• 文献检索
  • 文档翻译
  • 深度研究
  • 学术资讯
  • Suppr Zotero 插件Zotero 插件
  • 邀请有礼
  • 套餐&价格
  • 历史记录
应用&插件
Suppr Zotero 插件Zotero 插件浏览器插件Mac 客户端Windows 客户端微信小程序
定价
高级版会员购买积分包购买API积分包
服务
文献检索文档翻译深度研究API 文档MCP 服务
关于我们
关于 Suppr公司介绍联系我们用户协议隐私条款
关注我们

Suppr 超能文献

核心技术专利:CN118964589B侵权必究
粤ICP备2023148730 号-1Suppr @ 2026

文献检索

告别复杂PubMed语法,用中文像聊天一样搜索,搜遍4000万医学文献。AI智能推荐,让科研检索更轻松。

立即免费搜索

文件翻译

保留排版,准确专业,支持PDF/Word/PPT等文件格式,支持 12+语言互译。

免费翻译文档

深度研究

AI帮你快速写综述,25分钟生成高质量综述,智能提取关键信息,辅助科研写作。

立即免费体验

四川盆地西北部二叠系栖霞组超深层碳酸盐岩储层孔隙连通性评价与渗流特征

Pore connectivity evaluation and seepage characteristic of ultra deep carbonate reservoirs of permian Qixia formation in NW Sichuan basin.

作者信息

Lu Hao, Ma Zike, Li Hu, Yan Penglei, Liu Xian, Liu Jiale, Ma Cheng, Kang Bo, Zhang Boning, Zhao Yulong, Zhang Liehui

机构信息

Southwest Petroleum University, Chengdu, 610500, Sichuan Province, China.

School of Earth Sciences and Technology, Southwest Petroleum University, Chengdu, 610500, Sichuan Province, China.

出版信息

Sci Rep. 2025 Jul 22;15(1):26580. doi: 10.1038/s41598-025-99466-y.

DOI:10.1038/s41598-025-99466-y
PMID:40695955
原文链接:https://pmc.ncbi.nlm.nih.gov/articles/PMC12284162/
Abstract

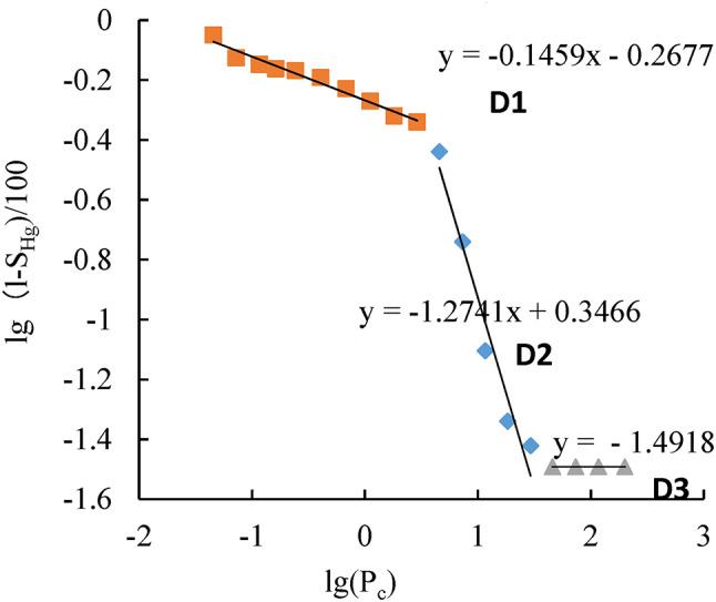
Ultra-deep carbonate reservoirs in the Permian Qixia Formation of the Sichuan Basin, particularly those exceeding 7000 m in depth, have emerged as a significant focus for exploration and development. However, production capacities between adjacent wells can vary by up to two orders of magnitude due to the multi-scale heterogeneity of pore connectivity, which poses challenges for accurately predicting well performance. This study utilizes thin-section analysis, high-pressure mercury injection (HPMI), scanning electron microscopy (SEM), and other techniques to investigate pore connectivity in ultra-deep reservoirs. It also explores methods for evaluating the connectivity of multi-scale pore networks in the Qixia Formation. The analysis reveals distinct permeability contribution patterns and connectivity characteristics across different reservoir types. Results indicate that the carbonate reservoirs in the Qixia Formation are predominantly composed of dolomite, with intercrystalline pores, dissolution pores, and fractures constituting the primary pore types. The pore-throat size distribution exhibits significant heterogeneity, as evidenced by a multi-peak distribution curve. Approximately 25% of the reservoirs contain well-connected pores, and a threshold radius (r) is identified as a key parameter for assessing connectivity. Overall, pore connectivity within the reservoirs is limited, with fractures playing a critical role in linking isolated pore spaces. This study introduces the parameter SH, which quantitatively evaluates the connectivity of multi-scale pore networks and distinguishes the abundance of fractures within the reservoir using a boundary value of 7%. By analyzing fluid seepage patterns, a permeability contribution model for the four identified reservoir types is established, providing a robust framework for assessing reservoir connectivity. These findings offer valuable insights for predicting production capacities and optimizing development strategies in ultra-deep carbonate reservoirs.

