• 文献检索
  • 文档翻译
  • 深度研究
  • 学术资讯
  • Suppr Zotero 插件Zotero 插件
  • 邀请有礼
  • 套餐&价格
  • 历史记录
应用&插件
Suppr Zotero 插件Zotero 插件浏览器插件Mac 客户端Windows 客户端微信小程序
定价
高级版会员购买积分包购买API积分包
服务
文献检索文档翻译深度研究API 文档MCP 服务
关于我们
关于 Suppr公司介绍联系我们用户协议隐私条款
关注我们

Suppr 超能文献

核心技术专利:CN118964589B侵权必究
粤ICP备2023148730 号-1Suppr @ 2026

文献检索

告别复杂PubMed语法,用中文像聊天一样搜索,搜遍4000万医学文献。AI智能推荐,让科研检索更轻松。

立即免费搜索

文件翻译

保留排版,准确专业,支持PDF/Word/PPT等文件格式,支持 12+语言互译。

免费翻译文档

深度研究

AI帮你快速写综述,25分钟生成高质量综述,智能提取关键信息,辅助科研写作。

立即免费体验

人类稳态铁调节基因H63D rs1799945的多态性分布与镰状细胞贫血患者的临床血液学参数:加纳北部的一项病例对照研究

Polymorphic Distribution of Human Homeostatic Iron Regulator Gene H63D rs1799945 and Clinico-Hematological Parameters of Sickle Cell Anemia Patients: A Case-Control Study in Northern Ghana.

作者信息

Appiah Samuel Kwasi, Nkansah Charles, Daud Samira, Abbam Gabriel, Osei-Boakye Felix, Adom Larry, Rauf Rekhiatu Oboirien Abdul, Addae Godfred Takyi, Sarpong Lydia, Appiah Godfred Amoah, Derigubah Charles Agnaatah, Mensah Jennifer Obeng, Kalu Onwuka Chima, Usanga Victor U, Ukwah Boniface Nwofoke, Chukwurah Ejike Felix

机构信息

Department of Haematology, School of Allied Health Sciences University for Development Studies Tamale Ghana.

Department of Medical Laboratory Science, Faculty of Health Science and Technology Ebonyi State University Abakaliki Nigeria.

出版信息

Health Sci Rep. 2025 Jul 21;8(7):e71097. doi: 10.1002/hsr2.71097. eCollection 2025 Jul.

DOI:10.1002/hsr2.71097
PMID:40692571
原文链接:https://pmc.ncbi.nlm.nih.gov/articles/PMC12277867/
Abstract

BACKGROUND AND AIM

The study assessed the polymorphic distribution of H63D rs1799945 of HFE gene and clinico-hematological parameters of SCA patients.

METHODS

Sixty sickle cell anemia (SCA) patients and 30 healthy controls without sickle cell disease between the ages of 2-38 years were selected for this case-control study from March to July, 2023 in the Northern Ghana. Ethylenediaminetetraacetic acid (EDTA)-anticoagulated blood samples were used for complete blood count estimation using a 5-part hematology autoanalyzer (URIT-5250 China). Genomic DNA was extracted from whole blood using the spin-column protocol for DNA (Qiagen Kit) and genotyping of H63D rs1799945 gene was performed using Agena MassARRAY with iPLEX PCR (Agena Biosciene, USA).

RESULTS

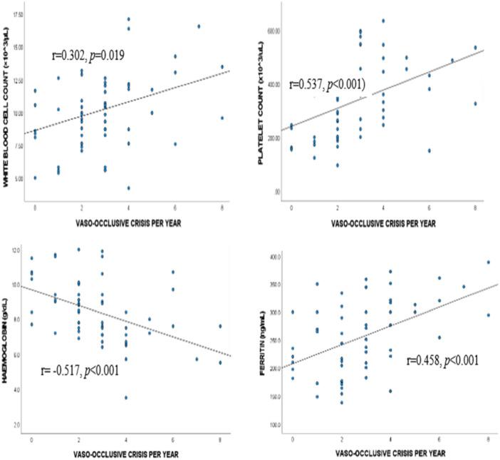
The median age of the participants was 15.8 (2.0-38.0) years. All the study participants possess only the wild-type allele (CC) of the H63D rs1799945 gene. The mutant variants (CG and GG) were not detected among the study population. There were significant reductions in the RBC ( < 0.001), Hb ( < 0.001), and HCT ( < 0.001), but higher levels of ferritin ( < 0.001), CRP ( < 0.001), MCV ( = 0.001), RDW-CV% ( < 0.001), TWBC ( < 0.001) and platelet count ( = 0.002) in SCA participants than the controls. Incidence of vaso-occlusive crisis (VOC) correlated with increased levels of ferritin ( = 0.458,  < 0.001), CRP ( = 0.461,  < 0.001), platelet ( = 0.537,  < 0.001) and WBC ( = 0.302,  = 0.019) counts but inversely correlated with Hb levels ( = -517,  < 0.001) of SCA patients. Also, levels of ferritin ( < 0.001), Hb ( = 0.001), TWBC ( = 0.018), platelet ( < 0.001), frequencies of VOC ( < 0.001) and number of hospitalization ( < 0.001), were significantly improved in participants on hydroxyurea therapy than the hydroxyurea naïve participants.

