• 文献检索
  • 文档翻译
  • 深度研究
  • 学术资讯
  • Suppr Zotero 插件Zotero 插件
  • 邀请有礼
  • 套餐&价格
  • 历史记录
应用&插件
Suppr Zotero 插件Zotero 插件浏览器插件Mac 客户端Windows 客户端微信小程序
定价
高级版会员购买积分包购买API积分包
服务
文献检索文档翻译深度研究API 文档MCP 服务
关于我们
关于 Suppr公司介绍联系我们用户协议隐私条款
关注我们

Suppr 超能文献

核心技术专利:CN118964589B侵权必究
粤ICP备2023148730 号-1Suppr @ 2026

文献检索

告别复杂PubMed语法,用中文像聊天一样搜索,搜遍4000万医学文献。AI智能推荐,让科研检索更轻松。

立即免费搜索

文件翻译

保留排版,准确专业,支持PDF/Word/PPT等文件格式,支持 12+语言互译。

免费翻译文档

深度研究

AI帮你快速写综述,25分钟生成高质量综述,智能提取关键信息,辅助科研写作。

立即免费体验

通过肉桂醛席夫碱键合功能化增强酪蛋白的生物学特性:抗菌和抗氧化作用。

Enhancement of biological properties in casein protein through functionalization with cinnamaldehyde Schiff base bonding: antibacterial and antioxidant effects.

作者信息

Hendy Aisha, Hassan Nazly, El-Nady Jehan, Ahmed Amal S I, Abou Shahba Rabab Mohamed, Tamer Tamer M

机构信息

Chemistry Department, Faculty of Science (Girls), Al-Azhar University Nasr City Cairo Egypt.

Composites and Nanostructured Materials Research Department, Advanced Technologies and New Materials Research Institute (ATNMRI), City of Scientific Research and Technological Applications (SRTA-City) New Borg El-Arab City, P.O. Box: 21934 Alexandria Egypt.

出版信息

RSC Adv. 2025 Jul 31;15(33):27300-27310. doi: 10.1039/d5ra00852b. eCollection 2025 Jul 25.

DOI:10.1039/d5ra00852b
PMID:40746786
原文链接:https://pmc.ncbi.nlm.nih.gov/articles/PMC12312107/
Abstract

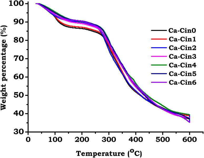
This study investigates the modification of casein protein with cinnamaldehyde Schiff base bonding, aiming to enhance its biological properties. The functionalization process was validated through different analytical techniques, including Fourier Transform Infrared Spectroscopy (FTIR), which confirmed the formation of Schiff base linkages. Thermal Gravimetric Analysis (TGA) and Scanning Electron Microscopy (SEM) were employed to assess the thermal stability and morphological changes of modified protein, respectively. Biological evaluations revealed that the cinnamaldehyde-functionalized casein exhibited significant antibacterial activity against four different bacteria strains [two Gram-positive ( and ) and two Gram-negative ( and )], showcasing its potential as an antimicrobial agent. Antioxidant tests demonstrated enhanced scavenging abilities, suggesting protective effects against oxidative stress. Furthermore, preliminary hemocompatibility assessments indicated that the modified protein is non-toxic to human blood cells, underscoring its suitability for biomedical applications. Collectively, these findings suggest that cinnamaldehyde-functionalized casein holds promise for advancing healthcare materials.

摘要

本研究调查了用肉桂醛席夫碱键合修饰酪蛋白,旨在增强其生物学特性。通过不同的分析技术对功能化过程进行了验证,包括傅里叶变换红外光谱(FTIR),其证实了席夫碱键的形成。热重分析(TGA)和扫描电子显微镜(SEM)分别用于评估修饰蛋白的热稳定性和形态变化。生物学评估表明,肉桂醛功能化的酪蛋白对四种不同的细菌菌株[两种革兰氏阳性菌( 和 )和两种革兰氏阴性菌( 和 )]表现出显著的抗菌活性,展示了其作为抗菌剂的潜力。抗氧化测试表明其清除能力增强,表明对氧化应激具有保护作用。此外,初步的血液相容性评估表明,修饰后的蛋白对人体血细胞无毒,突出了其在生物医学应用中的适用性。总的来说,这些发现表明肉桂醛功能化的酪蛋白在推进医疗保健材料方面具有前景。

