Suppr超能文献

情绪对不同实力的两名参与者的鹰鸽博弈的影响。

Effect of emotion on hawk-dove game for two players with different strength.

作者信息

Gao Yajie, Long Hui, Wang Zhineng, Chen Renzhen

机构信息

School of Business, Hunan University of Science and Technology, Xiangtan, 411201, China.

School of Mechanical Engineering, Hunan University of Science and Technology, Xiangtan, 411201, China.

出版信息

Sci Rep. 2025 Jul 31;15(1):27917. doi: 10.1038/s41598-025-09881-4.

Abstract

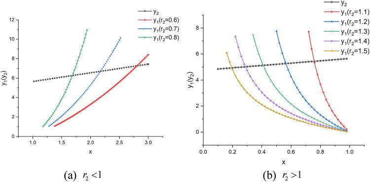
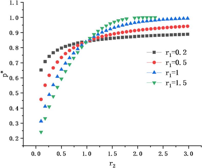
Players' emotion greatly affect their behaviors in conflicts but is usually ignored in current Hawk-Dove games. To describe the game more realistically, a strength gap is defined as a difference between two players' strength coefficients and is employed to propose an asymmetric hawk-dove game. A rank-dependent expected utility theory is also employed to describe the effects of players' emotion on their decisions. A new Hawk-Dove game model incorporating the strength gap and emotion is then proposed. Effects of emotion on this new game are theoretically analyzed and numerically verified using Matlab software. Results show that emotion has no effect on the hawk-dove game at a large strength gap or under a condition of non-negative net income. But it greatly plays a role under a condition of a small strength gap and negative net income. There is a rule in the emotional world that the same sexes attract and the opposite sexes repel in a vicious competitive environment where individuals earn little but take significant risks. A rational attitude prevents an opponent's decisions from being influenced by their own emotion. And a happier attitude promotes the opponent to choose more peaceful behaviors in conflicts.

摘要

玩家的情绪在冲突中极大地影响他们的行为,但在当前的鹰鸽博弈中通常被忽视。为了更现实地描述该博弈,定义了一个实力差距,即两个玩家实力系数之间的差异,并据此提出了一种非对称鹰鸽博弈。还采用了等级依赖期望效用理论来描述玩家情绪对其决策的影响。然后提出了一个结合实力差距和情绪的新鹰鸽博弈模型。利用Matlab软件对情绪在这个新博弈中的影响进行了理论分析和数值验证。结果表明,在实力差距较大或净收入非负的情况下,情绪对鹰鸽博弈没有影响。但在实力差距较小且净收入为负的情况下,情绪会发挥很大作用。在一个个体收益微薄但风险巨大的恶性竞争环境中,情感世界存在一条规律:同性相吸,异性相斥。理性的态度能防止对手的决策受到自身情绪的影响。而更积极的态度会促使对手在冲突中选择更和平的行为。

https://cdn.ncbi.nlm.nih.gov/pmc/blobs/330d/12313983/f0002f67190b/41598_2025_9881_Fig1_HTML.jpg

文献AI研究员

20分钟写一篇综述,助力文献阅读效率提升50倍。

立即体验

用中文搜PubMed

大模型驱动的PubMed中文搜索引擎

马上搜索

文档翻译

学术文献翻译模型,支持多种主流文档格式。

立即体验