CONCLUSION

The mutant G allele is very rare among the study population. The study also observed severe hematological alterations in SCA participants compared to the controls group. Hydroxyurea was found to improve the clinico-hematological parameters and the need to encourage its usage.

摘要

背景与目的

本研究评估了HFE基因H63D rs1799945的多态性分布以及镰状细胞贫血(SCA)患者的临床血液学参数。

方法

2023年3月至7月,在加纳北部选取了60例年龄在2至38岁之间的镰状细胞贫血(SCA)患者和30例无镰状细胞病的健康对照进行这项病例对照研究。使用乙二胺四乙酸(EDTA)抗凝的血液样本,通过五分类血液学自动分析仪(中国URIT-5250)进行全血细胞计数。采用DNA柱式提取法(Qiagen试剂盒)从全血中提取基因组DNA,并使用美国Agena Biosciene公司的Agena MassARRAY和iPLEX PCR技术对H63D rs1799945基因进行基因分型。

结果

参与者的中位年龄为15.8(2.0 - 38.0)岁。所有研究参与者仅拥有H63D rs1799945基因的野生型等位基因(CC)。在研究人群中未检测到突变变体(CG和GG)。SCA参与者的红细胞(<0.001)、血红蛋白(<0.001)和血细胞比容(<0.001)显著降低,但铁蛋白(<0.001)、C反应蛋白(<0.001)、平均红细胞体积(=0.001)、红细胞分布宽度变异系数(<0.001)、白细胞总数(<0.001)和血小板计数(=0.002)水平高于对照组。血管闭塞性危机(VOC)的发生率与SCA患者铁蛋白(=0.458,<0.001)、C反应蛋白(=0.461,<0.001)、血小板(=0.537,<0.001)和白细胞(=0.302,=0.019)计数的升高相关,但与血红蛋白水平(=-517,<0.001)呈负相关。此外,接受羟基脲治疗的参与者的铁蛋白(<0.001)、血红蛋白(=0.001)、白细胞总数(=0.018)、血小板(<0.001)、VOC频率(<0.001)和住院次数(<0.001)与未接受羟基脲治疗的参与者相比有显著改善。

结论

突变的G等位基因在研究人群中非常罕见。与对照组相比,本研究还观察到SCA参与者存在严重的血液学改变。发现羟基脲可改善临床血液学参数,因此有必要鼓励使用。

https://cdn.ncbi.nlm.nih.gov/pmc/blobs/3104/12277867/2d056bd472c1/HSR2-8-e71097-g002.jpg
https://cdn.ncbi.nlm.nih.gov/pmc/blobs/3104/12277867/32f60f42578e/HSR2-8-e71097-g001.jpg
https://cdn.ncbi.nlm.nih.gov/pmc/blobs/3104/12277867/2d056bd472c1/HSR2-8-e71097-g002.jpg
https://cdn.ncbi.nlm.nih.gov/pmc/blobs/3104/12277867/32f60f42578e/HSR2-8-e71097-g001.jpg
https://cdn.ncbi.nlm.nih.gov/pmc/blobs/3104/12277867/2d056bd472c1/HSR2-8-e71097-g002.jpg