https://cdn.ncbi.nlm.nih.gov/pmc/blobs/d99c/12312107/cd922757e232/d5ra00852b-f9.jpg
https://cdn.ncbi.nlm.nih.gov/pmc/blobs/d99c/12312107/1290f0a239ae/d5ra00852b-f1.jpg
https://cdn.ncbi.nlm.nih.gov/pmc/blobs/d99c/12312107/60cbd2d95b42/d5ra00852b-f2.jpg
https://cdn.ncbi.nlm.nih.gov/pmc/blobs/d99c/12312107/1374aa2f6f82/d5ra00852b-f3.jpg
https://cdn.ncbi.nlm.nih.gov/pmc/blobs/d99c/12312107/00f749f26956/d5ra00852b-f4.jpg
https://cdn.ncbi.nlm.nih.gov/pmc/blobs/d99c/12312107/0db45460e87d/d5ra00852b-f5.jpg
https://cdn.ncbi.nlm.nih.gov/pmc/blobs/d99c/12312107/a18d8ade6950/d5ra00852b-f6.jpg
https://cdn.ncbi.nlm.nih.gov/pmc/blobs/d99c/12312107/8bb7f6821cc8/d5ra00852b-f7.jpg
https://cdn.ncbi.nlm.nih.gov/pmc/blobs/d99c/12312107/3112c68cf3c6/d5ra00852b-f8.jpg
https://cdn.ncbi.nlm.nih.gov/pmc/blobs/d99c/12312107/cd922757e232/d5ra00852b-f9.jpg
https://cdn.ncbi.nlm.nih.gov/pmc/blobs/d99c/12312107/1290f0a239ae/d5ra00852b-f1.jpg
https://cdn.ncbi.nlm.nih.gov/pmc/blobs/d99c/12312107/60cbd2d95b42/d5ra00852b-f2.jpg
https://cdn.ncbi.nlm.nih.gov/pmc/blobs/d99c/12312107/1374aa2f6f82/d5ra00852b-f3.jpg
https://cdn.ncbi.nlm.nih.gov/pmc/blobs/d99c/12312107/00f749f26956/d5ra00852b-f4.jpg
https://cdn.ncbi.nlm.nih.gov/pmc/blobs/d99c/12312107/0db45460e87d/d5ra00852b-f5.jpg
https://cdn.ncbi.nlm.nih.gov/pmc/blobs/d99c/12312107/a18d8ade6950/d5ra00852b-f6.jpg
https://cdn.ncbi.nlm.nih.gov/pmc/blobs/d99c/12312107/8bb7f6821cc8/d5ra00852b-f7.jpg
https://cdn.ncbi.nlm.nih.gov/pmc/blobs/d99c/12312107/3112c68cf3c6/d5ra00852b-f8.jpg
https://cdn.ncbi.nlm.nih.gov/pmc/blobs/d99c/12312107/cd922757e232/d5ra00852b-f9.jpg

相似文献

1
Enhancement of biological properties in casein protein through functionalization with cinnamaldehyde Schiff base bonding: antibacterial and antioxidant effects.通过肉桂醛席夫碱键合功能化增强酪蛋白的生物学特性:抗菌和抗氧化作用。
RSC Adv. 2025 Jul 31;15(33):27300-27310. doi: 10.1039/d5ra00852b. eCollection 2025 Jul 25.
2
[Preparation and chromatographic performance evaluation of hydrophilic interaction chromatography stationary phase based on amino acids].基于氨基酸的亲水作用色谱固定相的制备及色谱性能评价
Se Pu. 2025 Jul;43(7):734-743. doi: 10.3724/SP.J.1123.2025.04015.
3
Biological activities of optimized biosynthesized selenium nanoparticles using Proteus mirabilis PQ350419 alone or combined with chitosan and ampicillin against common multidrug-resistant bacteria.单独使用奇异变形杆菌PQ350419或与壳聚糖和氨苄青霉素联合使用优化生物合成的硒纳米颗粒对常见多重耐药菌的生物活性。
Microb Cell Fact. 2025 Jul 5;24(1):159. doi: 10.1186/s12934-025-02783-0.
4
Influence of pyridyl nitrogen's position and hydrogen bonding interactions on antibacterial activities investigated by in vitro and in silico.通过体外和计算机模拟研究吡啶氮的位置和氢键相互作用对抗菌活性的影响。
Sci Rep. 2025 Jul 30;15(1):27816. doi: 10.1038/s41598-025-09049-0.
5
Nanobioactive glass/chitosan/collagen composite loaded with methylene blue for tissue regeneration and bacterial infection treatment by photodynamic therapy.负载亚甲蓝的纳米生物活性玻璃/壳聚糖/胶原蛋白复合材料用于组织再生和通过光动力疗法治疗细菌感染
J Photochem Photobiol B. 2025 Jul;268:113179. doi: 10.1016/j.jphotobiol.2025.113179. Epub 2025 May 6.
6
Biosynthesis and characterization of silver nanoparticles from Asplenium dalhousiae and their potential biological properties.利用喜马拉雅铁角蕨合成银纳米颗粒及其表征与潜在生物学特性
PLoS One. 2025 Jun 30;20(6):e0325533. doi: 10.1371/journal.pone.0325533. eCollection 2025.
7
Tailor-Made Chitosan-Azovanillin Photochromic Schiff Bases for Antimicrobial Applications.用于抗菌应用的定制壳聚糖-偶氮香草醛光致变色席夫碱
ACS Appl Bio Mater. 2025 Jul 21;8(7):6368-6378. doi: 10.1021/acsabm.5c00839. Epub 2025 Jun 7.
8
Thermo stable ZnO NPs/Asiatic acid nanocomposites for acidogenic neutralization, anti-biofilm, and enamel protection in dental enamel reinforcement.用于产酸中和、抗生物膜及牙釉质强化中牙釉质保护的热稳定氧化锌纳米颗粒/积雪草苷纳米复合材料
J Dent. 2025 Jul 25;161:106001. doi: 10.1016/j.jdent.2025.106001.
9
Novel bivalent transition metal complexes based on a 2-amino-3-hydroxypyridine Schiff base ligand: synthesis elucidation, antimicrobial evaluation, antioxidant and molecular docking studies.基于2-氨基-3-羟基吡啶席夫碱配体的新型二价过渡金属配合物:合成表征、抗菌评估、抗氧化及分子对接研究
BMC Chem. 2025 Jul 1;19(1):177. doi: 10.1186/s13065-025-01561-8.
10
A systematic review on natural products with antimicrobial potential against WHO's priority pathogens.关于对世界卫生组织重点病原体具有抗菌潜力的天然产物的系统评价。
Eur J Med Res. 2025 Jul 1;30(1):525. doi: 10.1186/s40001-025-02717-x.

