Suppr超能文献

接受癌症治疗儿童骨骼肌的纵向变化:一项系统评价和荟萃分析。

Longitudinal changes in skeletal muscle in children undergoing cancer treatment: a systematic review and meta-analysis.

作者信息

Markarian Anna Maria, Taaffe Dennis R, Galvão Daniel A, Peddle-McIntyre Carolyn J, Wilkie Jodie Cochrane, Bettariga Francesco, Newton Robert U

机构信息

Exercise Medicine Research Institute, Edith Cowan University, 270 Joondalup Drive, Joondalup, WA, 6027, Australia.

School of Medical and Health Sciences, Edith Cowan University, Joondalup, WA, Australia.

出版信息

Eur J Pediatr. 2025 Jul 31;184(8):513. doi: 10.1007/s00431-025-06349-5.

Abstract

UNLABELLED

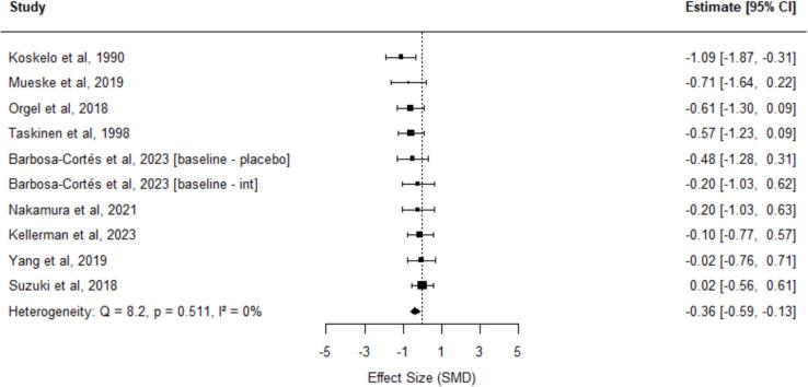
Skeletal muscle loss during chemotherapy has been associated with poorer outcomes and reduced survival across several types of cancer. However, the extent and progression of muscle loss during treatment for childhood cancers remain unclear. A better understanding could help identify children at increased risk and inform the timing of targeted intervention. This systematic review and meta-analysis aimed to synthesize the evidence on skeletal muscle changes during treatment for childhood cancers and identify factors that influence these outcomes. A systematic search was conducted in CINAHL, Embase, PubMed, SPORTDiscus, and Web of Science. Studies were eligible if they included children and adolescents (< 19 years) undergoing cancer treatment and reported muscle quantity at a minimum of two time points. The methodological quality of the included studies was evaluated using the Newcastle-Ottawa Scale. Twenty studies (n = 646; age range: 2.5-14.7 years) were included. A significant decline in muscle quantity was observed during the early phase of treatment (standardized mean difference (SMD): SMD =  - 0.36; 95% CI: - 0.59 to - 0.13; p < 0.05). At later follow-up time points, the overall change was not statistically significant (SMD =  - 0.08; 95% CI: - 0.27 to 0.10; p = 0.36). However, estimates of muscle quantity varied significantly by assessment modality (p = 0.048).

CONCLUSION

Children with cancer experience significant skeletal muscle loss during the intensive phase of treatment. While decrements observed at later time points appear modest, reported outcomes vary considerably depending on the assessment method. Standardized, reliable body composition measures are needed to detect meaningful changes and guide clinical care.

WHAT IS KNOWN

• Skeletal muscle loss during adult cancer treatment is linked to poor outcomes, yet pediatric data are limited and inconsistent.

WHAT IS NEW

• This is the first systematic review and meta-analysis showing significant early-phase skeletal muscle loss in children undergoing cancer treatment, accompanied by concurrent increases in fat mass. • Considerable variability in skeletal muscle estimates across different body composition assessment methods underscores the need for reliable and sensitive measurement techniques to monitor changes accurately and guide clinical care.

摘要

未标注

化疗期间骨骼肌流失与多种癌症的较差预后和生存率降低有关。然而,儿童癌症治疗期间肌肉流失的程度和进展仍不明确。更好地了解这一点有助于识别风险增加的儿童,并为靶向干预的时机提供依据。本系统评价和荟萃分析旨在综合儿童癌症治疗期间骨骼肌变化的证据,并确定影响这些结果的因素。在CINAHL、Embase、PubMed、SPORTDiscus和Web of Science中进行了系统检索。如果研究纳入了接受癌症治疗的儿童和青少年(<19岁),并至少在两个时间点报告了肌肉量,则该研究符合纳入标准。使用纽卡斯尔-渥太华量表评估纳入研究的方法学质量。纳入了20项研究(n = 646;年龄范围:2.5 - 14.7岁)。在治疗早期观察到肌肉量显著下降(标准化均值差(SMD):SMD = -0.36;95%置信区间:-0.59至-0.13;p < 0.05)。在后续随访时间点,总体变化无统计学意义(SMD = -0.08;95%置信区间:-0.27至0.10;p = 0.36)。然而,肌肉量的估计因评估方式而异(p = 0.048)。

结论

癌症患儿在强化治疗阶段经历显著的骨骼肌流失。虽然在后期时间点观察到的减少似乎较小,但报告的结果因评估方法而异。需要标准化、可靠的身体成分测量方法来检测有意义的变化并指导临床护理。

已知信息

• 成人癌症治疗期间的骨骼肌流失与不良预后有关,但儿科数据有限且不一致。

新发现

• 这是第一项系统评价和荟萃分析,显示接受癌症治疗的儿童在早期阶段存在显著的骨骼肌流失,同时脂肪量增加。• 不同身体成分评估方法对骨骼肌估计的显著差异强调了需要可靠和敏感的测量技术来准确监测变化并指导临床护理。

https://cdn.ncbi.nlm.nih.gov/pmc/blobs/6e2c/12313780/5d5fa6ce105d/431_2025_6349_Fig1_HTML.jpg

文献AI研究员

20分钟写一篇综述,助力文献阅读效率提升50倍。

立即体验

用中文搜PubMed

大模型驱动的PubMed中文搜索引擎

马上搜索

文档翻译

学术文献翻译模型,支持多种主流文档格式。

立即体验