相似文献

1
Polymorphic Distribution of Human Homeostatic Iron Regulator Gene H63D rs1799945 and Clinico-Hematological Parameters of Sickle Cell Anemia Patients: A Case-Control Study in Northern Ghana.人类稳态铁调节基因H63D rs1799945的多态性分布与镰状细胞贫血患者的临床血液学参数:加纳北部的一项病例对照研究
Health Sci Rep. 2025 Jul 21;8(7):e71097. doi: 10.1002/hsr2.71097. eCollection 2025 Jul.
2
Preoperative blood transfusions for sickle cell disease.镰状细胞病的术前输血
Cochrane Database Syst Rev. 2016 Apr 6;4(4):CD003149. doi: 10.1002/14651858.CD003149.pub3.
3
Magnesium for treating sickle cell disease.镁用于治疗镰状细胞病。
Cochrane Database Syst Rev. 2017 Apr 14;4(4):CD011358. doi: 10.1002/14651858.CD011358.pub2.
4
Hydroxyurea (hydroxycarbamide) for sickle cell disease.羟基脲(羟脲)治疗镰状细胞病。
Cochrane Database Syst Rev. 2022 Sep 1;9(9):CD002202. doi: 10.1002/14651858.CD002202.pub3.
5
Blood transfusion for preventing primary and secondary stroke in people with sickle cell disease.输血预防镰状细胞病患者的原发性和继发性中风
Cochrane Database Syst Rev. 2017 Jan 17;1(1):CD003146. doi: 10.1002/14651858.CD003146.pub3.
6
The Association of Serum Level of TGF-β and Clinical Manifestations in Sickle Cell Anemia: A Case-Control Study.镰状细胞贫血患者血清转化生长因子-β水平与临床表现的关联:一项病例对照研究
Health Sci Rep. 2025 Jul 9;8(7):e70960. doi: 10.1002/hsr2.70960. eCollection 2025 Jul.
7
Inhaled nitric oxide for treating pain crises in people with sickle cell disease.吸入一氧化氮治疗镰状细胞病患者的疼痛危象。
Cochrane Database Syst Rev. 2022 Jul 8;7(7):CD011808. doi: 10.1002/14651858.CD011808.pub3.
8
Hydroxyurea (hydroxycarbamide) for sickle cell disease.羟基脲(羟基脲素)用于镰状细胞病。
Cochrane Database Syst Rev. 2017 Apr 20;4(4):CD002202. doi: 10.1002/14651858.CD002202.pub2.
9
Vitamin D supplementation for sickle cell disease.镰状细胞病的维生素D补充治疗
Cochrane Database Syst Rev. 2017 Jan 20;1(1):CD010858. doi: 10.1002/14651858.CD010858.pub2.
10
Interventions for preventing silent cerebral infarcts in people with sickle cell disease.镰状细胞病患者无症状性脑梗死的预防干预措施。
Cochrane Database Syst Rev. 2017 May 13;5(5):CD012389. doi: 10.1002/14651858.CD012389.pub2.

本文引用的文献

1
Iron stores in steady-state sickle cell disease children accessing care at a sickle cell disease clinic in Kumasi, Ghana: A cross-sectional study.加纳库马西一家镰状细胞病诊所中接受治疗的稳态镰状细胞病儿童的铁储备:一项横断面研究。
Health Sci Rep. 2022 Nov 24;5(6):e934. doi: 10.1002/hsr2.934. eCollection 2022 Nov.
2
Impact of Abnormal Leukocyte Count in the Pathophysiology of Sickle Cell Anemia.白细胞计数异常在镰状细胞贫血病理生理学中的影响
J Blood Med. 2022 Nov 16;13:673-679. doi: 10.2147/JBM.S378133. eCollection 2022.
3
Iron Overload in Patients With Heavily Transfused Sickle Cell Disease-Correlation of Serum Ferritin With Cardiac T2 MRI (CMRTools), Liver T2 MRI, and R2-MRI (Ferriscan®).
大量输血的镰状细胞病患者的铁过载——血清铁蛋白与心脏T2磁共振成像(CMRTools)、肝脏T2磁共振成像及R2磁共振成像(Ferriscan®)的相关性
Front Med (Lausanne). 2021 Oct 25;8:731102. doi: 10.3389/fmed.2021.731102. eCollection 2021.
4
Vaso-occlusive crisis in sickle cell disease: a vicious cycle of secondary events.镰状细胞病中的血管闭塞性危象:继发性事件的恶性循环。
J Transl Med. 2021 Sep 20;19(1):397. doi: 10.1186/s12967-021-03074-z.
5
Clinical and Laboratory Predictors of Painful Vaso-Occlusive Crisis Among Sickle Cell Disease Patients: A Single-Center Study in Saudi Arabia.镰状细胞病患者疼痛性血管闭塞危象的临床和实验室预测因素:沙特阿拉伯的一项单中心研究
Cureus. 2021 May 12;13(5):e14980. doi: 10.7759/cureus.14980.
6
On Iron Metabolism and Its Regulation.关于铁代谢及其调节。
Int J Mol Sci. 2021 Apr 27;22(9):4591. doi: 10.3390/ijms22094591.
7
Chemistry and biology of ferritin.铁蛋白的化学与生物学
Metallomics. 2021 May 12;13(5). doi: 10.1093/mtomcs/mfab021.
8
Management of Sickle Cell Disease Complications Beyond Acute Chest Syndrome.镰状细胞病并发症(急性胸部综合征除外)的管理
J Blood Med. 2021 Feb 25;12:101-114. doi: 10.2147/JBM.S291394. eCollection 2021.
9
Management of sickle cell disease: current practices and challenges in a northeastern region of the Democratic Republic of the Congo.镰状细胞病的管理:刚果民主共和国东北部地区的现状和挑战。
Hematology. 2021 Dec;26(1):199-205. doi: 10.1080/16078454.2021.1880752.
10
Prevalence of sickle cell disorders and malaria infection in children aged 1-12 years in the Volta Region, Ghana: a community-based study.加纳沃尔特地区 1-12 岁儿童镰状细胞病和疟疾感染的患病率:一项基于社区的研究。
Malar J. 2020 Nov 23;19(1):426. doi: 10.1186/s12936-020-03500-5.