本文引用的文献

1
Chitosan-Based Schiff Bases (CSBs) and Their Metal Complexes: Promising Antimicrobial Agents.基于壳聚糖的席夫碱及其金属配合物:有前景的抗菌剂。
Molecules. 2025 Jan 7;30(2):207. doi: 10.3390/molecules30020207.
2
Cinnamaldehyde in Focus: Antimicrobial Properties, Biosynthetic Pathway, and Industrial Applications.聚焦肉桂醛:抗菌特性、生物合成途径及工业应用
Antibiotics (Basel). 2024 Nov 18;13(11):1095. doi: 10.3390/antibiotics13111095.
3
Antimicrobial gelatin-based films with cinnamaldehyde and ZnO nanoparticles for sustainable food packaging.
含肉桂醛和 ZnO 纳米粒子的抗菌明胶基薄膜,用于可持续的食品包装。
Sci Rep. 2024 Sep 28;14(1):22499. doi: 10.1038/s41598-024-72009-7.
4
Identification and classification of proteins by FTIR microspectroscopy. A proof of concept.利用傅里叶变换红外光谱学对蛋白质进行鉴定和分类。概念验证。
Biochim Biophys Acta Gen Subj. 2024 Oct;1868(10):130688. doi: 10.1016/j.bbagen.2024.130688. Epub 2024 Aug 6.
5
Preparation of chitosan photodynamic antibacterial film loaded with VK complex in the preservation of chilled mutton.壳聚糖载 VK 复合光动力抗菌膜在冷却羊肉保鲜中的制备。
Int J Biol Macromol. 2024 Aug;274(Pt 1):133105. doi: 10.1016/j.ijbiomac.2024.133105. Epub 2024 Jun 12.
6
Antibacterial, Anti-Biofilm, and Anti-Inflammatory Properties of Gelatin-Chitosan-Moringa-Biopolymer-Based Wound Dressings towards and .基于明胶-壳聚糖-辣木生物聚合物的伤口敷料对……的抗菌、抗生物膜和抗炎特性
Pharmaceuticals (Basel). 2024 Apr 23;17(5):545. doi: 10.3390/ph17050545.
7
Formulation of novel bioactive gelatin inspired by cinnamaldehyde for combating multi-drug resistant bacteria: Characterization, molecular docking, pharmacokinetic analyses, and in vitro assessments.受肉桂醛启发制备用于对抗多重耐药菌的新型生物活性明胶:表征、分子对接、药代动力学分析及体外评估
Int J Pharm. 2024 Mar 5;652:123827. doi: 10.1016/j.ijpharm.2024.123827. Epub 2024 Jan 20.
8
Developing a new multi-featured chitosan-quinoline Schiff base with potent antibacterial, antioxidant, and antidiabetic activities: design and molecular modeling simulation.开发一种具有强大抗菌、抗氧化和抗糖尿病活性的新型多功能壳聚糖-喹啉席夫碱:设计与分子模拟仿真。
Sci Rep. 2023 Dec 21;13(1):22792. doi: 10.1038/s41598-023-50130-3.
9
The characterization of collagen-based scaffolds modified with phenolic acids for tissue engineering application.用酚酸修饰的基于胶原蛋白的支架的特性描述及其在组织工程中的应用。
Sci Rep. 2023 Jun 20;13(1):9966. doi: 10.1038/s41598-023-37161-6.
10
Cinnamaldehyde-Contained Polymers and Their Biomedical Applications.含肉桂醛聚合物及其生物医学应用。
Polymers (Basel). 2023 Mar 18;15(6):1517. doi: 10.3390/polym15061517.