Suppr超能文献

φ6和φ2噬菌体对浮游态和固着态铜绿假单胞菌PAO1衍生物的互补杀伤活性。

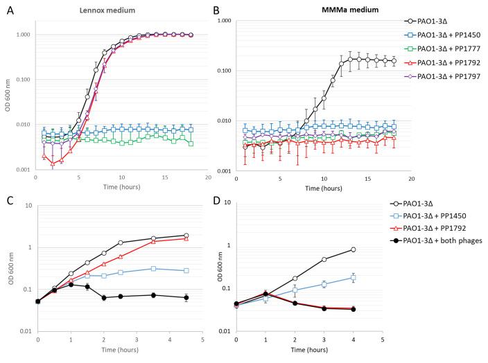
Complementary killing activities of and phages on planktonic and sessile PAO1 derivatives.

作者信息

Billaud Maud, Plantady Clarisse, Lerouge Benoît, Ollivier Emma, Lossouarn Julien, Moncaut Elisabeth, Deschamps Julien, Briandet Romain, Cleret Aurore, Fevre Cindy, Demarre Gaëlle, Petit Marie-Agnès

机构信息

Université Paris-Saclay, AgroParisTech, INRAE, MICALIS, Jouy en Josas, France.

Phaxiam Therapeutics, Lyon, France.

出版信息

Antimicrob Agents Chemother. 2025 Sep 3;69(9):e0057925. doi: 10.1128/aac.00579-25. Epub 2025 Jul 23.

Abstract

Four phages active against a representative panel of strains were chosen with the goal of using them for phage therapy. Two were belonging to the species, and two to the species. The receptor of the phage Ab27 had already been characterized as the O-antigen chain of the lipopolysaccharides, whereas no information was available at the onset of this work on the receptor used by the phages. We show that this receptor is the surface polysaccharide Psl, an important component of the biofilm matrix. Remarkably, the phages were more active against PAO1 in minimal medium compared to rich medium. This was correlated with larger amounts of Psl bound at the bacterial surface during exponential growth in minimal medium, compared to the rich medium. Phages prevented biofilm growth when applied early after biofilm formation on a medical endotracheal tube, as well as in 96-well plates, and acted more slowly on mature biofilms. No biofilm overgrowth was observed when applying the two phage species combination, over a 48 h period of imaging by confocal microscopy. Genetic mutants resistant to each phage arose at a frequency of 10 to 10 per generation, and most -resistant mutants were sensitized to the phage. The combination of the selected phages has promising properties that are relevant in the framework of phage therapy.

摘要

选择了四种对一组代表性菌株具有活性的噬菌体,目的是将它们用于噬菌体治疗。其中两种属于 种,另外两种属于 种。噬菌体Ab27的受体已被鉴定为脂多糖的O抗原链,而在这项工作开始时,关于 噬菌体所使用的受体尚无任何信息。我们表明,这种受体是表面多糖Psl,它是生物膜基质的重要组成部分。值得注意的是,与丰富培养基相比, 噬菌体在基本培养基中对PAO1的活性更高。这与在基本培养基中指数生长期间细菌表面结合的Psl量比在丰富培养基中更多有关。当在医用气管插管以及96孔板上生物膜形成后早期应用噬菌体时,可阻止生物膜生长,并且对成熟生物膜的作用较慢。通过共聚焦显微镜成像48小时期间,应用两种噬菌体组合时未观察到生物膜过度生长。对每种噬菌体具有抗性的遗传突变体以每代10至10的频率出现,并且大多数抗性突变体对 噬菌体敏感。所选噬菌体的组合具有在噬菌体治疗框架中相关的有前景的特性。

https://cdn.ncbi.nlm.nih.gov/pmc/blobs/1cf8/12406683/504b2954ce45/aac.00579-25.f001.jpg

文献AI研究员

20分钟写一篇综述,助力文献阅读效率提升50倍。

立即体验

用中文搜PubMed

大模型驱动的PubMed中文搜索引擎

马上搜索

文档翻译

学术文献翻译模型,支持多种主流文档格式。

立即体验