摘要

四川盆地二叠系栖霞组超深层碳酸盐岩储层,尤其是深度超过7000米的储层,已成为勘探开发的重要焦点。然而,由于孔隙连通性的多尺度非均质性,相邻井之间的产能差异可达两个数量级,这给准确预测油井性能带来了挑战。本研究利用薄片分析、高压压汞法(HPMI)、扫描电子显微镜(SEM)等技术,研究超深层储层的孔隙连通性。同时,探索栖霞组多尺度孔隙网络连通性的评价方法。分析揭示了不同储层类型的渗透率贡献模式和连通性特征。结果表明,栖霞组碳酸盐岩储层主要由白云岩组成,晶间孔、溶蚀孔和裂缝为主要孔隙类型。孔喉尺寸分布呈现出显著的非均质性,表现为多峰分布曲线。约25%的储层孔隙连通性良好,确定了一个临界半径(r)作为评估连通性的关键参数。总体而言,储层内部的孔隙连通性有限,裂缝在连接孤立孔隙空间方面起着关键作用。本研究引入参数SH,定量评价多尺度孔隙网络的连通性,并以7%的边界值区分储层内裂缝的丰度。通过分析流体渗流模式,建立了四种已识别储层类型的渗透率贡献模型,为评估储层连通性提供了有力框架。这些发现为预测超深层碳酸盐岩储层的产能和优化开发策略提供了有价值的见解。

