Galukhin Andrey, Aleshin Roman, Gerasimov Alexander, Klimovitskii Alexander, Nosov Roman, Zubaidullina Liana, Vyazovkin Sergey
Alexander Butlerov Institute of Chemistry, Kazan Federal University, 18 Kremlevskaya Street, 420008 Kazan, Russia.
Department of Chemistry, University of Alabama at Birmingham, 901 S. 14th Street, Birmingham, AL 35294, USA.
Polymers (Basel). 2025 Jul 10;17(14):1909. doi: 10.3390/polym17141909.
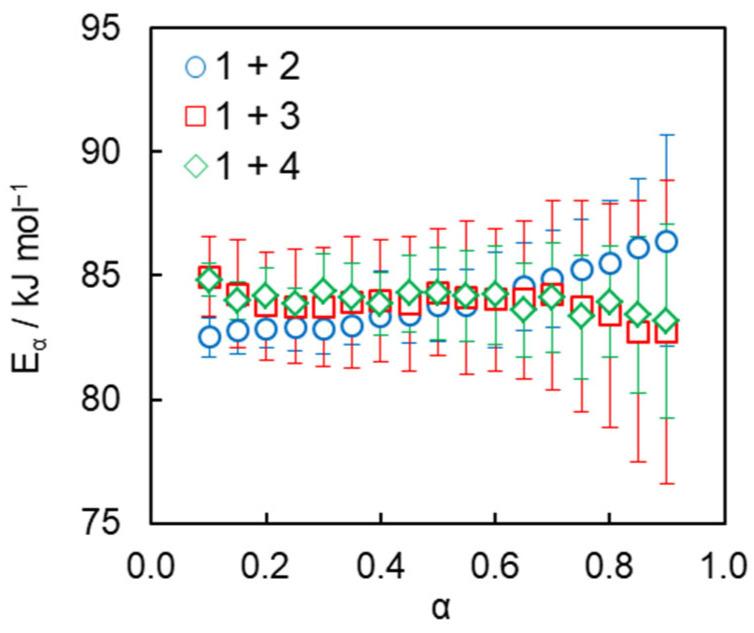
Non-isothermal calorimetry is performed to study the kinetics of metal-free A/B-type azide-alkyne polyaddition between the dipropargyl ether of bisphenol A with different organic diazides. The diazide structure is varied to probe the effect of the nature of a hydrocarbon spacer between the azide groups on their reactivity. Isoconversional analysis demonstrates that the polymerization processes are characterized by the same activation energy of 84 kJ mol for all studied diazides. It is found that diazides with aromatic spacers demonstrate ~1.6 times higher reactivity than that of diazides with the alkyl spacer. The difference in the reactivity is explained by the difference in the electronic effects of the hydrocarbon spacers on the azide groups as well as by the difference in their steric availability. The veracity of the obtained kinetic parameters is validated by a polymerization test at the time-temperature conditions predicted from the obtained kinetic data followed by independent assessment of the monomer conversion using FTIR.
采用非等温量热法研究了双酚A的二炔丙基醚与不同有机二叠氮化物之间无金属的A/B型叠氮化物-炔烃聚加成反应的动力学。改变二叠氮化物的结构,以探究叠氮基团之间烃间隔基的性质对其反应活性的影响。等转化率分析表明,所有研究的二叠氮化物的聚合过程具有相同的84 kJ/mol的活化能。结果发现,具有芳族间隔基的二叠氮化物的反应活性比具有烷基间隔基的二叠氮化物高约1.6倍。反应活性的差异可以通过烃间隔基对叠氮基团的电子效应差异以及它们的空间可及性差异来解释。通过在根据所得动力学数据预测的时间-温度条件下进行聚合试验,然后使用傅里叶变换红外光谱(FTIR)独立评估单体转化率,验证了所得动力学参数的准确性。