放射治疗事件发生前1年至之后28天期间持续参加按服务收费的医疗保险A部分和B部分。数据于2023年1月至2024年9月进行分析。

暴露因素

接受放射治疗的癌症医疗保险受益人。

主要结局和指标

检查了90天治疗期间特定于放射治疗的标准化支出和使用情况,并按放射类型(适形、调强、立体定向、质子或近距离放射治疗)和分次次数进行了特征描述。估计了具有机构随机效应的线性回归模型,以了解标准化放射治疗支出在机构层面的差异。添加变量以调整年份、患者人口统计学特征、癌症类型、地理位置、放射技术和每次事件的分次次数。

结果

2009年至2020年,1898864名癌症受益人(平均[标准差]年龄,74[8.4]岁;48.5%为女性)在2150家机构开始了2149385次放射治疗事件。90天特定于放射治疗的标准化平均(标准差)支出为13683美元(8628美元)。机构层面每次事件的特定于放射治疗的支出差异很大(调整年份后的标准差为4121美元)。即使在调整了患者人口统计学特征、癌症类型、地理位置、放射技术和分次次数后,差异仍然很大(标准差为1487美元)。2009年至2020年,未经调整的每次事件特定于放射治疗的标准化支出从12978美元略有增加至13689美元(P = 0.04)。在此期间,每次事件的中位数(四分位间距)分次次数从25(10 - 33)降至16(5 - 29)(P < 0.001),而使用调强或质子放射治疗的放射治疗事件比例增加(分别从5%增至18%和0.4%增至2%[均P < 0.001]),适形放射治疗的使用从

https://cdn.ncbi.nlm.nih.gov/pmc/blobs/4489/12274980/02a5bd51751e/jamahealthforum-e251952-g001.jpg

文献检索

告别复杂PubMed语法,用中文像聊天一样搜索,搜遍4000万医学文献。AI智能推荐,让科研检索更轻松。

立即免费搜索

文件翻译

保留排版,准确专业,支持PDF/Word/PPT等文件格式,支持 12+语言互译。

免费翻译文档

深度研究

AI帮你快速写综述,25分钟生成高质量综述,智能提取关键信息,辅助科研写作。

立即免费体验