https://cdn.ncbi.nlm.nih.gov/pmc/blobs/567b/12284162/ef0597f1aa6c/41598_2025_99466_Fig14_HTML.jpg
https://cdn.ncbi.nlm.nih.gov/pmc/blobs/567b/12284162/8a6ff9b45d00/41598_2025_99466_Fig1_HTML.jpg
https://cdn.ncbi.nlm.nih.gov/pmc/blobs/567b/12284162/addcc4afe256/41598_2025_99466_Fig2_HTML.jpg
https://cdn.ncbi.nlm.nih.gov/pmc/blobs/567b/12284162/1f5c9f8d53c4/41598_2025_99466_Fig3_HTML.jpg
https://cdn.ncbi.nlm.nih.gov/pmc/blobs/567b/12284162/849635d7f231/41598_2025_99466_Fig4_HTML.jpg
https://cdn.ncbi.nlm.nih.gov/pmc/blobs/567b/12284162/6c161d5d049c/41598_2025_99466_Fig5_HTML.jpg
https://cdn.ncbi.nlm.nih.gov/pmc/blobs/567b/12284162/9ff4f8891c95/41598_2025_99466_Fig6_HTML.jpg
https://cdn.ncbi.nlm.nih.gov/pmc/blobs/567b/12284162/7532631576d9/41598_2025_99466_Fig7_HTML.jpg
https://cdn.ncbi.nlm.nih.gov/pmc/blobs/567b/12284162/432612afd769/41598_2025_99466_Fig8_HTML.jpg
https://cdn.ncbi.nlm.nih.gov/pmc/blobs/567b/12284162/a7c04bdf68eb/41598_2025_99466_Fig9_HTML.jpg
https://cdn.ncbi.nlm.nih.gov/pmc/blobs/567b/12284162/e6c93423d5b7/41598_2025_99466_Fig10_HTML.jpg
https://cdn.ncbi.nlm.nih.gov/pmc/blobs/567b/12284162/3fd69d7c8cae/41598_2025_99466_Fig11_HTML.jpg
https://cdn.ncbi.nlm.nih.gov/pmc/blobs/567b/12284162/ffeed389b7c4/41598_2025_99466_Fig12_HTML.jpg
https://cdn.ncbi.nlm.nih.gov/pmc/blobs/567b/12284162/6a4fa8ba8fe5/41598_2025_99466_Fig13_HTML.jpg
https://cdn.ncbi.nlm.nih.gov/pmc/blobs/567b/12284162/ef0597f1aa6c/41598_2025_99466_Fig14_HTML.jpg
https://cdn.ncbi.nlm.nih.gov/pmc/blobs/567b/12284162/8a6ff9b45d00/41598_2025_99466_Fig1_HTML.jpg
https://cdn.ncbi.nlm.nih.gov/pmc/blobs/567b/12284162/addcc4afe256/41598_2025_99466_Fig2_HTML.jpg
https://cdn.ncbi.nlm.nih.gov/pmc/blobs/567b/12284162/1f5c9f8d53c4/41598_2025_99466_Fig3_HTML.jpg
https://cdn.ncbi.nlm.nih.gov/pmc/blobs/567b/12284162/849635d7f231/41598_2025_99466_Fig4_HTML.jpg
https://cdn.ncbi.nlm.nih.gov/pmc/blobs/567b/12284162/6c161d5d049c/41598_2025_99466_Fig5_HTML.jpg
https://cdn.ncbi.nlm.nih.gov/pmc/blobs/567b/12284162/9ff4f8891c95/41598_2025_99466_Fig6_HTML.jpg
https://cdn.ncbi.nlm.nih.gov/pmc/blobs/567b/12284162/7532631576d9/41598_2025_99466_Fig7_HTML.jpg
https://cdn.ncbi.nlm.nih.gov/pmc/blobs/567b/12284162/432612afd769/41598_2025_99466_Fig8_HTML.jpg
https://cdn.ncbi.nlm.nih.gov/pmc/blobs/567b/12284162/a7c04bdf68eb/41598_2025_99466_Fig9_HTML.jpg
https://cdn.ncbi.nlm.nih.gov/pmc/blobs/567b/12284162/e6c93423d5b7/41598_2025_99466_Fig10_HTML.jpg
https://cdn.ncbi.nlm.nih.gov/pmc/blobs/567b/12284162/3fd69d7c8cae/41598_2025_99466_Fig11_HTML.jpg
https://cdn.ncbi.nlm.nih.gov/pmc/blobs/567b/12284162/ffeed389b7c4/41598_2025_99466_Fig12_HTML.jpg
https://cdn.ncbi.nlm.nih.gov/pmc/blobs/567b/12284162/6a4fa8ba8fe5/41598_2025_99466_Fig13_HTML.jpg
https://cdn.ncbi.nlm.nih.gov/pmc/blobs/567b/12284162/ef0597f1aa6c/41598_2025_99466_Fig14_HTML.jpg

相似文献

1
Pore connectivity evaluation and seepage characteristic of ultra deep carbonate reservoirs of permian Qixia formation in NW Sichuan basin.四川盆地西北部二叠系栖霞组超深层碳酸盐岩储层孔隙连通性评价与渗流特征
Sci Rep. 2025 Jul 22;15(1):26580. doi: 10.1038/s41598-025-99466-y.
2
Fluid flow characteristics in porous media using Magnetic Resonance Imaging (MRI) technique: Determining the capillary pressure and relative permeability.使用磁共振成像(MRI)技术研究多孔介质中的流体流动特性:确定毛管压力和相对渗透率。
Adv Colloid Interface Sci. 2025 Jun 16;343:103582. doi: 10.1016/j.cis.2025.103582.
3
Management of urinary stones by experts in stone disease (ESD 2025).结石病专家对尿路结石的管理(2025年结石病专家共识)
Arch Ital Urol Androl. 2025 Jun 30;97(2):14085. doi: 10.4081/aiua.2025.14085.
4
Controlling mechanisms of CO sequestration efficiency in tight carbonate gas reservoirs: experimental insights into pore-throat constraints and mineralogical responses.致密碳酸盐岩气藏中CO封存效率的控制机制:孔隙喉道限制和矿物学响应的实验洞察
RSC Adv. 2025 Jul 2;15(28):22556-22564. doi: 10.1039/d5ra02362a. eCollection 2025 Jun 30.
5
Sequence-lithofacies paleogeographic evolution and its control on deep and ultra-deep reservoir types: A case study of the Permian Maokou Formation in northeastern Sichuan Basin.层序—岩相古地理演化及其对深层和超深层储层类型的控制:以四川盆地东北部二叠系茅口组为例
PLoS One. 2025 Jul 1;20(7):e0327224. doi: 10.1371/journal.pone.0327224. eCollection 2025.
6
Short-Term Memory Impairment短期记忆障碍
7
Comparison of Two Modern Survival Prediction Tools, SORG-MLA and METSSS, in Patients With Symptomatic Long-bone Metastases Who Underwent Local Treatment With Surgery Followed by Radiotherapy and With Radiotherapy Alone.两种现代生存预测工具 SORG-MLA 和 METSSS 在接受手术联合放疗和单纯放疗治疗有症状长骨转移患者中的比较。
Clin Orthop Relat Res. 2024 Dec 1;482(12):2193-2208. doi: 10.1097/CORR.0000000000003185. Epub 2024 Jul 23.
8
Diagenetic facies and pore evolution of tight sandstone reservoirs of the Jiamuhe formation in the Shawan sag, Junggar basin.准噶尔盆地沙湾凹陷佳木河组致密砂岩储层成岩相及孔隙演化
Sci Rep. 2025 Jul 2;15(1):22460. doi: 10.1038/s41598-025-05453-8.
9
Development and Validation of a Convolutional Neural Network Model to Predict a Pathologic Fracture in the Proximal Femur Using Abdomen and Pelvis CT Images of Patients With Advanced Cancer.利用晚期癌症患者腹部和骨盆 CT 图像建立卷积神经网络模型预测股骨近端病理性骨折的研究
Clin Orthop Relat Res. 2023 Nov 1;481(11):2247-2256. doi: 10.1097/CORR.0000000000002771. Epub 2023 Aug 23.
10
Simulation Experiment of CO -Water-Rock Reaction Seepage Capacity in Gas Reservoirs with Different Lithology.不同岩性气藏中CO₂-水-岩反应渗流能力的模拟实验
ACS Omega. 2025 Jun 5;10(23):24916-24931. doi: 10.1021/acsomega.5c02218. eCollection 2025 Jun 17.

本文引用的文献

1
Shale pore characteristics and their impact on the gas-bearing properties of the Longmaxi Formation in the Luzhou area.泸州地区龙马溪组页岩孔隙特征及其对含气性的影响
Sci Rep. 2024 Jul 23;14(1):16896. doi: 10.1038/s41598-024-66759-7.